Химия и повседневная жизнь человека - поурочные разработки
Урок чистоты и здоровья - Сценарии уроков на основе проблемных заданий
Цели урока. Познакомить учащихся с составом и свойствами как современных, так и старинных средств гигиены; показать, как знание химии позволяет более грамотно выбирать средства гигиены; дать полезные советы по уходу за кожей, волосами и полостью рта.
Оборудование. Карточки-задания для учащихся, плакат с изображением структуры молекулы кератина (приложение 1) и типов химических связей в этой молекуле, образцы современных средств гигиены: шампуней, дезодорантов, зубных паст (или пустые упаковки). Следует выбирать те упаковки, на которых указан состав средства, даже если информация и не на русском языке, так как названия многих химических соединений, написанные латинскими буквами, прочитать достаточно легко.
Методические рекомендации по проведению урока
В начале урока следует познакомить учащихся с дополнительной информацией.
Прежде всего выяснить, что представляют собой загрязнения кожи и волос с точки зрения химии. Кожа и волосы загрязняются пылью, потом, кожным салом, а также слущивающимися частичками эпидермиса, которые состоят из кератина.
Самый простой способ очистки кожи и волос — мытье водой с мылом или с современными моющими средствами — шампунями.
Основная характеристика любого моющего средства, от которого зависит эффективность его действия, — щелочность. Чем более щелочную реакцию имеют мыло или шампунь, тем лучше они удаляют кожное сало, в то же время все щелочные растворы сушат кожу, разрушают волосы. Поэтому при разработке моющих средств перед химиками и косметологами стоит очень трудная задача — добиться высокой эффективности очистки и в то же время избежать повреждения кожи и волос, т. е. подобрать оптимальный уровень щелочности моющего средства.
Чтобы правильно пользоваться современными моющими средствами, необходимо познакомиться с очень важным понятием «pH», или водородным показателем. С этим чисто химическим термином и символом pH нам приходится сталкиваться ежедневно. На этикетках шампуней, стиральных порошков, ополаскивателей для волос или приведены значения pH, или указано, что препарат имеет регулируемый pH.
pH — это показатель содержания в растворе ионов водорода. В воде и в любом водном растворе всегда имеется какое-то количество ионов водорода, так как молекула воды частично диссоциирует:
![]()
Значение pH — это показатель кислотности, численно равный отрицательному логарифму концентрации протонов: pH = -lg[H]. pH может изменяться от 1 до 14, pH чистой воды равен 7. Растворы с pH < 7 имеют кислую реакцию, а растворы с pH > 7 — щелочную. Значение pH можно определить с помощью прибора — рН-метра или индикаторной бумаги.
Обратите внимание на этикетки современных шампуней. Практически на всех указано значение pH, близкое к 5,5. Это значение pH наиболее соответствует естественной реакции кожи. Физиологи доказали, что роговой слой кожи имеет pH ≈ 5,5 за счет находящихся в нем водорастворимых веществ. Воздействие сильнощелочных моющих средств может изменить нормальное значение pH кожи.
Задания
2.1. Во время Великой Отечественной войны и в первые послевоенные годы, когда был дефицит мыла, многие женщины мыли волосы процеженным настоем древесной золы. И сейчас иногда в деревнях принято мыться в бане и мыть голову хотя и с мылом, но не чистой водой, а настоем золы. Особенно это распространено там, где пользуются не речной, а колодезной водой. Как можно объяснить применение золы для этих целей?
2.2. Вы занимаетесь оптовыми поставками парфюмерно-косметической продукции в регион, где большие трудности с пресной водой и для бытовых целей часто приходится пользоваться морской водой (например, г. Шевченко в Казахстане). Какой шампунь вы будете закупать для реализации в этом регионе — изготовленный на основе лаурилсульфата натрия или на основе лаурилтриметиламмония при условии, что цена их почти одинакова?
2.3. Известно, что избыточное потребление сладостей способствует развитию кариеса. Как это можно объяснить с точки зрения химического разрушения зубной эмали — одной из серьезных причин кариеса? Можете ли вы предложить способ защиты зубов, позволяющий любителям сладостей потреблять их без ограничения?
2.4. Известно, что плохой уход за зубами, особенно несвоевременное удаление остатков пищи, — одна из причин кариеса. Почему особенно опасны для зубов остатки пищи, которая содержит много углеводов, причем не только сахара, но и белого хлеба, печенья?
2.5. Какое количество монофторфосфата натрия Na2PO3F содержится в тюбике зубной пасты весом 75 г, если на упаковке указано: «Содержание активного фтора 0,15%»? Стоматологи рекомендуют для профилактики кариеса ежегодно потреблять в виде зубной пасты примерно 1,5 г активного фтора, т. е. фторид-иона, способного диссоциировать и вступать в реакции ионного обмена с зубной эмалью. Сколько тюбиков зубной пасты надо использовать в течение года, чтобы обеспечить эту норму?
2.6. Некоторые старые люди до сих пор не признают зубные пасты и чистят зубы только мылом. У многих из них зубы хорошо сохранились. Можно ли это объяснить с точки зрения химии?
2.7. Несмотря на исключительное многообразие выпускаемых зубных паст, в состав любой из них обязательно входят вещества с определенными функциями: абразивы для механической очистки зубов и полировки их поверхности, очищающие пенообразующие вещества с высокой поверхностной активностью, связующие и загустители, обеспечивающие однородность состава и его пластичность. В лечебно-профилактические пасты обязательно добавляют вещества с антисептическими свойствами для профилактики воспаления десен и фториды для профилактики кариеса. На тюбике зубной пасты «Pepsodent-plus» указан ее состав: монофторфосфат натрия, оксид алюминия, лаурилсульфат натрия, оксид титана (IV), карбоксиметил целлюлоза, вкусовые и ароматические вещества, сахарин, бензойная кислота. Попробуйте объяснить, какую функцию выполняет в этом составе каждый из компонентов.
2.8. Пот человека содержит 98—99% воды, низкомолекулярные жирные кислоты, лимонную, молочную и пировиноградную кислоты, аммиак, ацетон, холестерин, стероидные гормоны, около
0,3% хлористого натрия, катионы кальция и магния, фосфат- и сульфат-анионы, следовые количества белков. Какие из этих соединений могут вступать в химическое взаимодействие с мылом?
2.9. Все твердые туалетные мыла изготовлены на основе натриевых солей высших жирных кислот. Но людям с повышенной жирностью кожи лица и головы врачи-дерматологи рекомендуют умываться и мыть голову жидким мылом, которое изготавливают из калиевых солей жирных кислот или препаратом, который продается в аптеках под названием «зеленое мыло» и представляет собой чистое калийное мыло без ароматизаторов. Как это можно объяснить?
2.10. Многие шампуни изготавливают на основе производных лаурилового спирта СН3(СН2)10СН2ОН. Это вещество стало основным сырьем для производства современных средств гигиенической косметики — шампуней, зубных паст — не случайно. Известно, что самым лучшим мылом является мыло, приготовленное из кокосового масла, которое на 52% состоит из триглицеридов лауриновой кислоты СН3(СН2)10СООН. Присутствие группировки СН3(СН2)10 в составе моющих средств обеспечивает хорошее пенообразование. Особенно широко используют натриевую соль лаурилсерной кислоты — лаурилсульфат натрия CH3(CH2)10CH2OSO3Na, который получают из лаурилового спирта и серной кислоты с последующей нейтрализацией гидроксидом натрия:

Часто используют и хлорид лаурилтриметиламмония [CH3(CH2)10CH2N(CH3)3]Cl. Основное преимущество этих соединений заключается в том, что моющие средства на их основе можно использовать в жесткой воде. И хотя оба соединения являются производными лаурилового спирта, механизм их действия в жесткой воде принципиально различается. Попробуйте объяснить это различие.
2.11. Дезодоранты по принципу действия делят на два типа. Одни содержат бактерицидные вещества, уничтожающие микроорганизмы и таким образом тормозящие бактериальное разложение пота. Препараты второго типа содержат вещества, взаимодействующие с компонентами пота с образованием нерастворимых соединений, которые закрывают каналы потовых желез и таким образом уменьшают потовыделение (например, алюмокалиевые квасцы KAl(SO4)2 · 12Н2O, формальдегид СН2=O). Попробуйте определить, к какому способу можно отнести описанные приемы борьбы с запахом пота — к биологическому, химическому или химико-биологическому. И какой из описанных способов можно считать более физиологичным?
2.12. В шампуни в качестве образователей и стабилизаторов пены добавляют додецилбензол С6Н5—С12Н25 или вещество, имеющее формулу С11Н23—С(О)—NH—СН2СН2ОН. Что общего между этими двумя веществами?
2.13. Чтобы шампуни оставались прозрачными при любой температуре, в них добавляют так называемые осветляющие вещества: бутанол С4Н9ОН, изопропанол СН3—СНОН—СН3, диэтиленгликоль ОН—СН2СН2—О—СН2СН2—ОН, пропиленгликоль СН3—СНОН—СН2—ОН (не путать с осветляющими шампунями на основе пероксидных соединений, которые применяют для обесцвечивания волос). Можно ли сказать, что свойствами осветлять шампуни обладают химические вещества определенного класса?
2.14. Еще совсем недавно, 20—30 лет назад, основным средством для чистки зубов были зубные порошки. А применять их начали еще в прошлом веке. И составы их были достаточно разнообразны. Приводим состав двух старых зубных порошков: 1) мела очищенного — 1,2 кг, углекислой магнезии — 200 г, надборнонатриевой соли — 60 г, мятного масла — 25 г; 2) салола (сложный эфир фенола С6Н5ОН и салициловой кислоты ОН—С6Н4—СНОН) — 4 г, фосфорно-кальциевой соли — 20 г, мела очищенного — 20 г, углемагниевой соли — 15 г, бикарбоната натрия — 15 г.
Обратите внимание на устаревшие названия некоторых компонентов порошков (рецепты воспроизведены дословно): углекислая магнезия, углемагниевая соль MgCO3, надборнонатриевая соль NaBO3 · 4H2O (современное название — перборат натрия, соединение, содержащее пероксидную группу —О—О—, иногда его формулу пишут как NaBO2 · Н2O2 · 3Н2O), фосфорно-кальциевая соль СаНРO4, бикарбонат натрия NaHCO3.
Дайте упомянутым здесь солям современные названия. Попробуйте определить, какой из порошков отбеливает зубы, а какой обладает противовоспалительным действием.
2.15. Почему жирную кожу, склонную к воспалительным процессам, не рекомендуют слишком часто мыть водой с мылом, хотя мыло хорошо удаляет кожное сало и обладает антисептическими свойствами?
2.16. Почему врачи-дерматологи рекомендуют после душа, обязательно принимаемого перед бассейном, ополаскивать ступни ног раствором слабой кислоты?
2.17. Почему во все лосьоны для очистки кожи лица, помимо веществ, растворяющих кожное сало и удаляющих слущивающиеся частички рогового слоя кожи, обязательно добавляют слабые кислоты?
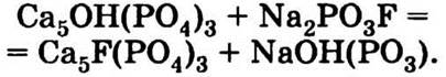
2.18. Всем известно ощущение оскомины после обильного потребления кислых фруктов, при этом зубы становятся очень чувствительны к горячей и холодной пище. Но это ощущение проходит, если два раза в день чистить зубы фтористой зубной пастой. Как можно объяснить все эти явления с позиций химии, если знать, что состав зубной эмали очень близок к минералу гидроксилапатиту Са5OН(РO4)3?
2.19. Зубную пасту «Oral-В» стоматологи специально рекомендуют тем людям, у которых зубная эмаль особенно чувствительна к кислоте. На упаковке указано, что в ее состав входит гидроксил- апатит. Фтористых соединений в этой пасте нет. Как можно объяснить ее положительное действие на зубную эмаль, чувствительную к кислотам пищи?
2.20. К сожалению, большинство людей чистят зубы недостаточно тщательно, не удаляя полностью налет, в котором и размножаются бактерии. Поэтому все чаще зубные врачи проводят в школах уроки правильного ухода за зубами. Чтобы проверить, насколько хорошо очищены зубы, врач смазывает их спиртовым раствором йода или ярким синим раствором красителя — метиленового синего. Если зубы очищены хорошо, они не окрашиваются, а если опасный налет на зубах удален не полностью — они мгновенно окрашиваются в коричневый или синий цвет. Значит, обработку зубов щеткой и пастой, а также зубной нитью и зубочисткой надо повторить. Возможно, и вам уже пришлось подвергнуться этой неопасной, но малоприятной процедуре. Попробуйте объяснить с позиций химии, почему окрашиваются плохо очищенные зубы.
2.21. Зубная паста «Crest» (производство США) содержит, как указано на упаковке, 0,454% фторида олова (II), а зубная паста «FM extra dent» (производство Болгария) содержит 0,8% монофторфосфата натрия Na2PO3F. Какая из этих паст более сильнодействующее средство для профилактики кариеса?
Ответы и решения
2.1. Зола содержит большое количество карбоната калия К2СO3, который является солью слабой угольной кислоты Н2СO3 и сильного основания КОН, и при растворении в воде гидролизуется:
![]()
В растворе накапливаются ионы ОН-, поэтому среда становится щелочной. Под действием щелочи происходит омыление жиров.
Кроме того, зола хорошо смягчает воду, так как карбонат калия осаждает растворимые соли кальция и магния.
2.2. В регионе, где для бытовых целей часто пользуются морской водой, будет лучше продаваться шампунь на основе лаурилтриметиламмония, так как он содержит катионное ПАВ и будет проявлять моющие свойства независимо от присутствия в воде других катионов. Лаурилсерная кислота образует растворимые соли с катионами Са2+ и Mg2+, которые обусловливают жесткость воды. В морской воде, кроме Са2+ и Mg2+, содержатся и другие катионы, соли которых с лаурилсерной кислотой могут быть тоже нерастворимы. Поэтому лучше использовать катионное моющее средство.
См. также ответ к заданию 2.1.
2.3. Глюкоза, содержащаяся во многих сладостях, легко подвергается процессу молочнокислого брожения:
![]()
поэтому остатки сладкой пищи в полости рта превращаются в молочную кислоту, которая растворяет зубную эмаль.
Любителям сладостей можно посоветовать полоскать рот раствором питьевой соды после каждого приема пищи.
2.4. Углеводы подвергаются молочнокислому брожению с образованием молочной кислоты, разрушающей зубную эмаль.
См. также ответ к заданию 2.3.
2.5. В 75 г пасты содержится (75 · 0,15) : 100 = 0,11 г активного фтора. По норме необходимо израсходовать 1,5 : 0,11 = 13,6 тюбиков зубной пасты за год, т. е. примерно по 1 тюбику в месяц.
2.6. В состав любой, даже самой современной зубной пасты входят моющие и пенообразующие вещества, чаще всего натриевая соль лаурилсерной кислоты. Их действие аналогично действию мыла, а преимущество в том, что они не имеют неприятного запаха и вкуса мыла. Поэтому и с помощью мыла можно неплохо очистить зубы. К тому же все зубные пасты содержат абразивные вещества, обеспечивающие механическую очистку зубов, но при этом способствующие истиранию зубной эмали. Мыло лишено этого недостатка. Так что, несмотря на то что этот способ очистки зубов кажется странным, можно признать его вполне удовлетворяющим требованиям гигиены. А если мы обратимся к старым рецептам зубной пасты, то увидим, что мыло было их обязательным компонентом. Вот один из старинных составов: хорошего нейтрального мыла — 200 г, глицерина — 300 г, тончайшего отмученного мела — 500 г.
2.7. Абразивы — оксиды алюминия Аl2O3 и титана ТiO2, очищающий пенообразователь — лаурилсульфат натрия, антисептик — бензойная кислота С6Н5СООН, фторсодержащий компонент для профилактики кариеса — монофторфосфат натрия Na2PO3F, загуститель — карбоксиметилцеллюлоза, точнее, ее натриевая соль [(С6Н7O2)(OН)3-x(OCH2COONа)x]n.
2.8. Мыла — натриевые соли высших жирных кислот — стеариновой C17H35COONa и пальмитиновой C15H31COONa. Как все растворимые соли, они могут вступать в реакции обмена с кислотами и другими солями. Образующаяся при гидролизе мыла щелочь взаимодействует с кислотами.
2.9. Калиевые соли высших карбоновых кислот — стеариновой и пальмитиновой — по сравнению с натриевыми лучше растворимы в воде и поэтому обладают более сильным моющим действием.
2.10. Мыло плохо мылится в жесткой воде из-за образования нерастворимых солей кальция с высшими карбоновыми кислотами. Лаурилсульфат натрия — соль сложного эфира лаурилового спирта и серной кислоты. В этом моющем средстве, как и в мыле, поверхностно-активный пенообразующий компонент находится в анионной форме, но кальциевые соли этого соединения так же хорошо растворимы, как и натриевые.
В шампунях на основе хлорида лаурилтриметиламмония поверхностно-активный компонент содержится в виде катиона, поэтому их моющее действие практически не зависит от присутствия в воде катионов металлов.
2.11. Оба способа следует отнести к химикобиологическим, так как в том и в другом случае имеют место и химические, и биологические процессы. Более физиологичным является первый способ, так как потовыделение — естественный процесс, способствующий терморегуляции организма и выведению продуктов обмена, и лучше ему не препятствовать.
2.12. Оба этих вещества содержат длинную углеродную цепь.
2.13. Да. Все эти вещества относятся к классу спиртов, одноатомных или многоатомных.
2.14. Над- - приставка в названиях пероксидных соединений. Надборнонатриевая соль, или перборат натрия, — пероксидное соединение и, как все пероксидные соединения, обладает отбеливающими свойствами. Это очень распространенный компонент современных стиральных порошков. Компонент второго порошка — салол, известный лекарственный препарат антибактериального действия. Салол относится к классу сложных эфиров, в щелочной среде, которая создается за счет гидролиза NaHCOg, он разлагается на фенол и салициловую кислоту:

а оба этих вещества обладают сильным антибактериальным действием. Так что первый состав обладает отбеливающими свойствами, а второй — противовоспалительными.
MgCO3 — карбонат магния, СаНРO4 — гидроортофосфат кальция, NaHCO3 — гидрокарбонат натрия.
2.15. Верхний тончайший слой кожи имеет слабокислую реакцию (pH ≈ 5) и за счет этого препятствует проникновению болезнетворных бактерий в более глубокие слои кожи. Частое умывание с мылом изменяет значение pH и приводит к понижению естественной защитной реакции кожи.
2.16. Верхний роговой слой кожи ступней и ладоней состоит преимущественно из кератина, структуру которого обусловливают и водородные связи. Под действием горячей воды и мыла водородные связи разрушаются, верхний слой кожи разбухает, и в него могут проникнуть болезнетворные бактерии и грибки. Ополаскивание ступней слабокислым раствором способствует восстановлению водородных связей и прочности рогового слоя кожи, а также его естественной слабокислой реакции. Кроме того, в кислотной среде большинство болезнетворных бактерий и грибков размножаются менее активно.
2.17. См. ответы к заданиям 2.15, 2.16.
2.18. Зубная эмаль по своему составу относится к классу основных солей, так как содержит гидроксигруппу. Все основные соли легко растворяются в кислотах, даже в таких слабых, как яблочная, лимонная, щавелевая, содержащихся в кислых фруктах. Частичное растворение эмали и делает зубы чувствительными к горячему и холодному. Фторид-ион, содержащийся в зубных пастах, замещает гидроксид-ион в составе зубной эмали:

При этом образуется менее растворимый в кислотах фторапатит кальция, и зубы становятся менее чувствительны к кислотам, правда, на короткое время, поэтому процедуру следует повторять ежедневно.
2.19. Входящий в состав этой пасты гидроксил- апатит за счет физического процесса — адсорбции — может частично замещать природный гидроксил- апатит, разрушающийся при контакте зубов с кислой пищей.
2.20. Мягкий зубной налет состоит из остатков пищи, т. е. органических соединений, а также солей, образованных кальций- и фосфат-ионами, всегда присутствующими в слюне. И йод, и метиленовый синий окрашивают этот налет за счет физического процесса адсорбции, хотя при длительном контакте возможно взаимодействие йода как окислителя с органическими веществами.
2.21. Эффективность зубных паст в профилактике кариеса можно сравнить по содержанию в них активного фтора, т. е. фторид-иона, способного взаимодействовать с зубной эмалью.
Молярная масса SnF2 — 157 г/моль, молярная масса Na2PO3F — 145 г/моль, фтора в SnF2 содержится 38 г, или 24%, в Na2PO3F — 19 г, или 13%. В 100 г зубной пасты «Crest» содержится 0,454 г SnF2, в котором фтора 38%, или
0,172 г.
В 100 г зубной пасты «FM extra dent» содержится 0,8 г Na2PO3F, в котором фтора
0,104 г.
Таким образом, можно сделать вывод, что зубная паста «Crest» будет более эффективна в профилактике кариеса, так как она содержит больше активного фтора. Нельзя не учитывать и антибактериальное действие солей олова.