Химия самостоятельная подготовка к ЕГЭ - универсальные материалы с методическими рекомендациями, решениями и ответами - 2018 год
ОТВЕТЫ К ЗАДАНИЯМ ДЛЯ САМОСТОЯТЕЛЬНОЙ РАБОТЫ
Основы химии
Ответы на задания с кратким ответом
|
№ |
1 |
2 |
3 |
4 |
5 |
6 |
7 |
8 |
9 |
10 |
|
ответ |
45 |
25 |
45 |
15 |
45 |
25 |
15 |
15 |
2 |
35 |
|
№ |
11 |
12 |
13 |
14 |
15 |
16 |
17 |
18 |
19 |
20 |
|
ответ |
25 |
25 |
4 |
2 |
25 |
4 |
34 |
15 |
34 |
1 |
|
№ |
21 |
22 |
23 |
24 |
25 |
26 |
27 |
28 |
29 |
30 |
|
ответ |
24 |
34 |
3 |
15 |
4 |
4 |
25 |
6451 |
2542 |
15 |
|
№ |
31 |
32 |
33 |
34 |
35 |
36 |
37 |
38 |
39 |
40 |
|
ответ |
13 |
23 |
3 |
35 |
1 |
23 |
13 |
13 |
2 |
4 |
|
№ |
41 |
42 |
43 |
44 |
45 |
46 |
47 |
48 |
49 |
50 |
|
ответ |
15 |
34 |
23 |
45 |
2312 |
3512 |
2411 |
2432 |
4312 |
4231 |
|
№ |
51 |
52 |
53 |
54 |
55 |
56 |
57 |
58 |
59 |
60 |
|
ответ |
4212 |
1241 |
2466 |
2211 |
2456 |
РО* |
РО |
РО |
РО |
РО |
РО* (развернутый ответ): ответы на задания с развернутым ответом приводятся сразу после ответов на задания с кратким ответом.
Ответы на задания с развернутым ответом (РО)
56. Используя метод электронного баланса, составьте уравнение реакции:
![]()
Определите окислитель и восстановитель.
Ответ:
|
Содержание верного ответа и указания по оцениванию (допускаются иные формулировки ответа, не искажающие его смысла) |
Баллы |
|
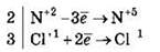
Элементы ответа: 1) Составлен электронный баланс:
2) Указано, что сера +4 (или сульфит натрия за счет серы +4) является восстановителем, а хлор — окислителем. 3) Расставлены все коэффициенты в уравнении реакции:
|
|
|
Ответ правильный и полный, включает все названные выше элементы |
3 |
|
В ответе допущена ошибка только в одном из элементов |
2 |
|
В ответе допущены ошибки в двух элементах |
1 |
|
Все элементы ответа записаны неверно |
0 |
|
Максимальный балл |
3 |
57. Используя метод электронного баланса, составьте уравнение реакции:
![]()
Определите окислитель и восстановитель.
Ответ:
|
Содержание верного ответа и указания по оцениванию (допускаются иные формулировки ответа, не искажающие его смысла) |
Баллы |
|
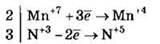
Элементы ответа: 1) Составлен электронный баланс:
2) Указано, что MnSO4 является восстановителем (за счет марганца со степенью окисления +2), а КМnO4 — окислителем (за счет марганца со степенью окисления +7). |
|
|
3) Расставлены коэффициенты в уравнении реакции:
|
|
|
Ответ правильный и полный, включает все названные выше элементы |
3 |
|
В ответе допущена ошибка только в одном из элементов |
2 |
|
В ответе допущены ошибки в двух элементах |
1 |
|
Все элементы ответа записаны неверно |
0 |
|
Максимальный балл |
3 |
58. Используя метод электронного баланса, составьте уравнение реакции:
![]()
Определите окислитель и восстановитель.
Ответ:
|
Содержание верного ответа и указания по оцениванию (допускаются иные формулировки ответа, не искажающие его смысла) |
Баллы |
|
Элементы ответа: 1) Составлен электронный баланс:
|
|
|
2) Указано, что азот в степени окисления +3 является восстановителем, а марганец в степени окисления +7 (или перманганат калия за счет марганца в степени окисления +7) — окислителем. 3) Расставлены коэффициенты в уравнении реакции:
|
|
|
Ответ правильный и полный, включает все названные выше элементы |
3 |
|
В ответе допущена ошибка только в одном из элементов |
2 |
|
В ответе допущены ошибки в двух элементах |
1 |
|
Все элементы ответа записаны неверно |
0 |
|
Максимальный балл |
3 |
59. Используя метод электронного баланса, составьте уравнение реакции:
![]()
Определите окислитель и восстановитель.
Ответ:
|
Содержание верного ответа и указания по оцениванию (допускаются иные формулировки ответа, не искажающие его смысла) |
Баллы |
|
Элементы ответа: 1) Составлен электронный баланс:
2) Указано, что сера в степени окисления +4 является восстановителем, а иод в степени окисления 0 — окислителем. 3) Расставлены коэффициенты в уравнении реакции:
|
|
|
Ответ правильный и полный, включает все названные выше элементы |
3 |
|
В ответе допущена ошибка только в одном из элементов |
2 |
|
В ответе допущены ошибки в двух элементах |
1 |
|
Все элементы ответа записаны неверно |
0 |
|
Максимальный балл |
3 |
60. Используя метод электронного баланса, составьте уравнение реакции:
![]()
Определите окислитель и восстановитель.
Ответ:
|
Содержание верного ответа и указания по оцениванию (допускаются иные формулировки ответа, не искажающие его смысла) |
Баллы |
|
Элементы ответа: 1) Составлен электронный баланс:
2) Указано, что азот в степени окисления +2 (или оксид азота за счет азота +2) является восстановителем, а хлор в степени окисления +1 (или гипохлорит калия за счет хлора +1) — окислителем. 3) Расставлены коэффициенты в уравнении реакции:
|
|
|
Ответ правильный и полный, включает все названные выше элементы |
3 |
|
В ответе допущена ошибка только в одном из элементов |
2 |
|
В ответе допущены ошибки в двух элементах |
1 |
|
Все элементы ответа записаны неверно |
0 |
|
Максимальный балл |
3 |
Неорганическая химия
Ответы на задания с кратким ответом
|
№ |
1 |
2 |
3 |
4 |
5 |
6 |
7 |
8 |
9 |
10 |
|
ответ |
34 |
25 |
23 |
4 |
25 |
4 |
235 |
2351 |
124 |
1465 |
|
№ |
11 |
12 |
13 |
14 |
15 |
16 |
17 |
18 |
19 |
20 |
|
ответ |
421 |
24 |
35 |
3 |
4 |
14 |
1 |
24 |
14 |
34 |
|
№ |
21 |
22 |
23 |
24 |
25 |
26 |
27 |
28 |
29 |
30 |
|
ответ |
34 |
35 |
13 |
25 |
24 |
2 |
25 |
23 |
3 |
13 |
|
№ |
31 |
32 |
33 |
34 |
35 |
36 |
37 |
38 |
39 |
40 |
|
ответ |
45 |
24 |
34 |
24 |
2 |
3 |
3 |
1 |
3 |
25 |
|
№ |
41 |
42 |
43 |
44 |
45 |
46 |
47 |
48 |
49 |
50 |
|
ответ |
4 |
1 |
45 |
4 |
2 |
24 |
25 |
4 |
14 |
24 |
|
№ |
51 |
52 |
53 |
54 |
55 |
56 |
57 |
58 |
59 |
60 |
|
ответ |
4 |
14 |
24 |
24 |
25 |
45 |
2 |
34 |
13 |
13 |
|
№ |
61 |
62 |
63 |
64 |
65 |
66 |
67 |
68 |
69 |
70 |
|
ответ |
5431 |
4251 |
5342 |
2433 |
1324 |
4 |
1 |
25 |
3 |
4 |
|
№ |
71 |
72 |
73 |
74 |
75 |
76 |
77 |
78 |
79 |
80 |
|
ответ |
14 |
РО |
РО |
РО |
РО |
РО |
РО |
РО |
РО |
РО |
Ответы на задания с развернутым ответом (РО)
72. Металлическую медь растворили в разбавленной азотной кислоте. Образовавшуюся соль обработали раствором соды, при этом наблюдали выпадение осадка и выделение газа. Осадок растворили в избытке иодоводородной кислоты. Образовавшееся простое вещество растворили в горячем растворе щелочи. Напишите уравнения четырех описанных химических реакций.
Ответ:
|
Содержание верного ответа и указания по оцениванию (допускаются иные формулировки ответа, не искажающие его смысла) |
Баллы |
|
Элементы ответа: Написаны четыре уравнения реакций:
|
|
|
Правильно записаны 4 уравнения возможных реакций |
4 |
|
Правильно записаны 3 уравнения реакций |
3 |
|
Правильно записаны 2 уравнения реакций |
2 |
|
Правильно записано 1 уравнение реакции |
1 |
|
Все элементы ответа записаны неверно |
0 |
|
Максимальный балл |
4 |
Примечание. Дополнительно записанные (правильно или ошибочно) уравнения реакций не оцениваются.
73. Оксид азота(IV) пропустили через раствор гидроксида калия. Одну из образовавшихся солей обработали перманганатом калия в сернокислой среде, другую нагрели с металлическим свинцом. Образовавшуюся в последней реакции соль обработали иодидом калия в кислой среде. Напишите уравнения четырех описанных химических реакций.
Ответ:
|
Содержание верного ответа и указания по оцениванию (допускаются иные формулировки ответа, не искажающие его смысла) |
Баллы |
|
Элементы ответа: Написаны четыре уравнения реакций:
|
|
|
Правильно записаны 4 уравнения возможных реакций |
4 |
|
Правильно записаны 3 уравнения реакций |
3 |
|
Правильно записаны 2 уравнения реакций |
2 |
|
Правильно записано 1 уравнение реакции |
1 |
|
Все элементы ответа записаны неверно |
0 |
|
Максимальный балл |
4 |
Примечание. Дополнительно записанные (правильно или ошибочно) уравнения реакций не оцениваются.
74. Красный фосфор провзаимодействовал с избытком брома. Продукт реакции обработали избытком едкого натра. Каждую из образовавшихся при этом солей обработали избытком концентрированной серной кислоты. Напишите уравнения четырех описанных химических реакций.
Ответ:
|
Содержание верного ответа и указания по оцениванию (допускаются иные формулировки ответа, не искажающие его смысла) |
Баллы |
|
Элементы ответа: Написаны четыре уравнения реакций:
|
|
|
Правильно записаны 4 уравнения возможных реакций |
4 |
|
Правильно записаны 3 уравнения реакций |
3 |
|
Правильно записаны 2 уравнения реакций |
2 |
|
Правильно записано 1 уравнение реакции |
1 |
|
Все элементы ответа записаны неверно |
0 |
|
Максимальный балл |
4 |
Примечание. Дополнительно записанные (правильно или ошибочно) уравнения реакций не оцениваются.
75. Цинк растворили в разбавленной азотной кислоте. Выделившийся при этом газ окислили кислородом, а продукт реакции пропустили через раствор перманганата калия в сернокислой среде. Образовавшийся раствор обработали сульфидом аммония, при этом выпал осадок телесного цвета. Напишите уравнения четырех описанных химических реакций.
Ответ:
|
Содержание верного ответа и указания по оцениванию (допускаются иные формулировки ответа, не искажающие его смысла) |
Баллы |
|
Элементы ответа: Написаны уравнения четырех реакций:
|
|
|
Правильно записаны 4 уравнения возможных реакций |
4 |
|
Правильно записаны 3 уравнения реакций |
3 |
|
Правильно записаны 2 уравнения реакций |
2 |
|
Правильно записано 1 уравнение реакции |
1 |
|
Все элементы ответа записаны неверно |
0 |
|
Максимальный балл |
4 |
Примечание. Дополнительно записанные (правильно или ошибочно) уравнения реакций не оцениваются.
76. Алюминий растворили в растворе гидроксида натрия. Через полученный раствор пропустили избыток сероводорода и наблюдали образование осадка. Выпавший осадок растворили в бромоводородной кислоте, а полученный раствор обработали содой. Наблюдали образование осадка и выделение газа. Напишите уравнения четырех описанных химических реакций.
Ответ:
|
Содержание верного ответа и указания по оцениванию (допускаются иные формулировки ответа, не искажающие его смысла) |
Баллы |
|
Элементы ответа: Написаны уравнения четырех реакций:
|
|
|
Правильно записаны 4 уравнения возможных реакций |
4 |
|
Правильно записаны 3 уравнения реакций |
3 |
|
Правильно записаны 2 уравнения реакций |
2 |
|
Правильно записано 1 уравнение реакции |
1 |
|
Все элементы ответа записаны неверно |
0 |
|
Максимальный балл |
4 |
Примечание. Дополнительно записанные (правильно или ошибочно) уравнения реакций не оцениваются.
77. Серу нагрели с гидроксидом калия. Одну из образовавшихся солей обработали нитратом свинца, при этом выпал черный осадок, побелевший при последующем действии пероксида водорода. Другую соль обработали водным раствором перманганата калия. Напишите уравнения четырех описанных химических реакций.
Ответ:
|
Содержание верного ответа и указания по оцениванию (допускаются иные формулировки ответа, не искажающие его смысла) |
Баллы |
|
Элементы ответа: Написаны четыре уравнения реакций:
|
|
|
Правильно записаны 4 уравнения возможных реакций |
4 |
|
Правильно записаны 3 уравнения реакций |
3 |
|
Правильно записаны 2 уравнения реакций |
2 |
|
Правильно записано 1 уравнение реакции |
1 |
|
Все элементы ответа записаны неверно |
0 |
|
Максимальный балл |
4 |
Примечание. Дополнительно записанные (правильно или ошибочно) уравнения реакций не оцениваются.
78. Диоксид серы растворили в растворе гидроксида калия. Полученный раствор обработали дихроматом калия в кислой среде. При действии на полученный раствор гидроксида калия выпал серо-зеленый осадок, который растворили в смеси пероксида водорода и щелочи. При этом наблюдали образование раствора желтого цвета. Напишите уравнения четырех описанных химических реакций.
Ответ:
|
Содержание верного ответа и указания по оцениванию (допускаются иные формулировки ответа, не искажающие его смысла) |
Баллы |
|
Элементы ответа: Написаны четыре уравнения реакций:
|
|
|
Правильно записаны 4 уравнения возможных реакций |
4 |
|
Правильно записаны 3 уравнения реакций |
3 |
|
Правильно записаны 2 уравнения реакций |
2 |
|
Правильно записано 1 уравнение реакции |
1 |
|
Все элементы ответа записаны неверно |
0 |
|
Максимальный балл |
4 |
Примечание. Дополнительно записанные (правильно или ошибочно) уравнения реакций не оцениваются.
79. Железо обработали концентрированной азотной кислотой при нагревании. Полученную соль обработали гидроксидом калия и бромом, при этом наблюдали образование раствора красно-вишневого цвета. Образовавшееся вещество обработали соляной кислотой, при этом наблюдали выделение желто-зеленого газа. В полученный раствор пропустили сероводород. Напишите уравнения четырех описанных химических реакций.
Ответ:
|
Содержание верного ответа и указания по оцениванию (допускаются иные формулировки ответа, не искажающие его смысла) |
Баллы |
|
Элементы ответа: Написаны четыре уравнения реакций:
|
|
|
Правильно записаны 4 уравнения возможных реакций |
4 |
|
Правильно записаны 3 уравнения реакций |
3 |
|
Правильно записаны 2 уравнения реакций |
2 |
|
Правильно записано 1 уравнение реакции |
1 |
|
Все элементы ответа записаны неверно |
0 |
|
Максимальный балл |
4 |
Примечание. Дополнительно записанные (правильно или ошибочно) уравнения реакций не оцениваются.
80. Серебро растворили в концентрированной азотной кислоте. Полученную соль прокалили, а выделившийся бурый газ пропустили через подкисленный раствор дихромата калия. Образовавшуюся хромовую соль обработали раствором карбоната калия. Напишите уравнения четырех описанных химических реакций.
Ответ:
|
Содержание верного ответа и указания по оцениванию (допускаются иные формулировки ответа, не искажающие его смысла) |
Баллы |
|
Элементы ответа. Написаны четыре уравнения возможных реакций между указанными веществами:
|
|
|
Ответ правильный и полный, включает все названные выше элементы |
4 |
|
Правильно записаны 3 уравнения реакций |
3 |
|
Правильно записаны 2 уравнения реакций |
2 |
|
Правильно записано одно уравнение реакции |
1 |
|
Все элементы ответа записаны неверно |
0 |
|
Максимальный балл |
4 |
Примечание. Дополнительно записанные (правильно или ошибочно) уравнения реакций не оцениваются.
Органическая химия
Ответы на задания с кратким ответом
|
№ |
1 |
2 |
3 |
4 |
5 |
6 |
7 |
8 |
9 |
10 |
|
ответ |
15 |
3 |
25 |
3 |
14 |
14 |
4 |
2141 |
3251 |
13 |
|
№ |
11 |
12 |
13 |
14 |
15 |
16 |
17 |
18 |
19 |
20 |
|
ответ |
45 |
34 |
2 |
25 |
24 |
25 |
2 |
24 |
1 |
35 |
|
№ |
21 |
22 |
23 |
24 |
25 |
26 |
27 |
28 |
29 |
30 |
|
ответ |
2 |
25 |
2 |
2 |
24 |
1 |
4 |
3 |
45 |
13 |
|
№ |
31 |
32 |
33 |
34 |
35 |
36 |
37 |
38 |
39 |
40 |
|
ответ |
3 |
15 |
1 |
1 |
3 |
1 |
23 |
34 |
3 |
23 |
|
№ |
41 |
42 |
43 |
44 |
45 |
46 |
47 |
48 |
49 |
50 |
|
ответ |
1 |
4 |
24 |
15 |
25 |
34 |
2 |
3 |
23 |
1 |
|
№ |
51 |
52 |
53 |
54 |
55 |
56 |
57 |
58 |
59 |
60 |
|
ответ |
2 |
3 |
12 |
2 |
1 |
34 |
14 |
14 |
15 |
13 |
|
№ |
61 |
62 |
63 |
64 |
65 |
66 |
67 |
68 |
69 |
70 |
|
ответ |
2 |
1 |
4 |
2 |
125 |
356 |
124 |
1 |
35 |
45 |
|
№ |
71 |
72 |
73 |
74 |
75 |
76 |
77 |
78 |
79 |
80 |
|
ответ |
246 |
3 |
14 |
34 |
25 |
2 |
145 |
2 |
2 |
2 |
|
№ |
81 |
82 |
83 |
84 |
85 |
86 |
87 |
88 |
89 |
90 |
|
ответ |
234 |
236 |
135 |
126 |
236 |
235 |
45 |
25 |
41 |
45 |
|
№ |
91 |
92 |
93 |
94 |
95 |
96 |
97 |
98 |
99 |
100 |
|
ответ |
25 |
42 |
53 |
53 |
РО |
РО |
РО |
РО |
РО |
РО |
Ответы на задания с развернутым ответом (РО)
95. Напишите уравнения реакций, с помощью которых можно осуществить следующие превращения:

Ответ:
|
Содержание верного ответа и указания по оцениванию (допускаются иные формулировки ответа, не искажающие его смысла) |
Баллы |
|
Элементы ответа: Написаны уравнения реакций, соответствующие схеме превращений:
|
|
|
Ответ правильный и полный, включает все названные выше элементы |
5 |
|
Правильно записаны 4 уравнения реакций |
4 |
|
Правильно записаны 3 уравнения реакций |
3 |
|
Правильно записаны 2 уравнения реакций |
2 |
|
Правильно записано 1 уравнение реакции |
1 |
|
Все элементы ответа записаны неверно |
0 |
|
Максимальный балл |
5 |
96. Напишите уравнения реакций, с помощью которых можно осуществить следующие превращения:

Ответ:
|
Содержание верного ответа и указания по оцениванию (допускаются иные формулировки ответа, не искажающие его смысла) |
Баллы |
|
Элементы ответа: Составлены уравнения реакций, соответствующие схеме превращений:
(образование К3РO4 следует считать ошибочным) |
|
|
Ответ правильный и полный, включает все названные выше элементы |
5 |
|
Правильно записаны 4 уравнения реакций |
4 |
|
Правильно записаны 3 уравнения реакций |
3 |
|
Правильно записаны 2 уравнения реакций |
2 |
|
Правильно записано 1 уравнение реакции |
1 |
|
Все элементы ответа записаны неверно |
0 |
|
Максимальный балл |
5 |
97. Напишите уравнения реакций, с помощью которых можно осуществить следующие превращения:

Ответ:
|
Содержание верного ответа и указания по оцениванию (допускаются иные формулировки ответа, не искажающие его смысла) |
Баллы |
|
Элементы ответа: Составлены уравнения реакций, соответствующие схеме превращений:
|
|
|
Ответ правильный и полный, включает все названные выше элементы |
5 |
|
Правильно записаны 4 уравнения реакций |
4 |
|
Правильно записаны 3 уравнения реакций |
3 |
|
Правильно записаны 2 уравнения реакций |
2 |
|
Правильно записано 1 уравнение реакции |
1 |
|
Все элементы ответа записаны неверно |
0 |
|
Максимальный балл |
5 |
98. Напишите уравнения реакций, с помощью которых можно осуществить следующие превращения:

Ответ:
|
Содержание верного ответа и указания по оцениванию (допускаются иные формулировки ответа, не искажающие его смысла) |
Баллы |
|
Элементы ответа: Составлены уравнения реакций, соответствующие схеме превращений:
|
|
|
Ответ правильный и полный, включает все названные выше элементы |
5 |
|
Правильно записаны 4 уравнения реакций |
4 |
|
Правильно записаны 3 уравнения реакций |
3 |
|
Правильно записаны 2 уравнения реакций |
2 |
|
Правильно записано 1 уравнение реакции |
1 |
|
Все элементы ответа записаны неверно |
0 |
|
Максимальный балл |
5 |
99. Напишите уравнения реакций, с помощью которых можно осуществить превращения:

Ответ:
|
Содержание верного ответа и указания по оцениванию (допускаются иные формулировки ответа, не искажающие его смысла) |
Баллы |
|
Элементы ответа: Написаны уравнения реакций, соответствующие схеме превращений:
|
|
|
Ответ правильный и полный, включает все названные выше элементы |
5 |
|
Правильно записаны 4 уравнения реакций |
4 |
|
Правильно записаны 3 уравнения реакций |
3 |
|
Правильно записаны 2 уравнения реакций |
2 |
|
Правильно записано одно уравнение реакции |
1 |
|
Все элементы ответа записаны неверно |
0 |
|
Максимальный балл |
5 |
100. Напишите уравнение реакций, с помощью которых можно осуществить следующие превращения:

Ответ:
|
Содержание верного ответа и указания по оцениванию (допускаются иные формулировки ответа, не искажающие его смысла) |
Баллы |
|
Элементы ответа: Написаны уравнения реакций, соответствующие схеме превращений:
|
|
|
Ответ правильный и полный, включает все названные выше элементы |
5 |
|
Правильно записаны 4 уравнения реакций |
4 |
|
Правильно записаны 3 уравнения реакций |
3 |
|
Правильно записаны 2 уравнения реакций |
2 |
|
Правильно записано 1 уравнение реакции |
1 |
|
Все элементы ответа записаны неверно |
0 |
|
Максимальный балл |
5 |
Познание и применение веществ и химических реакций
Ответы на задания с кратким ответом
|
№ |
1 |
2 |
3 |
4 |
5 |
6 |
7 |
8 |
9 |
10 |
|
ответ |
25 |
35 |
24 |
3 |
3 |
23 |
23 |
13 |
24 |
23 |
|
№ |
11 |
12 |
13 |
14 |
15 |
16 |
17 |
18 |
19 |
20 |
|
ответ |
2 |
4 |
4 |
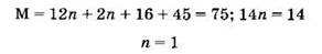
11,2 |
125,3 |
11,3 |
1,57 |
150 |
36 |
11,2 |
|
№ |
21 |
22 |
23 |
24 |
25 |
26 |
27 |
28 |
29 |
30 |
|
ответ |
6,1 |
4,48 |
440 |
6,72 |
32,5 |
24 |
4,9 |
11,2 |
880 |
242 |
|
№ |
31 |
32 |
33 |
34 |
35 |
36 |
37 |
38 |
39 |
40 |
|
ответ |
РО |
РО |
РО |
РО |
РО |
РО |
РО |
РО |
РО |
РО |
Ответы на задания с развернутым ответом (РО)
31. К 100мл 5%-ного раствора соляной кислоты (плотностью 1,02 г/мл) добавили 6,4 г карбида кальция. Сколько миллилитров 15%-ной азотной кислоты (плотностью 1,08 г/мл) следует добавить к полученной смеси для ее полной нейтрализации?
Ответ:
|
Содержание верного ответа и указания по оцениванию (допускаются иные формулировки ответа, не искажающие его смысла) |
Баллы |
|
Элементы ответа: 1) Записаны уравнения реакций:
2) Рассчитаны количества веществ реагентов и сделан вывод об избытке карбида кальция:
3) Рассчитаны количества веществ гидроксида кальция и азотной кислоты, вступивших в реакцию друг с другом:
4) Вычислен объем раствора азотной кислоты:
|
|
|
Ответ правильный и полный, включает все названные выше элементы |
4 |
|
В ответе допущена ошибка в одном из названных выше элементов |
3 |
|
В ответе допущена ошибка в двух из названных выше элементов |
2 |
|
В ответе допущена ошибка в трех из названных выше элементов |
1 |
|
Все элементы ответа записаны неверно |
0 |
|
Максимальный балл |
4 |
Примечание. В случае, когда в ответе содержится ошибка в вычислениях в одном из трех элементов (втором, третьем или четвертом), которая привела к неверному ответу, оценка за выполнение задания снижается только на 1 балл.
32. В 120мл раствора азотной кислоты с массовой долей 7% (плотностью 1,03 г/мл) внесли 12,8 г карбида кальция. Сколько миллилитров 20%-ной соляной кислоты (плотностью 1,10 г/мл) следует добавить к полученной смеси для ее полной нейтрализации?
Ответ:
|
Содержание верного ответа и указания по оцениванию (допускаются иные формулировки ответа, не искажающие его смысла) |
Баллы |
|
Элементы ответа: 1) Записаны уравнения реакций:
2) Рассчитаны количества веществ реагентов и сделан вывод об избытке карбида кальция:
3) Рассчитаны количества веществ гидроксида кальция и соляной кислоты, вступивших в реакцию друг с другом:
4) Вычислен объем раствора соляной кислоты:
|
|
|
Ответ правильный и полный, включает все названные выше элементы |
4 |
|
В ответе допущена ошибка в одном из названных выше элементов |
3 |
|
В ответе допущена ошибка в двух из названных выше элементов |
2 |
|
В ответе допущена ошибка в трех из названных выше элементов |
|
|
Все элементы ответа записаны неверно |
0 |
|
Максимальный балл |
4 |
Примечание. В случае, когда в ответе содержится ошибка в вычислениях в одном из трех элементов (втором, третьем или четвертом), которая привела к неверному ответу, оценка за выполнение задания снижается только на 1 балл.
33. Нитрит калия массой 8,5 г внесли при нагревании в 270 г раствора бромида аммония с массовой долей 12%. Какой объем (н.у.) азота выделится при этом и какова массовая доля бромида аммония в получившемся растворе?
Ответ:
|
Содержание верного ответа и указания по оцениванию (допускаются иные формулировки ответа, не искажающие его смысла) |
Баллы |
|
Элементы ответа: 1) Записано уравнение реакции и рассчитаны количества исходных веществ:
2) Рассчитан объем выделившегося азота:
3) Рассчитана масса бромида аммония, оставшегося в избытке:
|
|
|
4) Рассчитана массовая доля бромида аммония:
|
|
|
Ответ правильный и полный, включает все названные выше элементы |
4 |
|
В ответе допущена ошибка в одном из названных выше элементов |
3 |
|
В ответе допущена ошибка в двух из названных выше элементов |
2 |
|
В ответе допущена ошибка в трех из названных выше элементов |
1 |
|
Все элементы ответа записаны неверно |
0 |
|
Максимальный балл |
4 |
Примечание. В случае, когда в ответе содержится ошибка в вычислениях в одном из элементов (первом, втором, третьем или четвертом), которая привела к неверному ответу, оценка за выполнение задания снижается только на 1 балл.
34. Магний массой 4,8г растворили в 200мл 12%-ного раствора серной кислоты (ρ = 1,05 г/мл). Вычислите массовую долю сульфата магния в конечном растворе.
Ответ:
|
Содержание верного ответа и указания по оцениванию (допускаются иные формулировки ответа, не искажающие его смысла) |
Баллы |
|
Элементы ответа: 1) Составлено уравнение химической реакции:
2) Рассчитаны массы веществ, полученных в ходе реакции:
3) Рассчитана масса раствора:
4) Найдена массовая доля MgSO4:
|
|
|
Ответ правильный и полный, включает все названные выше элементы |
4 |
|
В ответе допущена ошибка в одном из названных выше элементов |
3 |
|
В ответе допущена ошибка в двух из названных выше элементов |
2 |
|
В ответе допущена ошибка в трех из названных выше элементов |
1 |
|
Все элементы ответа записаны неверно |
0 |
|
Максимальный балл |
4 |
35. Рассчитайте, какую массу оксида серы(У1) добавили в 2000 мл 8%-ного раствора серной кислоты (р = 1,06 г/мл), если массовая доля серной кислоты стала равной 20%.
Ответ:
|
Содержание верного ответа и указания по оцениванию (допускаются иные формулировки ответа, не искажающие его смысла) |
Баллы |
|
Элементы ответа: 1) Составлено уравнение химической реакции:
2) Рассчитана масса исходного раствора серной кислоты и масса H2SO4 в нем:
3) Составлено уравнение для расчета искомой массы оксида серы (VI): пусть масса SO3 равна X г, тогда
4) Решением уравнения найдена масса оксида серы(VI):
|
|
|
Ответ правильный и полный, включает все названные выше элементы |
4 |
|
В ответе допущена ошибка в одном из названных выше элементов |
3 |
|
В ответе допущена ошибка в двух из названных выше элементов |
2 |
|
В ответе допущена ошибка в трех из названных выше элементов |
1 |
|
Все элементы ответа записаны неверно |
0 |
|
Максимальный балл |
4 |
36. Некоторый алкин имеет относительную плотность по воздуху 1,862. Известно, что этот алкин взаимодействует с аммиачным раствором оксида серебра(I).
На основании данных условия задания:
1) произведите вычисления, необходимые для установления молекулярной формулы органического вещества;
2) запишите молекулярную формулу исходного органического вещества;
3) составьте структурную формулу этого вещества, которая однозначно отражает порядок связи атомов в его молекуле;
4) напишите уравнение реакции этого вещества с аммиачным раствором оксида серебра(I).
Ответ:
|
Содержание верного ответа и указания по оцениванию (допускаются иные формулировки ответа, не искажающие его смысла) |
Баллы |
|
Элементы ответа: 1) Рассчитана молярная масса алкина:
2) Найдено число атомов углерода в молекуле алкина и установлена его формула: Обшая формула алкинов СnН2n-2
Формула алкина — С4Н6 3) Составлена структурная формула алкина:
4) Записано уравнение реакции:
|
|
|
Ответ правильный и полный, включает все названные выше элементы |
4 |
|
Допущена ошибка в одном из элементов ответа |
3 |
|
Допущены ошибки в двух элементах ответа |
2 |
|
Допущены ошибки в трех элементах ответа |
1 |
|
Все элементы ответа записаны неверно |
0 |
|
Максимальный балл |
4 |
37. Пары некоторого диена имеют относительную плотность по водороду 34. Известно, что при действии небольшого количества брома на диен образуется только одно дибром- производное.
На основании данных условия задания:
1) произведите вычисления, необходимые для установления молекулярной формулы органического вещества;
2) запишите молекулярную формулу исходного органического вещества;
3) составьте структурную формулу этого вещества, которая однозначно отражает порядок связи атомов в его молекуле;
4) напишите уравнение реакции этого вещества с бромной водой (с учетом недостатка брома).
Ответ:
|
Содержание верного ответа и указания по оцениванию (допускаются иные формулировки ответа, не искажающие его смысла) |
Баллы |
|
Элементы ответа: 1) Рассчитана молярная масса диена:
2) Найдено число атомов углерода в молекуле диена и установлена его формула: Общая формула диенов СnН2n-2
Формула диена — С5Н10 3) Составлена структурная формула диена:
4) Записано уравнение реакции:
|
|
|
Ответ правильный и полный, включает все названные выше элементы |
4 |
|
Допущена ошибка в одном из элементов ответа |
3 |
|
Допущены ошибки в двух элементах ответа |
2 |
|
Допущены ошибки в трех элементах ответа |
1 |
|
Все элементы ответа записаны неверно |
0 |
|
Максимальный балл |
4 |
38. При сгорании 0,45 г газообразного органического вещества выделилось 0,448 л (н.у.) углекислого газа, 0,63 г воды и 0,112 л (н.у.) азота. Плотность исходного газообразного вещества по азоту 1,607. Известно, что при взаимодействии с азотистой кислотой органическое вещество образует спирт.
На основании данных условия задания:
1) произведите вычисления, необходимые для установления молекулярной формулы органического вещества;
2) запишите молекулярную формулу исходного органического вещества;
3) составьте структурную формулу этого вещества, которая однозначно отражает порядок связи атомов в его молекуле;
4) напишите уравнение реакции этого вещества с азотистой кислотой.
Ответ:
|
Содержание верного ответа и указания по оцениванию (допускаются иные формулировки ответа, не искажающие его смысла) |
Баллы |
|
Элементы ответа: 1) Определено соотношение атомов углерода, водорода и азота в формуле вещества и сделан вывод об отсутствии кислорода:
т.к. сумма масс элементов углерода, водорода и азота (0,24 + 0,07 + 0,14) равна массе навески вещества (0,45), то кислород в веществе отсутствует; 2) Определена простейшая формула вещества и сделан вывод о том, что она соответствует истинной молекулярной формуле: простейшая формула: C2H7N; из условия М = 1,607 ∙ 28 = 45, что отвечает формуле C2H7N; 3) Составлена структурная формула вещества:
4) Записано уравнение химической реакции:
|
|
|
Ответ правильный и полный, включает все названные выше элементы |
4 |
|
Допущена ошибка в одном из элементов ответа |
3 |
|
Допущены ошибки в двух элементах ответа |
2 |
|
Допущены ошибки в трех элементах ответа |
1 |
|
Все элементы ответа записаны неверно |
0 |
|
Максимальный балл |
4 |
39. Массовая доля кислорода в органическом соединении равна 42,67%. Известно, что это соединение, реагируя с аланином, образует дипептид.
На основании данных условия задания:
1) произведите вычисления, необходимые для установления молекулярной формулы органического вещества;
2) запишите молекулярную формулу исходного органического вещества;
3) составьте структурную формулу этого вещества, которая однозначно отражает порядок связи атомов в его молекуле;
4) напишите уравнение реакции этого вещества с аланином.
Ответ:
|
Содержание верного ответа и указания к оцениванию (допускаются иные формулировки ответа, не искажающие его смысла) |
Баллы |
|
Элементы ответа: 1) Органическое соединение является аминокислотой. Записана общая формула и рассчитана молярная масса аминокислоты — CnH2n(NH2)COOH.
2) Найдено число атомов углерода в молекуле кислоты и установлена ее формула:
3) Структурная формула аминокислоты:
4) записано уравнение реакции:
|
|
|
Ответ правильный и полный, включает все названные выше элементы |
4 |
|
Допущена ошибка в одном из элементов ответа |
3 |
|
Допущены ошибки в двух элементах ответа |
2 |
|
Допущены ошибки в трех элементах ответа |
1 |
|
Все элементы ответа записаны неверно |
0 |
|
Максимальный балл |
4 |
40. При полном сгорании углеводорода образовалось 27 г воды и 33,6 л СO2 (н.у.). Относительная плотность углеводорода по аргону равна 1,05. Известно, что этот углеводород реагирует с бромоводородом, но не реагирует с водой.
На основании данных условия задания:
1) произведите вычисления, необходимые для установления молекулярной формулы органического вещества;
2) запишите молекулярную формулу исходного органического вещества;
3) составьте структурную формулу этого вещества, которая однозначно отражает порядок связи атомов в его молекуле;
4) напишите уравнение реакции этого вещества с бромоводородом.
Ответ:
|
Содержание верного ответа и указания по оцениванию (допускаются иные формулировки ответа, не искажающие его смысла) |
Баллы |
|
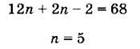
Элементы ответа: 1) Установлена простейшая формула углеводорода:
Соотношение атомов в молекуле:
простейшая формула СН2. 2) Найдена формула углеводорода с учетом его молярной массы:
Истинная молекулярная формула С3Н6. 3) Структурная формула:
4) Уравнение реакции:
|
|
|
Ответ правильный и полный, включает все названные выше элементы |
4 |
|
Допущена ошибка в одном из элементов ответа |
3 |
|
Допущены ошибки в двух элементах ответа |
2 |
|
Допущены ошибки в трех элементах ответа |
1 |
|
Все элементы ответа записаны неверно |
0 |
|
Максимальный балл |
4 |



































