Полный справочник школьника 1-4 класссы - 2015 год
Порядок действий в выражениях - ВЫРАЖЕНИЯ - МАТЕМАТИКА
Математическое выражение — это фраза, записанная с помощью чисел, знаков и букв.
Выражение, записанное только с помощью чисел и знаков, называется числовым.
Выражение, в котором кроме чисел и знаков есть буквы, называется буквенным.
Числовое выражение имеет значение. Найти значение числового выражения — значит найти его ответ.
Пример 1
Найти значение выражения 28 + 36 - 48.
28 + 36 - 48 = 16
Пример 2
Найти значение выражения a + b · 3, если a = 18; 42; b = 9; 4.
Если a = 18, b = 9, то 18 + 9 · 3 = 45.
Если a = 42, b = 4, то 42 + 4 · 3 = 54.
Порядок действий в выражениях
Запомни!
Правило 1. В выражениях без скобок, где выполняются только сложение и вычитание, действия выполняют в том порядке, в котором они записаны.
Правило 2. В выражениях без скобок, где выполняются только умножение и деление, действия выполняют в том порядке, в котором они записаны.

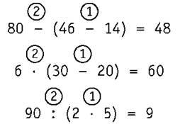
Правило 3. В выражениях со скобками первым выполняется действие в скобках, затем умножение или деление и только потом сложение или вычитание.

Правило 4. В выражениях, где есть действия первой и второй ступеней (то есть +, -, ·, :), сначала выполняются по порядку умножение и деление, а затем по порядку сложение и вычитание.

Образец выполнения задания
Укажи порядок действий и найди значение выражения.
1-й способ
![]()
2-й способ
![]()
Задания
1. Перепиши буквенные выражения и обозначь цифрами порядок действий.

2. Найди значение выражений.

3. Спиши выражения. Поставь в них скобки так, чтобы сложение и вычитание выполнялись перед умножением и делением.
