Весь курс начальной школы в схемах и таблицах 1-4 классы - 2015 год
Вычитание двузначных чисел с переходом через десяток - МАТЕМАТИКА
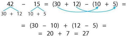
1. Представляем уменьшаемое в виде суммы удобных слагаемых.
2. Представляем вычитаемое в виде суммы разрядных слагаемых.
3. Вычитаем десятки.
4. Вычитаем единицы.
5. Складываем полученные разности:
