Химия и повседневная жизнь человека - поурочные разработки
Химик в парикмахерской - Сценарии уроков на основе проблемных заданий
Цели урока. Познакомить учащихся с химическими процессами, лежащими в основе ухода за волосами, их завивки, укладки, окраски, и на базе этих знаний сформировать умения правильно ухаживать за волосами, грамотно пользоваться препаратами для окраски и укладки волос, ориентироваться в их многообразии.
Оборудование. Натуральные образцы или упаковки различных красителей для волос, средств для укладки и химической завивки, плакаты с изображением структуры кератина (приложение 2), различных типов связей в молекуле кератина (см. приложение 1), поперечного сечения волоса (приложение 3) и модификации химических связей в молекуле кератина при химической завивке (приложение 4).
Методические рекомендации по проведению урока
Для выполнения всех заданий урока необходимо наличие определенного объема знаний, не предусмотренных программой: химические свойства кератина, строение волоса, состав и свойства красителей для волос, пероксида водорода, препаратов для химической завивки.
К этому уроку учащиеся должны повторить материал из курса биологии (раздел «Человек и его здоровье» — строение и функции кожи, гигиена кожи, раздел «Общая биология» — химический состав клетки, биополимеры, углеводы, липиды, белки), а также изученные в курсе химии свойства белков и аминокислот.
БЛЕСК И СИЛА ЗДОРОВЫХ ВОЛОС С ТОЧКИ ЗРЕНИЯ ХИМИ.
Этот раздел знакомит с химическим составом волос и кожи, с химическими процессами, которые лежат в основе самого простого ухода за волосами — мытья.
Химические и физические свойства кожи и волос определяются свойствами кератинов. У каждого вида животных кератин имеет свои особенности, поэтому это слово употребляют во множественном числе. Кератины — нерастворимые в воде белки позвоночных, образующие их волосы, шерсть, роговой слой кожи, ногти. Под действием воды кератин кожи, волос, ногтей размягчается, разбухает, а после испарения воды снова затвердевает.
Основная химическая особенность кератина заключается в том, что в его составе до 15% аминокислоты цистеина, содержащей серу. Атомы серы, присутствующие в молекуле кератина, легко образуют связи с атомами серы соседних молекул, возникают дисульфидные мостики, которые соединяют эти макромолекулы.
Кератины относят к фибриллярным белкам. В тканях они существуют в виде длинных нитей — фибрилл, в которых молекулы расположены пучками, направленными в одну сторону. В этих нитях отдельные макромолекулы соединены между собой также химическими связями (см. приложение 1). Спиральные нити закручены в тройную спираль, а 11 спиралей объединены в микрофибриллу, которая составляет центральную часть волоса (см. приложение 2). Микрофибриллы объединяются в макрофибриллы.
Волос имеет неоднородную структуру в поперечном сечении. С точки зрения химии все слои волоса идентичны и состоят из одного химического соединения — кератина. Но в зависимости от степени и типа структурирования кератина существуют слои с различными свойствами: кутикула — поверхностный чешуйчатый слой; волокнистый, или корковый, слой; сердцевина (см. приложение 3).
Кутикула образуется из плоских клеток, перекрывающих друг друга подобно рыбьей чешуе. С точки зрения косметики это наиболее важный слой волоса. Именно от его состояния зависит внешний вид волос: блеск, упругость или, наоборот, тусклость, посеченность.
Состояние кутикулы влияет на процессы окраски волос и их завивки, так как для проникновения препаратов в более глубокие слои волоса, к пигменту, необходимо размягчить кутикулу.
Кератин, из которого состоят «чешуйки», разбухает под действием влаги, особенно если это сопровождается действием тепла и щелочных препаратов (мыла). С точки зрения химии это объясняется разрывом водородных связей в молекулах кератина, которые при высыхании волос восстанавливаются. При набухании пластинок их края встают вертикально, волос теряет блеск. Размягчение кутикулы уменьшает и механическую прочность волоса: во влажном состоянии его легче повредить. Пространство между краями чешуек заполнено кожным жиром, что придает волосам блеск, мягкость, эластичность.
Волокнистый, или корковый, слой образован длинными веретенообразными ороговевшими клетками, расположенными в одном направлении; от него зависят эластичность и упругость волоса. В этом слое содержится пигмент меланин, «ответственный» за цвет волос. Окраска волоса зависит от присутствия в нем меланина и пузырьков воздуха. Светлые волосы содержат рассеянный пигмент, темные — зернистый.
Сердцевина, или мозговой слой, состоит из не полностью ороговевших клеток.
ХИМИЯ НАШЕЙ ПРИЧЕСКИ. ОКРАШИВАНИЕ ВОЛОС
Укладка волос, создание прически — это изменение физических свойств волос. Однако все физические свойства волос обусловлены свойствами химических связей, существующих между белковыми цепями в молекуле кератина.
При окрашивании волос протекают разнообразные химические процессы, и результат окрашивания зависит от нашего умения управлять ими. Но для химика и в этом непростом деле не должно возникать проблем — ведь даже самые сложные и многоступенчатые химические процессы подчиняются известным закономерностям протекания химических реакций.
Все красители для волос можно разделить на пять групп:
1. Отбеливающие (обесцвечивающие) вещества.
2. Химические красители, которые вступают в реакцию с кератином волос. Их называют также окислительными, так как они окрашивают волосы только после окисления пероксидом водорода.
3. Физические красители (подкрашивающие гели и шампуни), которые воздействуют на волосы лишь поверхностно, не вступая в химическую реакцию с кератином.
4. Красители естественного происхождения — хна, басма.
5. Металлсодержащие красители, в состав которых входят соли металлов: висмута, серебра. В настоящее время такие красители практически не используют.
В окрашивании волос исключительную роль играет пероксид водорода Н2O2. Его используют и для осветления волос, и как окислитель в составе окислительных красителей.
Осветляющие красители на основе Н2O2 — самые распространенные среди красителей для волос, и чтобы правильно пользоваться ими, надо знать химические свойства Н2O2.
Чистый пероксид водорода (85—90%)— сиропообразная прозрачная жидкость — взрывоопасен. В продажу как химический реактив поступает 25— 30%-ный раствор пероксида водорода (пергидроль).
В быту чаще пользуются не пергидролем, а твердыми перекисными препаратами. В таблетках гидроперита пероксид водорода содержится в виде комплекса с мочевиной: (NH2)2CO · Н2O2.
Пероксид водорода — очень нестойкое соединение и быстро разлагается по схеме:
![]()
Объяснение окисляющего действия Н2O2 приведено в задании 1.1 урока «Стирка по-научному».
Скорость разложения Н2O2 значительно возрастает с повышением температуры, на свету и в присутствии щелочей, поэтому во все обесцвечивающие растворы добавляют гидрат аммиакаNH3 · Н2O.
Задания
3.1. Почему сухой волос можно растянуть на 20—30%, смоченный холодной водой — на 100%, а смоченный горячей водой — еще больше?
3.2. Врачи-косметологи рекомендуют не расчесывать мокрые волосы или расчесывать их очень осторожно расческой с тупыми зубьями. Как это можно объяснить с позиций химии?
3.3. Почему врачи-косметологи рекомендуют при выпадении волос принимать внутрь очищенную серу?
3.4. Почему для укладки волос с помощью бигуди волосы следует предварительно смочить и почему такая прическа совершенно не выдерживает действия влаги?
3.5. Почему все виды укладки волос обычно выполняют с помощью нагревания?
3.6. Известно, что при химической завивке волос их обрабатывают реактивом, разрушающим дисульфидные мостики, связывающие в определенных местах цепи белковых молекул, а затем с помощью другого реактива восстанавливают эти мостики в других местах белковых цепей (см. приложение 4). В просторечии этот способ завивки женщины так и называют — «химия». Можно ли считать, что все остальные способы укладки волос: бигуди, феном, щипцами — не имеют к химии никакого отношения?
3.7. Наиболее распространенные препараты для химической завивки («Лонда», «Локон») изготавливают на основе тиогликолевой кислоты. Тиогликолевая кислота разрывает дисульфидные мостики в молекулах кератина за счет реакции восстановления:

Освобождающийся водород присоединяется по дисульфидным мостикам кератина, разрывая связь S—S:
![]()
При последующей обработке окислителем (Н2O2) дисульфидные мостики восстанавливаются:
![]()
но уже в других местах белковых цепей и волос приобретает волнистую форму.
Препараты на основе тиогликолевой кислоты являются токсичными, так как выделяют сероводород и меркаптаны (тиоспирты, тиолы), например C2H5SH.
Содержание тиогликолевой кислоты в препаратах для химической завивки изменяется от 3 до 6,5%. Чем больше в составе тиогликолевой кислоты, тем круче получаются завитки и дольше держится «химия».
Для так называемой «легкой химии», когда надо добиться не образования крутых завитков, а общей пышности волос, применяют составы на основе более слабых восстановителей: сульфита натрия Na2SО3, гидросульфита натрия NaHSO3 или сульфида натрия Na2S.
Можно ли считать, что препараты для «легкой химии» практически безвредны?
3.8. Почему при использовании составов для химической завивки волос рекомендуют особенно тщательно защищать ногти, в то время как эти же составы достаточно длительно соприкасаются с кожей головы, не причиняя ей особого вреда?
3.9. До сих пор все разнообразие химических красителей для волос изготавливают на основе химического соединения, формула которого

Впервые это вещество для окраски волос применили в 1922 г. Изобретатель назвал состав на основе этого соединения паракраской. Как вы думаете, что послужило причиной выбора такого названия?
3.10. В состав красителей для волос, помимо n-фенилендиамина, включают обычно следующие вещества:
• 1,3-диоксибензол, который придает красителю светоустойчивость;
• n-аминофенол, который придает волосам серые оттенки;
• n-диоксибензол (гидрохинон) — хорошо закрашивает седые волосы.
Что общего в химической природе всех этих соединений?
3.11. Химические красители для волос на основе n-фенилендиамина называют также окислительными, так как они приобретают окончательный цвет только после окисления, обычно под действием пероксида водорода. В качестве примера (не для запоминания) приводим схему образования красного красителя из смеси n-фенилендиамина и м-толуолдиамина:

После того как вещества по отдельности впитались в волосы, происходит образование цвета благодаря протеканию описанной реакции. Возможно и дальнейшее протекание окисления, при котором молекулы еще больше укрупняются.
Каждая женщина применяет собственную технологию окрашивания волос. Некоторые после нанесения красителя повязывают голову платком, чтобы краска не стекала, или даже надевают резиновую шапочку. Другие, наоборот, постоянно расчесывают волосы редким гребнем.
Кто из них поступает правильно с точки зрения химии?
3.12. В предыдущие годы, когда в продаже не было такого большого выбора красителей для волос, парикмахеры сами готовили красители на основе n-фенилендиамина, добавляя иногда растительные препараты для получения нужных оттенков. В одном из таких рецептов рекомендуют отварить 25 г коры крушины в 500 мл воды и растворить в полученном отваре 25 г парафенилендиамина, 7 г резорцина, 3 г метола, добавить 25 г глицерина.
Каким количеством воды необходимо разбавить этот состав перед употреблением, если известно, что наиболее допустимое содержание n-фенилендиамина в красителях равно 1,3%?
3.13. Если после нанесения красящего шампуня па волосы вы повяжете голову платком или наденете резиновую шапочку, ограничив таким образом доступ воздуха к волосам, повлияет ли это на результат окрашивания?
3.14. По собственному опыту многие знают, что при окрашивании волос красящими шампунями и пенками цвет получается тем интенсивнее, чем более длительное время выдерживали краситель на полосах. Распространяется ли это правило на химические красители?
3.15. До сих пор во всем мире широко применяют красители для волос естественного происхождения — хну (порошок из листьев лавсонии) и басму (порошок из листьев индигоферы). Женщины, которые ими пользуются, знают, что интенсивность и прочность окрашивания зависят от времени выдерживания их на волосах, от температуры (лучше получается при нагревании), а истинный цвет проявляется только через сутки, под действием воздуха. При работе с хной без перчаток сильно окрашиваются ногти.
К каким красителям по принципу действия можно на основании этих фактов отнести хну и басму — к химическим или к физическим?
3.16. Иногда в сельской местности женщины совмещают окрашивание волос хной с мытьем в русской бане. Почему при этом цвет получается более интенсивный?
3.17. При осветлении волос перекисными растворами очень важно регулировать скорость реакции. Если разложение произойдет очень быстро, пигмент не успеет обесцветиться.
Иногда пероксид разлагается до нанесения его на волосы, так как разложение Н2О2 в присутствии щелочей протекает с выделением тепла, которое еще больше ускоряет реакцию.
Регулировать скорость разложения можно только с помощью щелочных агентов, изменяя их количество и способ внесения в рабочий раствор. Обычно на 1мл 30%-ного Н2О2 добавляют одну каплю 3%-ного NH3 · Н2О.
Если вместо NH3 · H2О использовать гидрокарбонат аммония NH4HCО3, то разложение протекает не так бурно.
Как это можно объяснить?
3.18. В технологии осветления волос самое важное — подобрать нужную концентрацию раствора. В настоящее время не существует средства, способного полностью обесцветить пигмент любых волос, а при длительном воздействии концентрированных растворов пероксида волосы могут начать отламываться, не достигнув желаемого цвета.
Общее правило: чем темнее и толще волосы, тем более концентрированным должен быть раствор Н2О2.
Обычно применяют 4—12%-ные растворы.
Рассчитайте, сколько надо взять гидроперита, воды и нашатырного спирта, чтобы приготовить 100 мл рабочего раствора с массовой долей Н2О2 12%.
3.19. Если после нанесения на волосы осветляющего красителя посидеть с непокрытой головой на ярком солнечном свете, повлияет ли это на эффективность окраски?
3.20. Обычно во все осветляющие составы на основе Н2О2, приготовляемые в домашних условиях, рекомендуют добавлять жидкое мыло, чтобы смесь в виде пены лучше держалась на волосах. Но женщины вместо жидкого мыла часто используют любой шампунь, который есть под рукой.
Может ли повлиять на эффективность обесцвечивания качество шампуня (наличие в нем дополнительных веществ — кондиционеров; веществ, регулирующих pH; красителей)?
3.21. Почему при окрашивании волос химическими красителями без перчаток очень сильно окрашиваются ногти, меньше — кожа на ладонях и почти совсем не окрашиваются тыльные стороны ладоней?
3.22. Какой из осветляющих растворов с одинаковой концентрацией Н2О2 будет активнее действовать на волосы: раствор, приготовленный из пергидроля, или раствор, приготовленный из таблеток гидроперита, содержащих, помимо Н2О2, еще и мочевину?
3.23. Почему в парикмахерских перед обесцвечиванием волос их обрабатывают паром в специальном аппарате?
3.24. Женщины, которые постоянно осветляют волосы, знают, что труднее всего бороться с отрастающими у корней темными волосами. Однако если осветление волос производится первый раз, то осветляющий раствор наносят на корни волос в последнюю очередь. Как это можно объяснить, зная химические свойства пероксида водорода?
3.25. Если вы собираетесь окрашивать волосы жидким, а не пастообразным химическим красителем, надо ли предварительно увлажнять волосы или можно наносить краситель на сухие волосы? Будет ли это влиять на эффективность окраски?
3.26. Каким из перечисленных моющих средств лучше всего вымыть волосы перед окрашиванием физическими красителями: обычным шампунем, шампунем-кондиционером с регулируемым pH, жидким калийным мылом, туалетным мылом?
3.27. Вы собираетесь обработать волосы оттеночным шампунем, предварительно вымыв голову. Подруга советует вам просушить волосы после мытья феном, чтобы убрать остатки влаги и таким образом создать более высокую концентрацию красителя на поверхности волоса для интенсивного окрашивания. Поможет ли ее совет?
Ответы и решения
3.1. Физические свойства волос объясняются разнообразием имеющихся в них химических связей. Переплетенные белковые цепи, из которых состоят волосы, удерживаются несколькими типами мостиковых связей, которые схематически изображены в приложении 1.
Наименее прочная из химических связей, определяющих структуру белковых молекул, — водородная связь — взаимодействие между атомом водорода, несущим частично положительный заряд, и атомами с высокой электроотрицательностью: азотом группы —NH— или кислородом группы С=О (см. приложение 1).
Ионные связи — электростатическое взаимодействие между противоположно заряженными участками одной цепи или цепями, несущими противоположные заряды. Белки содержат сотни водородных связей, расположенных вдоль цепей, и эти связи, так же как и ионные, служат для удержания белковой цепи в определенной форме. Под действием воды водородные и ионные связи разрываются, и белковые цепи могут изменять свою форму — растягиваться. После высыхания разорванные связи восстанавливаются, и волос приобретает прежнюю длину и форму.
3.2. Под действием воды происходит разрыв водородных и ионных связей в молекулах кератина, что приводит к разрыхлению наружного слоя волоса и уменьшению его механической прочности. Поэтому при расчесывании мокрых волос их очень легко повредить расческой. После высыхания водородные и ионные связи восстанавливаются, и прочность волос тоже.
3.3. В состав кератина входит значительное количество серы, поэтому нередко дефицит этого элемента в организме и становится причиной плохого роста волос и их выпадения.
3.4. В сухих волосах все типы мостиковых связей достаточно прочно удерживают природную форму волоса. Под действием влаги кератин разбухает и во влажном состоянии молекулы кератина могут растягиваться в полтора раза за счет частичного выпрямления скрученных цепей. Из всех типов мостиковых связей в молекуле кератина вода может разорвать только два: водородные и солевые, особенно при одновременном действии тепла. При этом сначала происходит разрыв мостиков под действием воды, а затем, когда волос, накрученный на бигуди, высыхает, эти мостики образуются в новых местах и волос при этом получает новую форму. Именно такие химические процессы протекают при укладке волос с помощью бигуди или фена. Поскольку дисульфидные мостики, которые оказывают наибольшее влияние на устойчивую форму волоса, по-прежнему сохраняются, то после водной обработки остается состояние постоянного напряжения в волосе, так как сульфидные мостики как бы тянут в одну сторону, а водородные и солевые — в другую. Поэтому водно-тепловая обработка не обеспечивает форму волос на длительное время. Влага воздуха разрывает водородные связи и солевые мостики, а дисульфидные мостики вытягивают волос, и он принимает исходную форму.
3.5. Обратимые взаимодействия между белковыми цепями в молекуле кератина, происходящие при укладке волос, — химические реакции, скорость которых возрастает с повышением температуры.
3.6. Нет, нельзя. С точки зрения химии при любом способе укладки волос происходит модификация химических связей в молекуле кератина, только при химической завивке модифицируют более прочные связи — дисульфидные мостики, а при других способах укладки сначала разрушаются, а затем образуются в других местах менее прочные связи — водородные, ионные.
3.7. Нет, эти препараты нельзя считать безвредными, так как они могут выделять токсичные газы SО2 или H2S. Это происходит прежде всего вследствие гидролиза названных солей в водных растворах:

Кроме того, при взаимодействии этих солей с кератином также выделяются H2S и SО2. Поэтому при работе с препаратами на основе этих солей необходимо соблюдать те же меры предосторожности, что и при работе с тиогликолевой кислотой, т. е. обеспечить хорошую вентиляцию, а еще лучше — вытяжку над рабочим местом.
3.8. Потому что составы для химической завивки разрывают дисульфидные мостики в молекулах кератина, а ногти состоят в основном из кератина, и под действием этих составов их прочность уменьшается.
3.9. Это соединение— 1,4-диаминобензол, или пара-диаминобензол, так как аминогруппы расположены в параположении. Наиболее распространенное его название — n-фенилендиамин, так как радикал —С4Н6— называют фениленом.
3.10. Все эти соединения являются ароматическими углеводородами и содержат в молекуле одну или несколько групп ОН. Они относятся к производным фенола.
3.11. Поскольку процессы окисления играют ведущую роль в окрашивании волос химическими красителями, правильнее поступают те женщины, которые обеспечивают хороший доступ воздуха к волосам в процессе окраски, т. е. постоянно расчесывают их. Кислород воздуха также участвует в процессе окисления, поэтому нередко истинный цвет волос проявляется только через сутки.
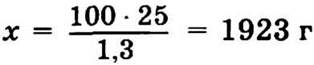
3.12. Масса красящего состава по этому рецепту составляет 500 + 25 + 7 + 3 + 25 = 560 г (массу коры в расчете не учитывают, так как раствор фильтруют). Содержание n-фенилендиамина (25 : 560) · 100% = 4,46%, что более чем в три раза превышает допустимую норму. Надо так разбавить состав, чтобы общее количество n-фенилендиамина (25 г) составило 1,3%.
25 г — 1,3%,
х г — 100%.
— такой должна быть общая масса раствора.
Следовательно, к составу надо добавить 1923 - 560 = 1362 г воды.
3.13. Нет, не повлияет, так как физико-механические красители не вступают в химическое взаимодействие с кератином, а только адсорбируются поверхностным слоем волоса.
3.14. Нет, не распространяется. Шампуни и пенки окрашивают волосы за счет физического процесса — адсорбции красителя поверхностным слоем волос, а процесс адсорбции обычно протекает во времени. Один из примеров — очистка питьевой воды адсорбентами, которая тем эффективнее, чем медленнее проходит вода через адсорбент.
Время протекания химических реакций при окраске химическими красителями зависит от количества и соотношения компонентов красителя. Когда все исходные компоненты прореагируют между собой, а это время обычно указано в инструкции, дальнейшее выдерживание состава на волосах не только бесполезно, но и вредно, так как компоненты красителя могут вызвать раздражение кожи.
3.15. Хна и басма, как все вещества природного происхождения, имеют очень сложный состав. Некоторые их компоненты могут вступать в химическое взаимодействие с кератином, в то время как другие только адсорбируются поверхностью волоса. Поэтому хна и басма действуют одновременно и как химические, и как физические красители.
3.16. Хна действует и как физический, и как химический краситель. Под действием воды и пара в бане разрушаются водородные и солевые мостики между белковыми цепями кератина, разрыхляется верхний слой волоса, и краситель лучше проникает в толщу волоса. При повышенной температуре ускоряется и химическое взаимодействие кератина с компонентами красителя.
3.17. При использовании гидрокарбоната аммония гидроксид-ион накапливается в растворе постепенно, по мере гидролиза соли. При этом образуется также и угольная кислота, которая, как и другие слабые кислоты, в определенной степени замедляет разложение пероксида водорода. Замечено также, что при использовании NH4HCO3 получаются более естественные оттенки волос.
3.18. Гидроперит выпускают в таблетках, чаще всего массой 1,5 г. Для приготовления 100 г 12%-ного раствора необходимо 12 г Н2O2.
В 94 г (NH2)2CO · Н2O2 — 34 г Н2O2,
в х г — 12 г H2O2.

1 табл. — 1,5 г,
х табл. — 33,2 г.

На 100 массовых частей красящего раствора рекомендуют добавить 8 массовых частей жидкого мыла (для вязкости) и 2 массовые части 3%-ного нашатырного спирта. Воды потребуется (100 - 33,2 – 8 - 2) = 56,8 г.
Конечно, объем такого раствора будет меньше 100 мл. Чтобы узнать точный объем, надо знать, как изменится объем жидкости после растворения 22 таблеток гидроперита.
Опытные парикмахеры для расчетов принимают, что при растворении одной таблетки гидроперита в 1 мл воды получается 1 мл 30%-ного раствора Н2O2.
3.19. Зная свойство Н2O2 ускоренно разлагаться под действием тепла и света, можно предположить, что при таком способе осветления скорость разложения Н2O2 будет слишком высокой и пигмент волос не успеет обесцветиться.
3.20. Да, может повлиять. Все добавки к шампуням — органические вещества, которые могут вступать во взаимодействие с Н2O2. Поэтому часть реактива расходуется на взаимодействие с добавками и эффективность обесцвечивания будет ниже.
3.21. Состав химических красителей обеспечивает их взаимодействие с кератином — белком, из которого состоит роговое вещество волос, ногтей и поверхностного слоя кожи на ладонях и подошвах. Поэтому именно эти участки и окрашиваются наиболее сильно, а кожа тыльной стороны ладоней состоит из другого белка — коллагена, который значительно хуже взаимодействует с красителями.
3.22. Мочевина обладает кератолитическими свойствами, т. е. является катализатором, способствующим разложению кератина. Следовательно, обесцвечивание гидроперитом более эффективно, так как мочевина способствует разрыхлению наружного слоя полоса и лучшему проникновению пероксида к пигментам волоса.
3.23. Под действием пара разрываются водородные связи между молекулами кератина, за счет этого разрыхляется наружный слой волоса и препарат лучше проникает к пигментам волоса.
3.24. Скорость разложения Н2О2 возрастает с повышением температуры, поэтому непосредственно на коже головы он будет разлагаться намного быстрее, чем на концах волос, и при первичном обесцвечивании этот участок волос может получиться значительно светлее, чем остальные.
3.25. На первый взгляд жидкий краситель лучше наносить на сухие волосы, чтобы он не стекал, но при смачивании волос горячей водой разрушаются химические связи между молекулами кератина, его внешний слой разрыхляется, а это облегчает доступ красителя к внутренним слоям волоса. Поэтому волосы предварительно лучше увлажнить горячей водой.
3.26. Действие физических красителей — обычно это подкрашивающие шампуни и пенки — основано на их адсорбции поверхностным слоем волоса. Поэтому надо добиться максимального разрыхления этого слоя. Для этого необходимо разрушение водородных связей между молекулами кератина в поверхностном слое волос, лучше всего это происходит под действием щелочных моющих средств, в данном случае — жидкого калийного мыла. Шампуни с регулируемым pH наоборот, защищают верхний слой волоса от разрыхления.
3.27. Нет, не поможет. При высушивании волос феном они полностью теряют влагу и верхний слой сильно затвердевает за счет образования дополнительных водородных связей в молекуле кератина. Это помешает проникновению красителя к верхний слой волос и его адсорбции. Лучше просто высушить волосы на воздухе. Поскольку воздух всегда имеет определенную влажность за счет содержания паров воды (в помещении нормальной влажностью воздуха считается 50—70%), волосы, высушенные на воздухе, имеют более рыхлый верхний слой, что в данном случае предпочтительнее.