Химия самостоятельная подготовка к ЕГЭ - универсальные материалы с методическими рекомендациями, решениями и ответами - 2018 год
ОТВЕТЫ НА ЗАДАНИЯ ПРИМЕРНЫХ ТРЕНИРОВОЧНЫХ ВАРИАНТОВ ЕГЭ
Ответы к заданиям части 1
|
Задание |
Вариант |
||||
|
1 |
2 |
3 |
4 |
5 |
|
|
1 |
13 |
24 |
23 |
34 |
25 |
|
2 |
15 |
25 |
15 |
23 |
45 |
|
3 |
12 |
13 |
23 |
15 |
13 |
|
4 |
35 |
25 |
15 |
24 |
45 |
|
5 |
13 |
12 |
34 |
15 |
45 |
|
6 |
136 |
146 |
256 |
146 |
256 |
|
7 |
23 |
35 |
35 |
34 |
25 |
|
8 |
34 |
15 |
13 |
25 |
12 |
|
9 |
45 |
45 |
14 |
34 |
35 |
|
10 |
12 |
15 |
15 |
45 |
13 |
|
11 |
53 |
23 |
12 |
32 |
24 |
|
12 |
15 |
25 |
45 |
51 |
52 |
|
13 |
35 |
45 |
15 |
25 |
23 |
|
14 |
35 |
25 |
35 |
13 |
23 |
|
15 |
35 |
35 |
24 |
14 |
34 |
|
16 |
23 |
25 |
23 |
14 |
13 |
|
17 |
12 |
35 |
35 |
34 |
24 |
|
18 |
35 |
24 |
14 |
24 |
35 |
|
19 |
34 |
34 |
45 |
12 |
12 |
|
20 |
35 |
32 |
21 |
12 |
45 |
|
21 |
35 |
14 |
15 |
35 |
15 |
|
22 |
25 |
14 |
45 |
25 |
25 |
|
23 |
34 |
13 |
23 |
12 |
15 |
|
24 |
4,3 |
5,3 |
10,4 |
13 |
1,6 |
|
25 |
13,44 |
22 |
4,32 |
4,48 |
48 |
|
26 |
6,4 |
10,2 |
16 |
96 |
6,4 |
|
27 |
4235 |
4651 |
1331 |
5461 |
4216 |
|
28 |
2431 |
1441 |
2324 |
4224 |
1422 |
|
29 |
6664 |
1132 |
2232 |
5232 |
5235 |
|
30 |
3212 |
2123 |
2441 |
3211 |
2212 |
|
31 |
2322 |
2322 |
2322 |
2121 |
2321 |
|
32 |
3214 |
3414 |
5123 |
3214 |
4123 |
|
33 |
2254 |
5344 |
3524 |
4435 |
2254 |
|
34 |
2456 |
1456 |
2456 |
6452 |
2461 |
|
35 |
3135 |
5142 |
5123 |
6134 |
2645 |
Ответы к заданиям части 2
Вариант 1
36.
|
Содержание верного ответа и указания по оцениванию (допускаются иные формулировки ответа, не искажающие его смысла) |
Баллы |
|
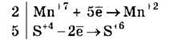
Элементы ответа: 1) составлен электронный баланс:
2) указано, что фосфор в степени окисления -3 (или фосфин) является восстановителем, а марганец в степени окисления +7 (или перманганат калия) — окислителем; 3) определены недостающие вещества и составлено уравнение реакции:
|
|
|
Ответ правильный и полный, содержит все названные выше элементы |
3 |
|
Правильно записаны два элемента ответа |
2 |
|
Правильно записан один элемент ответа |
1 |
|
Все элементы ответа записаны неверно |
0 |
|
Максимальный балл |
3 |
37.
|
Содержание верного ответа и указания по оцениванию (допускаются иные формулировки ответа, не искажающие его смысла) |
Баллы |
|
Элементы ответа. Написаны четыре уравнения описанных реакций:
|
|
|
Правильно записаны четыре уравнения реакций |
4 |
|
Правильно записаны три уравнения реакций |
3 |
|
Правильно записаны два уравнения реакций |
2 |
|
Правильно записано одно уравнение реакции |
1 |
|
Все уравнения реакций записаны неверно |
0 |
|
Максимальный балл |
4 |
38.
|
Содержание верного ответа и указания по оцениванию (допускаются иные формулировки ответа, не искажающие его смысла) |
Баллы |
|
Ответ включает в себя пять уравнений реакций, соответствующих схеме превращений:
|
|
|
Правильно записаны пять уравнений реакций |
5 |
|
Правильно записаны четыре уравнения реакций |
4 |
|
Правильно записаны три уравнения реакций |
3 |
|
Правильно записаны два уравнения реакций |
2 |
|
Правильно записано одно уравнение реакции |
1 |
|
Все элементы ответа записаны неверно |
0 |
|
Максимальный балл |
5 |
Примечание. Допустимо использование структурных формул разного вида (развернутой, сокращенной, скелетной), однозначно отражающих порядок связи атомов и взаимное расположение заместителей и функциональных групп в молекуле органического вещества.
39.
|
Содержание верного ответа и указания по оцениванию (допускаются иные формулировки ответа, не искажающие его смысла) |
Баллы |
|
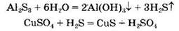
Элементы ответа. 1. Составлены уравнения реакций:
2. Рассчитано количество вещества сульфата меди, сероводорода и сульфида алюминия:
3. Рассчитаны массы сульфида алюминия и сульфида калия:
4. Определены массовые доли сульфида калия и сульфида алюминия в исходной смеси:
|
|
|
Ответ правильный и полный, содержит все названные выше элементы |
4 |
|
Правильно записаны три элемента ответа |
3 |
|
Правильно записаны два элемента ответа |
2 |
|
Правильно записан один элемент ответа |
1 |
|
Все элементы ответа записаны неверно |
0 |
|
Максимальный балл |
4 |
Примечание. В случае, когда в ответе содержится ошибка в вычислениях в одном из трех элементов (втором, третьем или четвертом), которая привела к неверному ответу, оценка за выполнение задания снижается только на 1 балл.
40.
|
Содержание верного ответа и указания по оцениванию (допускаются иные формулировки ответа, не искажающие его смысла) |
Баллы |
|
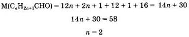
Элементы ответа. 1. Записано уравнение реакции и рассчитана молярная масса альдегида:
2. Определена молекулярная формула вещества:
Молекулярная формула: С2Н5СНО 3. Составлена структурная формула вещества:
4. Записано уравнение реакции вещества с гидроксидом меди(II):
|
|
|
Ответ правильный и полный, включает все названные выше элементы |
4 |
|
Правильно записаны три элемента ответа |
3 |
|
Правильно записаны два элемента ответа |
2 |
|
Правильно записан один элемент ответа |
1 |
|
Все элементы ответа записаны неверно |
0 |
|
Максимальный балл |
4 |
Вариант 2
36.
|
Содержание верного ответа и указания по оцениванию (допускаются иные формулировки ответа, не искажающие его смысла) |
Баллы |
|
Элементы ответа: 1) составлен электронный баланс:
2) указано, что азот в степени окисления +3 (или нитрит калия) является восстановителем, а хром в степени окисления +6 (или дихромат калия) — окислителем; 3) определены недостающие вещества и составлено уравнение реакции:
|
|
|
Ответ правильный и полный, содержит все названные выше элементы |
3 |
|
В ответе допущена ошибка только в одном из элементов |
2 |
|
В ответе допущены ошибки в двух элементах |
1 |
|
Все элементы ответа записаны неверно |
0 |
|
Максимальный балл |
3 |
37.
|
Содержание верного ответа и указания по оцениванию (допускаются иные формулировки ответа, не искажающие его смысла) |
Баллы |
|
Элементы ответа: Написаны четыре уравнения описанных реакций:
|
|
|
Правильно записаны 4 уравнения реакций |
4 |
|
Правильно записаны 3 уравнения реакций |
3 |
|
Правильно записаны 2 уравнения реакций |
2 |
|
Правильно записано 1 уравнение реакции |
1 |
|
Все уравнения реакций записаны неверно |
0 |
|
Максимальный балл |
4 |
38.
|
Содержание верного ответа и указания по оцениванию (допускаются иные формулировки ответа, не искажающие его смысла) |
Баллы |
|
Ответ включает в себя пять уравнений реакций, соответствующих схеме превращений:
|
|
|
Правильно записаны 5 уравнений реакций |
5 |
|
Правильно записаны 4 уравнения реакций |
4 |
|
Правильно записаны 3 уравнения реакций |
3 |
|
Правильно записаны 2 уравнения реакций |
2 |
|
Правильно записано 1 уравнение реакции |
1 |
|
Все элементы ответа записаны неверно |
0 |
|
Максимальный балл |
5 |
Примечание. Допустимо использование структурных формул разного вида (развернутой, сокращенной, скелетной), однозначно отражающих порядок связи атомов и взаимное расположение заместителей и функциональных групп в молекуле органического вещества.
39.
|
Содержание верного ответа и указания по оцениванию (допускаются иные формулировки ответа, не искажающие его смысла) |
Баллы |
|
Элементы ответа. 1) Составлены уравнения реакций:
2) Рассчитано количество вещества алюминия и кремния:
3) Рассчитаны массы алюминия и кремния:
4) Определена массовая доля кремния в исходной смеси:
|
|
|
Ответ правильный и полный, содержит все названные выше элементы |
4 |
|
В ответе допущена ошибка в одном из названных выше элементов |
3 |
|
В ответе допущены ошибки в двух из названных выше элементов |
2 |
|
В ответе допущены ошибки в трех из названных выше элементов |
1 |
|
Все элементы ответа записаны неверно |
0 |
|
Максимальный балл |
4 |
Примечание. В случае, когда в ответе содержится ошибка в вычислениях в одном из трех элементов (втором, третьем или четвертом), которая привела к неверному ответу, оценка за выполнение задания снижается только на 1 балл.
40.
|
Содержание верного ответа и указания по оцениванию (допускаются иные формулировки ответа, не искажающие его смысла) |
Баллы |
|
Элементы ответа: 1) Найдены количества веществ углерода, водорода, кислорода:
2) Определена молекулярная формула вещества:
Молекулярная формула: С2Н6O 3) Составлена структурная формула вещества: СН3—О—СН3 4) Записано уравнение реакции получения:
|
|
|
Ответ правильный и полный, включает все названные выше элементы |
4 |
|
Допущена ошибка в одном из элементов ответа |
3 |
|
Допущены ошибки в двух элементах ответа |
2 |
|
Допущены ошибки в трех элементах ответа |
1 |
|
Все элементы ответа записаны неверно |
0 |
|
Максимальный балл |
4 |
Вариант 3
36.
|
Содержание верного ответа и указания по оцениванию (допускаются иные формулировки ответа, не искажающие его смысла) |
Баллы |
|
Элементы ответа: 1) составлен электронный баланс:
2) указано, что цинк является восстановителем, а марганец в степени окисления +7 (или перманганат калия за счет марганца в степени окисления +7) — окислителем; 3) определены недостающие вещества и составлено уравнение реакции:
|
|
|
Ответ правильный и полный, содержит все названные выше элементы |
3 |
|
В ответе допущена ошибка только в одном из элементов |
2 |
|
В ответе допущены ошибки в двух элементах |
1 |
|
Все элементы ответа записаны неверно |
0 |
|
Максимальный балл |
3 |
37.
|
Содержание верного ответа и указания по оцениванию (допускаются иные формулировки ответа, не искажающие его смысла) |
Баллы |
|
Элементы ответа: Написаны четыре уравнения описанных реакций:
|
|
|
Правильно записаны 4 уравнения реакций |
4 |
|
Правильно записаны 3 уравнения реакций |
3 |
|
Правильно записаны 2 уравнения реакций |
2 |
|
Правильно записано 1 уравнение реакции |
1 |
|
Все уравнения реакций записаны неверно |
0 |
|
Максимальный балл |
4 |
38.
|
Содержание верного ответа и указания по оцениванию (допускаются иные формулировки ответа, не искажающие его смысла) |
Баллы |
|
Ответ включает в себя пять уравнений реакций, соответствующих схеме превращений:
|
|
|
Правильно записаны 5 уравнений реакций |
5 |
|
Правильно записаны 4 уравнения реакций |
4 |
|
Правильно записаны 3 уравнения реакций |
3 |
|
Правильно записаны 2 уравнения реакций |
2 |
|
Правильно записано 1 уравнение реакции |
1 |
|
Все элементы ответа записаны неверно |
0 |
|
Максимальный балл |
5 |
Примечание. Допустимо использование структурных формул разного вида (развернутой, сокращенной, скелетной), однозначно отражающих порядок связи атомов и взаимное расположение заместителей и функциональных групп в молекуле органического вещества.
39.
|
Содержание верного ответа и указания по оцениванию (допускаются иные формулировки ответа, не искажающие его смысла) |
Баллы |
|
Элементы ответа. 1) Составлены уравнения реакций:
2) Рассчитано количество вещества гидросульфата натрия:
3) Рассчитано количество вещества сульфата натрия:
4) Рассчитана масса осадка сульфата стронция:
|
|
|
Ответ правильный и полный, содержит все названные выше элементы |
4 |
|
В ответе допущена ошибка в одном из названных выше элементов |
3 |
|
В ответе допущены ошибки в двух из названных выше элементов |
2 |
|
В ответе допущены ошибки в трех из названных выше элементов |
1 |
|
Все элементы ответа записаны неверно |
0 |
|
Максимальный балл |
4 |
Примечание. В случае, когда в ответе содержится ошибка в вычислениях в одном из трех элементов (втором, третьем или четвертом), которая привела к неверному ответу, оценка за выполнение задания снижается только на 1 балл.
40.
|
Содержание верного ответа и указания по оцениванию (допускаются иные формулировки ответа, не искажающие его смысла) |
Баллы |
|
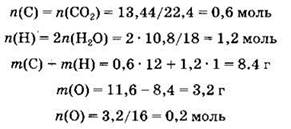
Элементы ответа: 1) Найдено количество вещества углерода, водорода, кислорода:
2) Определена молекулярная формула вещества:
С3НбО — простейшая формула
М(С3Н6O) = 58 г/моль — истинная формула Молекулярная формула исходного вещества С3Н6O 3) Составлена структурная формула вещества:
4) Записано уравнение реакции вещества с водородом:
|
|
|
Ответ правильный и полный, включает все названные выше элементы |
4 |
|
Допущена ошибка в одном из элементов ответа |
3 |
|
Допущены ошибки в двух элементах ответа |
2 |
|
Допущены ошибки в трех элементах ответа |
1 |
|
Все элементы ответа записаны неверно |
0 |
|
Максимальный балл |
4 |
Вариант 4
36.
|
Содержание верного ответа и указания по оцениванию (допускаются иные формулировки ответа, не искажающие его смысла) |
Баллы |
|
Элементы ответа: 1) составлен электронный баланс:
2) указано, что сера в степени окисления +4 (или сернистый газ) является восстановителем, а марганец в степени окисления +7 (или марганцевая кислота) — окислителем; 3) определены недостающие вещества и составлено уравнение реакции:
|
|
|
Ответ правильный и полный, содержит все названные выше элементы |
3 |
|
В ответе допущена ошибка только в одном из элементов |
2 |
|
В ответе допущены ошибки в двух элементах |
1 |
|
Все элементы ответа записаны неверно |
0 |
|
Максимальный балл |
3 |
37.
|
Содержание верного ответа и указания по оцениванию (допускаются иные формулировки ответа, не искажающие его смысла) |
Баллы |
|
Элементы ответа: Написаны четыре уравнения описанных реакций:
|
|
|
Правильно записаны 4 уравнения реакций |
4 |
|
Правильно записаны 3 уравнения реакций |
3 |
|
Правильно записаны 2 уравнения реакций |
2 |
|
Правильно записано 1 уравнение реакции |
1 |
|
Все уравнения реакций записаны неверно |
0 |
|
Максимальный балл |
4 |
38.
|
Содержание верного ответа и указания по оцениванию (допускаются иные формулировки ответа, не искажающие его смысла) |
Баллы |
|
Ответ включает в себя пять уравнений реакций, соответствующих схеме превращений:
|
|
|
Правильно записаны 5 уравнений реакций |
5 |
|
Правильно записаны 4 уравнения реакций |
4 |
|
Правильно записаны 3 уравнения реакций |
3 |
|
Правильно записаны 2 уравнения реакций |
2 |
|
Правильно записано 1 уравнение реакции |
1 |
|
Все элементы ответа записаны неверно |
0 |
|
Максимальный балл |
5 |
Примечание. Допустимо использование структурных формул разного вида (развернутой, сокращенной, скелетной), однозначно отражающих порядок связи атомов и взаимное расположение заместителей и функциональных групп в молекуле органического вещества.
39.
|
Содержание верного ответа и указания по оцениванию (допускаются иные формулировки ответа, не искажающие его смысла) |
Баллы |
|
Элементы ответа. 1) Составлены уравнения реакций:
2) Рассчитано исходное количество вещества щелочи:
3) Рассчитана масса избыточного гидроксида калия:
4) Определена массовая доля щелочи в растворе:
|
|
|
Ответ правильный и полный, содержит все названные выше элементы |
4 |
|
В ответе допущена ошибка в одном из названных выше элементов |
3 |
|
В ответе допущены ошибки в двух из названных выше элементов |
2 |
|
В ответе допущены ошибки в трех из названных выше элементов |
1 |
|
Все элементы ответа записаны неверно |
0 |
|
Максимальный балл |
4 |
Примечание. В случае, когда в ответе содержится ошибка в вычислениях в одном из трех элементов (втором, третьем или четвертом), которая привела к неверному ответу, оценка за выполнение задания снижается только на 1 балл.
40.
|
Содержание верного ответа и указания по оцениванию (допускаются иные формулировки ответа, не искажающие его смысла) |
Баллы |
|
Элементы ответа: 1) Найдено соотношение количеств веществ углерода и водорода:
2) Определена молекулярная формула вещества: C6H10 3) Составлена структурная формула вещества:
4) Записано уравнение реакции вещества с аммиачным раствором оксида серебра:
|
|
|
Ответ правильный и полный, включает все названные выше элементы |
4 |
|
Допущена ошибка в одном из элементов ответа |
3 |
|
Допущены ошибки в двух элементах ответа |
2 |
|
Допущены ошибки в трех элементах ответа |
1 |
|
Все элементы ответа записаны неверно |
0 |
|
Максимальный балл |
4 |
Вариант 5
36.
|
Содержание верного ответа и указания по оцениванию (допускаются иные формулировки ответа, не искажающие его смысла) |
Баллы |
|
Элементы ответа: 1) составлен электронный баланс:
2) указано, что иод в степени окисления -1 (или иодид калия) является восстановителем, а марганец в степени окисления -1-7 (или перманганат калия) - окислителем; 3) определены недостающие вещества и составлено уравнение реакции:
|
|
|
Ответ правильный и полный, содержит все названные выше элементы |
3 |
|
В ответе допущена ошибка только в одном из элементов |
2 |
|
В ответе допущены ошибки в двух элементах |
1 |
|
Все элементы ответа записаны неверно |
0 |
|
Максимальный балл |
3 |
37.
|
Содержание верного ответа и указания по оцениванию (допускаются иные формулировки ответа, не искажающие его смысла) |
Баллы |
|
Элементы ответа: Написаны четыре уравнения описанных реакций:
|
|
|
Правильно записаны 4 уравнения реакций |
4 |
|
Правильно записаны 3 уравнения реакций |
3 |
|
Правильно записаны 2 уравнения реакций |
2 |
|
Правильно записано 1 уравнение реакции |
1 |
|
Все уравнения реакций записаны неверно |
0 |
|
Максимальный балл |
4 |
38.
|
Содержание верного ответа и указания по оцениванию (допускаются иные формулировки ответа, не искажающие его смысла) |
Баллы |
|
Ответ включает в себя пять уравнений реакций, соответствующих схеме превращений:
|
|
|
Правильно записаны 5 уравнений реакций |
5 |
|
Правильно записаны 4 уравнения реакций |
4 |
|
Правильно записаны 3 уравнения реакций |
3 |
|
Правильно записаны 2 уравнения реакций |
2 |
|
Правильно записано 1 уравнение реакции |
1 |
|
Все элементы ответа записаны неверно |
0 |
|
Максимальный балл |
5 |
Примечание. Допустимо использование структурных формул разного вида (развернутой, сокращенной, скелетной), однозначно отражающих порядок связи атомов и взаимное расположение заместителей и функциональных групп в молекуле органического вещества.
39.
|
Содержание верного ответа и указания по оцениванию (допускаются иные формулировки ответа, не искажающие его смысла) |
Баллы |
|
Элементы ответа. 1) Составлены уравнения реакций:
2) Рассчитано количество вещества и масса гидросульфата натрия:
3) Рассчитано количество вещества и масса сульфата натрия:
4) Определена масса осадка сульфата бария:
|
|
|
Ответ правильный и полный, содержит все названные выше элементы |
4 |
|
В ответе допущена ошибка в одном из названных выше элементов |
3 |
|
В ответе допущены ошибки в двух из названных выше элементов |
2 |
|
В ответе допущены ошибки в трех из названных выше элементов |
1 |
|
Все элементы ответа записаны неверно |
0 |
|
Максимальный балл |
4 |
Примечание. В случае, когда в ответе содержится ошибка в вычислениях в одном из трех элементов (втором, третьем или четвертом), которая привела к неверному ответу, оценка за выполнение задания снижается только на 1 балл.
40.
|
Содержание верного ответа и указания по оцениванию (допускаются иные формулировки ответа, не искажающие его смысла) |
Баллы |
|
Элементы ответа: 1) Записано уравнение реакции и найдена молярная масса спирта:
2) Определена молекулярная формула вещества:
Молекулярная формула — С3Нб(ОН)2 3) Составлена структурная формула вещества: Структурная формула: НО—СН2—СН2—СН2—ОН 4) Записано уравнение реакции вещества с натрием:
|
|
|
Ответ правильный и полный, включает все названные выше элементы |
4 |
|
Допущена ошибка в одном из элементов ответа |
3 |
|
Допущены ошибки в двух элементах ответа |
2 |
|
Допущены ошибки в трех элементах ответа |
1 |
|
Все элементы ответа записаны неверно |
0 |
|
Максимальный балл |
4 |





























