Полный справочник школьника 1-4 класссы - 2015 год
Сложение и вычитание с переходом через десяток - СЛОЖЕНИЕ И ВЫЧИТАНИЕ - МАТЕМАТИКА
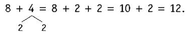
• Как нужно рассуждать, решая пример 8 + 4?
1. Вспоминаем состав числа 4.
![]()
2. Задаём вопрос: сколько нужно прибавить к 8, чтобы получить 10?

• Как нужно рассуждать, решая пример 13 - 5?
Число 5 удобно представить в виде суммы чисел 3 и 2. Вычитаем число 5 частями. Сначала из 13 вычитаем 3. Получится 10. Затем из 10 вычитаем 2. Получится 8.

Запомни!
Сложение и вычитание частями
Чтобы прибавить или вычесть число частями, нужно:
1. Представить это число в виде суммы разрядных слагаемых.
2. По очереди прибавить или вычесть эти слагаемые.
Примеры
17 + 5 = 17 + 3 + 2 = 20 + 2 = 22;
23 - 15 = 23 - 13 - 2 = 10 - 2 = 8
или
23 - 15 = 23 - 10 - 5 = 13 - 5 = 8.