Информатика и ИКТ подготовка к ЕГЭ
Вариант № 3 - Учебно-тренировочные тесты - Учебно-тренировочные тесты
Часть 1
А1. Сколько значащих цифр в двоичной записи десятичного числа 21510?
1) .
2) .
3) .
4) 9
А2. Между населёнными пунктами А, В, С, D, Е и F построены дороги, протяжённость которых приведена в таблице. (Отсутствие числа в таблице означает, что прямой дороги между соответствующими пунктами нет.)
|
|
А |
В |
С |
D |
Е |
F |
|
А |
- |
6 |
- |
8 |
4 |
- |
|
В |
6 |
- |
- |
- |
- |
- |
|
С |
- |
- |
- |
- |
4 |
2 |
|
D |
8 |
- |
- |
- |
8 |
3 |
|
Е |
4 |
- |
4 |
8 |
- |
- |
|
F |
- |
- |
2 |
3 |
- |
- |
Определите длину кратчайшего пути между пунктами А и F (при условии, что передвигаться можно только по построенным дорогам).
1) 8 2) 9 3) 10 4) 11
А3. Символом F обозначено некоторое логическое выражение от трех аргументов: Ху У, Z. Дан фрагмент таблицы истинности выражения F:
|
X |
Y |
Z |
F |
|
0 |
1 |
0 |
1 |
|
1 |
0 |
1 |
0 |
|
1 |
1 |
1 |
1 |
Каким выражением может быть F?
![]()
А4. Для групповых операций с файлами используются маски имён файлов. Маска представляет собой последовательность букв, цифр и прочих допустимых в именах файлов символов, в которых также могут встречаться следующие символы: символ «?» (вопросительный знак) означает ровно один произвольный символ; символ «*» (звёздочка) означает любую последовательность символов произвольной длины, в том числе «*» может задавать и пустую последовательность.
В каталоге находится шесть файлов:
bread.rar
rarpost.de.
nomer.exe
baiker.dl.
breake.zi.
bounce.dll
Определите, сколько по маске b*e*.d?? будет отобрано файлов.
1) .
2) .
3) .
4) 4
А5. Автомат получает на вход два трехзначных восьмеричных числа. По этим числам строится новое восьмеричное число по следующим правилам.
1. Вычисляются три восьмеричных числа — сумма старших разрядов, средних разрядов и младших разрядов этих чисел.
2. Полученные три восьмеричных числа записываются друг за другом в порядке возрастания (без разделителей).
Пример. Исходные числа: 217, 327. Поразрядные суммы: 5, 3, 16. Результат: 3516.
Определите, какое из следующих чисел может быть результатом работы автомата.
1) 413.
2) 5091.
3) 2101.
4) 31115
А6. В фрагменте базы данных представлены сведения о родственных отношениях. Определите на основании приведенных данных количество внучек у отца Кузменко А. И.
|
ID |
Фамилия_И.О. |
Пол |
|
ID_Родителя |
ID_Ребенка |
|
3. |
Иванов И. И. |
м |
35 |
17 |
|
|
19 |
Кузменко А. И. |
ж |
19 |
53 |
|
|
12 |
Белых Л. А. |
ж |
93 |
64 |
|
|
75 |
Дергач М. А. |
ж |
35 |
19 |
|
|
93 |
Иванов А. И. |
м |
17 |
75 |
|
|
53 |
Кузменко А. А. |
м |
19 |
12 |
|
|
17 |
Петрова Т. И. |
ж |
35 |
93 |
|
|
64 |
Сидорова М. А. |
ж |
|
||
1) .
2) .
3) .
4) 4
А7. Дан фрагмент электронной таблицы:
|
|
А |
В |
С |
D |
|
1 |
3 |
8 |
|
|
|
2 |
4 |
5 |
|
|
|
3 |
6 |
7 |
=А$1+$В3 |
|
Чему станет равным значение ячейки D1, если в нее скопировать формулу из ячейки С3? Знак $ обозначает абсолютную адресацию.
1) .
2) 1.
3) 1.
4) 16
А8. Производится двухканальная (стерео)звукозапись с частотой дискретизации 32 кГц и 16-битным разрешением, результаты записываются в файл, сжатие данных не используется. Размер файла с записью не может превышать 5 Мбайт. Какое из приведенных ниже чисел наиболее близко к максимально возможной продолжительности записи, выраженной в секундах?
1) 4.
2) 8.
3) 8.
4) 819
А9. Для кодирования некоторой последовательности, состоящей из букв А, Б, В, Г и Д, решили использовать неравномерный двоичный код, позволяющий однозначно декодировать двоичную последовательность. Вот этот код: А - 11, Б — 10, В — 01, Г - 001, Д — 0001. Можно ли сократить для одной из букв длину кодового слова так, чтобы код по-прежнему можно было декодировать однозначно? Коды остальных букв меняться не должны. Выберите правильный вариант ответа.
1) для буквы Г — 0.
2) это невозможно
3) для буквы Д — 00.
4) для буквы А — 1
А10. Для какого из приведённых чисел X истинно логическое условие ¬((X < 25) → (X > 21))?
1) 2.
2) 2.
3) 2.
4) 24
А11. Все сотрудники фирмы для работы в локальной сети используют пароли. Длина пароля ровно 8 символов. В качестве символов используются девять цифр и 5 букв латинского алфавита, все буквы используются в двух начертаниях: как строчные, так и заглавные (с учетом регистра букв). Под хранение каждого такого пароля на компьютере отводится минимально возможное и одинаковое целое количество бит, при этом используется посимвольное кодирование и все символы кодируются одинаковым и минимально возможным количеством битов. Сколько паролей доступно для использования, если для их хранения достаточно 15 Кб?
1) 2457.
2) 307.
3) 384.
4) 30720
А12. Значения двумерного массива А размером 9 x 9 задаются с помощью вложенного оператора цикла в представленном фрагменте программы (записанного ниже на разных языках программирования):
|
Бейсик |
Алгоритмический язык |
|
|
|
|
Си |
Паскаль |
|
|
|
Сколько элементов массива А примут четное значение?
1) 4.
2) 4.
3) 4.
4) 36
А13. Система команд исполнителя РОБОТ, «живущего» в прямоугольном лабиринте на клетчатой плоскости: вверх, вниз, влево и вправо. При выполнении любой из этих команд РОБОТ перемещается на одну клетку соответственно: вверх, вниз, влево, вправо. Четыре команды проверяют истинность условия отсутствия стены у каждой стороны той клетки, где находится РОБОТ:
слева свободно, справа свободно, сверху свободно, снизу свободно.
Цикл пока <условие> команда выполняется, пока условие истинно, иначе происходит переход на следующую строку. Если РОБОТ начнёт движение в сторону стены, он разрушится, и программа прервётся.
РОБОТ выполняет программу:
Начало
пока <сверху свободно> вправо
пока <справа свободно> вниз
пока <снизу свободно> влево
пока <слева свободно> вверх
Конец
Сколько клеток приведённого лабиринта (см. рис. 19) соответствуют следующему требованию: выполнив предложенную программу, РОБОТ уцелеет и остановится в той же клетке, с которой он начал движение?

Рис. 9.
1) .
2) .
3) .
4) 4
Часть 2
В1. Автоматическое устройство осуществило перекодировку информационного сообщения на русском языке, первоначально записанного в 8- битной кодировке КОИ-8, в 2-байтную кодировку Unicode. В результате объём сообщения увеличился на 680 бит. Сколько символов в этом сообщении? В ответе запишите только число.
В2. У исполнителя имеется две команды:
1) Умножь на 3
2) Вычти 7
Первая команда увеличивает число на экране в 3 раза, вторая — вычитает из него 7.
Запишите порядок команд в программе преобразования числа 5 в число 17, содержащей не более 4-х команд, указывая лишь номера команд. (Например 211 — это программа: вычти 7, умножь на 3, умножь на 3, которая преобразует число 8 в число 9.)
В3. Определите, что будет напечатано в результате выполнения программы, записанной ниже на различных языках программирования.
|
Бейсик |
Алгоритмический язык |
|
|
|
|
Паскаль |
Си |
|
|
|
В4. Все 4-буквенные слова, составленные из букв Л, М, С, Т, записаны в алфавитном порядке и пронумерованы. Вот начало списка:
1. ЛЛЛЛ
2. ЛЛЛМ
3. ЛЛЛ.
4. ЛЛЛТ
5. ЛЛМЛ
...
Запишите слово, которое стоит под номером 156.
В5. Дан фрагмент электронной таблицы в режиме отображения формул.
|
|
A |
В |
С |
|
1 |
|
4 |
7 |
|
2 |
= (B1 + C1 + 4)*(C1 - 1) |
= (B1 + 1)*C1*B1 - 5 |
= A1*9 |
Какое число должно быть записано в ячейке А1, чтобы построенная после выполнения вычислений диаграмма по значениям диапазона ячеек А2 : С2 соответствовала рисунку 10?

Рис. 10.
В6. Определите значение переменной с после выполнения следующего фрагмента программы, записанного ниже на разных языках программирования.
|
Паскаль |
Алгоритмический язык |
|
|
|
|
Бейсик |
Си |
|
|
|
В7. Ниже на 4-х языках записан алгоритм. Получив на вход число х, этот алгоритм печатает два числа: а и b. Укажите наименьшее из таких чисел х, при вводе которого алгоритм печатает сначала 3, а потом 10.
|
Бейсик |
Паскаль |
|
|
|
|
Алгоритмический язык |
Си |
|
|
|
В8. Запись числа 7810 в системе счисления с основанием N оканчивается на 2 и содержит 4 цифры. Чему равно основание системы счисления N? В9. На рисунке 11 изображена схема дорог, связывающих города А, Б, В, Г, Д, Е, Ж, 3, И, К. По каждой дороге можно двигаться только в одном направлении, указанном стрелкой. Сколько существует различных путей из города А в город К?

Рис. 11.
В10. Документы передают с одного компьютера на другой следующим способом: сжать архиватором, передать архив по каналу связи, распаковать. Известны характеристики:
— средняя скорость передачи данных по каналу связи составляет 223 бит в секунду;
— объем сжатого архиватором текстового документа равен 40% от исходного;
— объем сжатого архиватором графического документа равен 70% от исходного;
— время, требуемое на сжатие документа, —10 секунд, а на распаковку — 1 секунда.
Передаются текстовый документ А объемом 60 Мб и графический документ Б объемом 40 Мб. В ответе напишите букву А, если документ А передадут быстрее, или Б, если быстрее передадут документ Б. Сразу после буквы напишите количество секунд, разница в доставке. Так, например, если документ Б дойдет быстрее документа А на 23 секунды, в ответе нужно написать Б23.
В11. В терминологии сетей TCP/IP маской сети называется двоичное число, определяющее, какая часть IP-адреса узла сети относится к адресу сети, а какая — к адресу самого узла в этой сети. Обычно маска записывается по тем же правилам, что и IP-адрес. Адрес сети получается в результате применения поразрядной конъюнкции к заданному IР-адресу узла и маске. По заданным IP-адресу узла и маске определите адрес сети.
IP—адрес узла: 219.22.8.16
Маска: 255.255.224.0
При записи ответа выберете из приведённых в таблице чисел четыре элемента IP-адреса и запишите в нужном порядке соответствующие им буквы. Точки писать не нужно.
|
А |
В |
С |
D |
Е |
F |
G |
Н |
|
255 |
8 |
16 |
216 |
22 |
219 |
224 |
0 |
Пример. Пусть искомый IР-адрес 168.53. 224,0, и дана таблица
|
А |
В |
С |
D |
Е |
F |
G |
Н |
|
128 |
168 |
255 |
15 |
53 |
0 |
17 |
224 |
В этом случае правильный ответ будет записан в виде: BEHF.
В12. В языке запросов поискового сервера для обозначения логической операции «ИЛИ» в запросе используется символ |, а для логической операции «И» — символ &. В таблице приведены запросы и количество страниц, найденных поисковым сервером по этим запросам в некотором сегменте Интернета:
|
Запрос |
Найдено страниц (в тысячах) |
|
Канцлер | Президент |
5 500 |
|
Канцлер |
2 300 |
|
Президент |
3 600 |
Какое количество страниц (в тысячах) будет найдено по запросу «Канцлер & Президент»? Считается, что все запросы выполнялись практически одновременно, так что набор страниц, содержащих все искомые слова, не изменялся за время выполнения запросов.
В13. Исполнитель Стрелка живёт на циферблате, имеющем 60 делений, пронумерованных от 0 до 59. Начальное положение — точка 0.
Система команд исполнителя:
По часовой 3 (Стрелка перемещается по часовой стрелке на 3 деления),
Против часовой 4 (Стрелка перемещается против часовой стрелки на 4 деления).
Программа для Стрелки — это последовательность команд. Определите, количество различных числовых значений, в которых может остановиться Стрелка после выполнения программы, которая содержит ровно 5 команд.
В14. Определите, какое число будет напечатано в результате выполнения следующего алгоритма (для Вашего удобства алгоритм представлен на четырёх языках):
|
Бейсик |
Паскаль |
|
|
|
|
Алгоритмический язык |
Си |
|
|
|
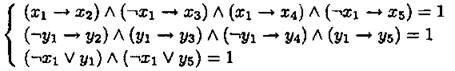
В15. Сколько существует различных наборов значений логических переменных x1, х2, х3, х4, х5, y1, y2, y3, y4, y5, которые удовлетворяют всем перечисленным ниже условиям?

В ответе не нужно перечислять все различные наборы значений x1, х2, х3, х4, х5, y1, y2, y3, y4, y5, при которых выполнена данная система равенств. В качестве ответа нужно указать количество таких наборов.
Часть 3
С1. Требовалось написать программу, при выполнении которой с клавиатуры считываются координаты точки на плоскости (х, у — действительные числа) и проверяется принадлежность этой точки заштрихованной области, включая её границы (см. рис. 12).

Рис. 12.
Программист торопился и написал программу неправильно.
|
Бейсик |
Паскаль |
|
|
|
|
Алгоритмический язык |
Си |
|
|
|
Последовательно выполните следующее.
1. Перерисуйте и заполните таблицу, которая показывает, как работает программа при аргументах, принадлежащих различным областям (A, B, С, D, Е, F, G и H).
Считать, что все области, кроме заштрихованных, не содержат точек своих границ (см. рис. 13).

Рис. 13.
В столбцах условий укажите «да», если условие выполнится, «нет», если условие не выполнится, «—» (прочерк), если условие не будет проверяться, «не изв.», если программа ведёт себя по-разному для разных значений, принадлежащих данной области. В столбце «Программа выведет» укажите, что программа выведет на экран. Если программа ничего не выводит, напишите «—» (прочерк). Если для разных значений, принадлежащих области, будут выведены разные тексты, напишите «не изв.». В последнем столбце укажите «да» или «нет».
2. Укажите, как нужно доработать программу, чтобы не было случаев её неправильной работы. (Это можно сделать несколькими способами, достаточно указать любой способ доработки исходной программы.)
|
Область |
Усл. 1 у ≤ 3 - х2 |
Усл. 2 х > 0 |
Усл. 3 у ≥ х * х |
Программа выведет |
Область обрабатывается верно |
|
А |
|
|
|
|
|
|
В |
|
|
|
|
|
|
С |
|
|
|
|
|
|
D |
|
|
|
|
|
|
Е |
|
|
|
|
|
|
F |
|
|
|
|
|
|
G |
|
|
|
|
|
|
Н |
|
|
|
|
|
С2. Дан массив из 30 элементов. Каждый элемент может принимать целочисленные значения от 0 до 1000. Опишите на русском языке или на одном из языков программирования алгоритм, который позволит найти сумму двузначных элементов массива, сумма цифр которых меньше 10. Гарантируется, что в исходном массиве есть хотя бы один такой элемент. Исходные данные объявлены так, как показано ниже. Запрещается использовать переменные, не описанные ниже, но разрешается не использовать часть из них. Исходные данные всегда подобраны так, что результат суммы не выходит за пределы объявленных типов данных.
|
Паскаль |
Бейсик |
|
|
|
|
СИ |
Естественный язык |
|
|
Объявляем массив А из 30 элементов. Объявляем целочисленные переменные I, К и SUM. В цикле от 1 до 30 вводим элементы массива А с 1-го по 30-й. |
В качестве ответа необходимо привести фрагмент программы (или описание алгоритма на естественном языке), который должен находиться на месте многоточия. Вы можете записать решение также на другом языке программирования (укажите название и используемую версию языка программирования, например, Borland Pascal 7.0) или в виде блок-схемы. В этом случае вы должны использовать переменные, аналогичные переменным, используемым в алгоритме, записанном на естественном языке, с учётом синтаксиса и особенностей используемого вами языка программирования.
С3. У исполнителя Удвоитель две команды, которым присвоены номера:
1. прибавь 2,
2. умножь на 5.
Первая из них увеличивает данное число на 2, вторая — увеличивает его в 5 раз. Программа для исполнителя Удвоитель — это последовательность команд.
Определите количество программ, которые число 1 преобразуют в число 37? Ответ обоснуйте.
С4. Музыкальная программа проводит конкурс на лучшего исполнителя шансона с открытым sms-голосованием. Всего в конкурсе участвуют 25 исполнителей. Необходимо написать эффективную, в том числе по используемой памяти, программу, которая после окончания sms-голосования будет обрабатывать результаты. Следует учитывать, что количество пришедших сообщений может быть очень велико.
Перед текстом программы кратко опишите используемый алгоритм решения задачи.
На вход программе в первой строке подаётся количество пришедших запросов N. В каждой из последующих N строк записаны данные о выбранном исполнителе в виде текстовой строки. Длина строки не превосходит 100 символов, наименование может содержать буквы, цифры, пробелы и знаки препинания.
Программа должна вывести список из трёх наиболее популярных исполнителей, с указанием количества отданных за каждого из них голосов. Если по результатам голосования упоминаются менее трёх исполнителей, то выведите информацию по каждому из них. Если несколько исполнителей имеют такое же количество голосов, что и исполнитель занявший третье место, то их тоже нужно вывести.
Пример входных данных.
8
Афина
Григории Лепс
Владимир Асмолов
Андрей Бандера
Григорий Лепс
Андрей Бандера
Владимир Асмолов
Владимир Асмолов
Пример выходных данных для входных данных, записанных выше.
Владимир Асмолов 3
Григорий Лепс 2
Андрей Бандера 2
Normal">-7
-
-
-
16
В
7
-
4
-
3
-
С
-
4
-
8
-
4
D
-
-
8
-
-
2
Е
-
3
-
-
-
9
F
16
-
4
2
9
-
Определите длину кратчайшего пути между пунктами А и F (при условии, что передвигаться можно только по построенным дорогам).
1) 1.
2) 1.
3) 1.
4) 19
А3. Дан фрагмент таблицы истинности выражения F:
|
х1 |
х2 |
х3 |
х4 |
х5 |
х6 |
F |
|
1 |
0 |
1 |
1 |
0 |
1 |
0 |
|
1 |
1 |
1 |
0 |
0 |
1 |
1 |
|
1 |
1 |
1 |
0 |
0 |
0 |
0 |
Каким выражением может быть F?

А4. Для групповых операций с файлами используются маски имён файлов. Маска представляет собой последовательность букв, цифр и прочих допустимых в именах файлов символов, в которых также могут встречаться следующие символы: символ «?» (вопросительный знак) означает ровно один произвольный символ; символ «*» (звёздочка) означает любую последовательность символов произвольной длины, в том числе «*» может задавать и пустую последовательность.
В каталоге находятся шесть файлов:
Plenty.xls
pleasure.blg
plain.pl
aeroplane.dll
stepladder.wlms
anyplace.nls
Определите, по какой из масок из них будет отобрана указанная группа файлов:
pleasure.blg
aeroplane.dll
anyplace.nls
1) *l*e* *l.
2) *1*е.?l.
3) ?le*.*l.
4) *l??е*.?l?
А5. Автомат получает на вход два трёхзначных восьмеричных числа. В этих числах все цифры не превосходят цифру 5 (если в числе есть цифра больше 5, автомат отказывается работать). По этим числам строится новое число по следующим правилам.
1. Вычисляется три числа — суммы старших, средних и младших разрядов полученных чисел.
2. Полученные три восьмеричных числа записываются друг за другом в порядке возрастания (без разделителей).
Пример. Исходные трёхзначные числа: 534, 423. Поразрядные суммы: 11, 5, 7. Результат: 5711.
Определите, какое из следующих чисел может быть результатом работы автомата.
1) 118.
2) 2111.
3) 161.
4) 957
А6. Ниже представлены две таблицы из базы данных. Каждая строка таблицы 2 содержит информацию о ребёнке и об одном из его родителей. Информация представлена значением поляID в соответствующей строке таблицы I. Определите на основании приведённых данных фамилию и инициалы внука Михайленко О. И.
|
ID |
Фамилия_И.О. |
Пол |
|
ID_Родителя |
ID_Ребенка |
|
16 |
Павик Л. O. |
м |
|
35 |
64 |
|
23 |
Бабенчук А. В. |
м |
|
49 |
86 |
|
35 |
Бабенко Р. С. |
м |
|
49 |
16 |
|
49 |
Михайленко 0. И. |
ж |
|
92 |
96 |
|
59 |
Жаврук O. В. |
ж |
|
92 |
16 |
|
64 |
Жаврук В. Г. |
ж |
|
64 |
59 |
|
72 |
Михайленко Д. И. |
м |
|
64 |
23 |
|
86 |
Михайленко Е. O. |
м |
|
86 |
59 |
|
92 |
Боброва Д. Я. |
ж |
|
86 |
23 |
|
|
|
|
|
|
|
1) ПавикЛ. О.
2) Бабенчук А. В.
3) Михайленко Д. И.
4) Михайленко Е. О.
А7. Дан фрагмент электронной таблицы
|
|
А |
В |
С |
D |
|
1 |
2 |
3 |
5 |
|
|
2 |
4 |
1 |
= 2 * $А2 - В$3 |
|
|
3 |
6 |
5 |
— $А$2 + ВЗ |
|
Чему станет равным значение ячейки D2, после того, как ячейку С3 скопируют в ячейку D2?
1) -.
2) .
3) .
4) 7
А8. Производится двухканальная (стерео)звукозапись. Значение сигнала фиксируется 36 000 раз в секунду, для записи каждого значения используется 24 бита. Запись длится 4 минуты, её результаты записываются в файл, сжатие данных не производится. Какая из приведённых ниже величин наиболее близка к размеру полученного файла?
1) 16 Мбайт
2) 25 Мбайт
3) 32 Мбайт
4) 50 Мбайт
А9. Для кодирования некоторой последовательности, состоящей из букв А, Б, В, Г и Д, используется неравномерный двоичный код, позволяющий однозначно декодировать полученную двоичную последовательность. Вот этот код: А - 01, Б — 10, В - 110, Г - 001, Д - 111. Можно ли сократить для одной из букв длину кодового слова так, чтобы код по-прежнему можно было декодировать однозначно? Коды остальных букв меняться не должны. Выберите правильный вариант ответа.
1) это невозможн.
2) для буквы В — 11
3) для буквы Г — 0.
4) для буквы Д — 11
А10. Для какого из приведённых чисел X ложно логическое условие (Х кратно 3) → (X < 9)?
1) 1.
2) .
3) .
4) 4
A11. В некоторой стране автомобильный номер длиной 5 символов составляют из заглавных букв (всего используется 24 различных буквы) и десятичных цифр, записанных в любом порядке. Каждый такой номер в компьютерной программе записывается минимально возможным и одинаковым целым количеством байт (при этом используют посимвольное кодирование: каждый символ кодируется одинаковым и минимально возможным количеством бит). Определите объём памяти, отводимый этой программой для записи 40 номеров.
1) 40 байт
2) 120 байт
3) 160 байт
4) 200 байт
А12. В программе описан одномерный целочисленный массив А с индексами от 0 до 12. Ниже представлен фрагмент одной и той же программы, записанный на разных языках программирования, в котором значения элементов сначала задаются, а затем меняются.
|
Паскаль |
Си |
|
|
|
|
Бейсик |
Алгоритмический язык |
|
|
|
Как изменятся элементы этого массива после выполнения фрагмента программы?
1) все элементы, кроме первого, будут сдвинуты на один элемент влево
2) все элементы окажутся равны —1
3) все элементы, кроме последнего, будут сдвинуты на один элемент вправо
4) значение каждого элемента уменьшится на 1
А13. Система команд исполнителя РОБОТ, «живущего» в прямоугольном лабиринте на клетчатой плоскости включает 4 команды-приказа и 4 команды проверки условия.
Команды-приказы:
вверх ↑ вниз ↓ влево ← и вправо →
При выполнении любой из этих команд РОБОТ перемещается на одну клетку соответственно: вверх, вниз, влево, вправо.
Если РОБОТ начнёт движение в сторону находящейся рядом с ним стены, то он разрушится, и программа прервётся.
Другие четыре команды проверяют истинность условия отсутствия стены у каждой стороны той клетки, где находится РОБОТ:
сверху свободно, снизу свободно, слева свободно и справа свободно.

выполняется, пока условие истинно, иначе происходит переход на выполнение следующей команды.
В конструкции

выполняется команда1 (если условие истинно) или команда2 (если условие ложно).
Сколько клеток лабиринта соответствуют требованию, что, начав в ней движение и выполнив предложенную программу, РОБОТ уцелеет и остановится в закрашенной клетке (см. рис. 5)?


Рис. 5.
1) .
2) .
3) .
4) 10
Часть 2
В1. Автоматическое устройство осуществило перекодировку информационного сообщения на русском языке длиной в 176 символов, первоначально записанного в 1-байтной кодировкеASCII, в 16-битную кодировку Unicode. На сколько бит увеличился объём сообщения? В ответе запишите только число.
В2. У исполнителя Калькулятор имеется две команды:
1) прибавь 1
2) умножь на 2
Выполняя первую из них, Калькулятор прибавляет к числу на экране 1, а выполняя вторую, удваивает его. Запишите порядок команд в программе получения из 3 числа 25, содержащей не более 5 команд, указывая лишь номера команд.
(Например 11112 — это программа: прибавь 1, прибавь 1, прибавь 1, прибавь 1, умножь на 2, которая преобразует число 1 в число 10.)
В3. Определите, что будет напечатано в результате выполнения программы, записанной ниже на различных языках программирования.
|
Бейсик |
Алгоритмический язык |
|
|
|
|
Паскаль |
Си |
|
|
|
В4. Все 4-буквенные слова, составленные из букв А, Г, И, Н, записаны в алфавитном порядке. Вот начало списка: 1. АААА 2. АААГ 3. АААИ 4. АААН 5. ААГА ... Запишите слово, которое стоит на 234-м месте от начала списка.
В5. Дан фрагмент электронной таблицы в режиме отображения формул.
|
|
А |
В |
С |
|
1 |
3 |
|
4 |
|
2 |
= А1*(С1-1) + 3 |
= С1 + 2*(А1 + 1) |
= 2*(В1 + А1 + 1) |
Какое целое число должно быть записано в ячейке В1, чтобы построенная после выполнения вычислений диаграмма по значениям диапазона ячеек А2 : С2 соответствовала рисунку 6?

Рис. 6.
Известно, что все значения диапазона, по которым построена диаграмма, имеют один и тот же знак.
В6. Определите значение переменной с после выполнения следующего фрагмента программы, записанного ниже на различных языках программирования. Ответ запишите в виде целого числа.
|
Паскаль |
Алгоритмический язык |
|
|
|
|
Бейсик |
Си |
|
|
|
В7. Ниже на 4-х языках записан алгоритм. Получив на вход число х, этот алгоритм печатает два числа: а и b. Укажите наименьшее из таких чисел х, при вводе которого алгоритм печатает сначала 3, а потом 16.
|
Бейсик |
Паскаль |
|
|
|
|
Алгоритмический язык |
Си |
|
|
|
В8. В системе счисления с некоторым основанием десятичное число 45 записывается в виде 63. Укажите это основание.
В9. На рисунке 7 изображена схема дорог, связывающих города А, Б, В, Г, Д, Е, Ж, И, К, Л. По каждой дороге можно двигаться только в одном направлении, указанном стрелкой. Сколько существует различных путей из города А в город Л?

Рис. 7.
В10. Документ объёмом 60 Мбайт можно передать с одного компьютера на другой двумя способами:
А. Сжать архиватором, передать архив по каналу связи, распаковать.
Б. Передать по каналу связи без использования архиватора.
Какой способ быстрее и на сколько бит, если:
— средняя скорость передачи данных по каналу связи составляет 220 бит в секунду;
— время, требуемое на сжатие документа, составляет 16 секунд, а на распаковку — 4 секунды;
— объём сжатого архиватором документа равен 50% исходного?
В ответе напишите букву А, если способ А быстрее, или Б, если быстрее способ Б. Сразу после буквы напишите число, обозначающее, на сколько секунд один способ быстрее другого.
Так, например, если способ Б быстрее способа А на 14 секунд, в ответе нужно написать Б14.
В11. В терминологии сетей TCP/IP маской сети называется двоичное число, определяющее, какая часть IP-адреса узла сети относится к адресу сети, а какая — к адресу самого узла в этой сети. Обычно маска записывается по тем же правилам, что и IP-адрес. Адрес сети получается в результате применения поразрядной конъюнкции к заданному IР-адресу узла и маске. По заданным IP-адресу узла и маске определите адрес сети:
IP—адрес узла: 176.154.144.89
Маска: 255.255.136.0
При записи ответа выберите из приведённых в таблице чисел четыре элемента IP-адреса и запишите в нужном порядке соответствующие им буквы. Точки писать не нужно.
|
А |
В |
С |
D |
Е |
F |
G |
Н |
|
144 |
176 |
255 |
136 |
0 |
128 |
89 |
154 |
Пример. Пусть искомый IР-адрес 192.168.128.0, и дана таблица
|
A |
В |
С |
D |
Е |
F |
G |
H |
|
128 |
168 |
255 |
8 |
127 |
0 |
17 |
192 |
В этом случае правильный ответ будет записан в виде: HBAF.
В12. В языке запросов поискового сервера для обозначения логической операции «ИЛИ» в запросе используется символ |, а для логической операции «И» — символ &. В таблице приведены запросы и количество страниц, найденных поисковым сервером по этим запросам в некотором сегменте Интернета:
|
Запрос |
Найдено страниц (в тысячах) |
|
Игры |
8 520 |
|
Программирование |
6 860 |
|
Игры | Программирование |
10 250 |
Какое количество страниц (в тысячах) будет найдено по запросу «Игры & Программирование»? Считается, что все запросы выполнялись практически одновременно, так что набор страниц, содержащих все искомые слова, не изменялся за время выполнения запросов.
В13. Исполнитель Белка живёт на числовой оси.
Система команд исполнителя:
Вперед 8 (Белка прыгает вперед на 8 единиц),
Назад 3 (Белка прыгает назад на 3 единицы).
Программа для Белки — это последовательность команд. Начальное положение — число 5. Определите, количество различных числовых значений, в которых может остановиться Белка после выполнения различных программ, которые содержат ровно 15 команд.
В14. Определите, какое число будет напечатано в результате выполнения следующего алгоритма (для Вашего удобства алгоритм представлен на четырёх языках):
|
Бейсик |
Паскаль |
|
|
|
|
Алгоритмический язык |
Си |
|
|
|
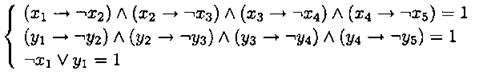
В15. Сколько существует различных наборов значений логических переменных x1, x2, х3, x4, x5, y1, y2, y3, y4, y5, которые удовлетворяют всем перечисленным ниже условиям?

В ответе не нужно перечислять все различные наборы значений x1, x2, х3, x4, x5, y1, y2, y3, y4, y5, при которых выполнена данная система равенств. В качестве ответа нужно указать количество таких наборов.
Часть 3
С1. Требовалось написать программу, при выполнении которой с клавиатуры считываются координаты точки на прямой (х — действительное число) и проверяется принадлежность этой точки одному из выделенных отрезков A, С и Е, включая его границы (см. рис. 8).

Рис. 8.
Программист торопился и написал программу неправильно.
|
Бейсик |
Паскаль |
|
|
|
|
Алгоритмический язык |
Си |
|
|
|
Последовательно выполните следующее.
1. Перерисуйте и заполните таблицу, которая показывает, как работает программа при аргументах, принадлежащих различным промежуткам (A, В, С, D и Е). Считать, что отмеченные точки (2, 4, 5, 9) принадлежат заштрихованным областям (A, С и Е соответственно).
|
Область |
Усл. 1 х ≤ 2 |
Усл. 2 х ≥ 4 |
Усл. 3 х ≤ 5 |
Усл. 4 х ≥ 9 |
Программа выведет |
Область обрабатывается верно |
|
А |
|
|
|
|
|
|
|
В |
|
|
|
|
|
|
|
С |
|
|
|
|
|
|
|
D |
|
|
|
|
|
|
|
Е |
|
|
|
|
|
|
В столбцах условий укажите «да», если условие выполнится, «нет», если условие не выполнится, «—» (прочерк), если условие не будет проверяться, «не изв.», если программа ведёт себя по-разному для разных значений, принадлежащих данной области. В столбце «Программа выведет» укажите, что программа выведет на экран. Если программа ничего не выводит, напишите «—» (прочерк). Если для разных значений, принадлежащих промежутку, будут выведены разные тексты, напишите «не изв.». В последнем столбце укажите «да» или «нет».
2. Укажите, как нужно доработать программу, чтобы не было случаев её неправильной работы. (Это можно сделать несколькими способами, достаточно указать любой способ доработки исходной программы.)
С2. Дан массив из 30 элементов. Каждый элемент может принимать целочисленные значения от 0 до 100. Опишите на русском языке или на одном из языков программирования алгоритм, который позволит найти произведение двузначных чётных элементов массива, которые начинаются с цифры 5, 6 или 7. Гарантируется, что в исходном массиве есть хотя бы один такой элемент.
Исходные данные объявлены так, как показано ниже. Запрещается использовать переменные, не описанные ниже, но разрешается не использовать часть из них. Исходные данные всегда подобраны так, что результат произведения не выходит за пределы объявленных типов данных.
|
Паскаль |
Бейсик |
|
|
|
|
СИ |
Естественный язык |
|
|
Объявляем массив А из 30 элементов. Объявляем целочисленные переменные I, К и PROD. В цикле от 1 до 30 вводим элементы массива А с 1-го по 30-й. |
В качестве ответа необходимо привести фрагмент программы (или описание алгоритма на естественном языке), который должен находиться на месте многоточия. Вы можете записать решение также на другом языке программирования (укажите название и используемую версию языка программирования, например, Borland Pascal 7.0) или в виде блок-схемы. В этом случае вы должны использовать переменные, аналогичные переменным, используемым в алгоритме, записанном на естественном языке, с учётом синтаксиса и особенностей используемого вами языка программирования.
С3. У исполнителя 1Х1Х две команды, которым присвоены номера:
1. прибавь 1,
2. увеличь каждый разряд числа на 1.
Если перед выполнением команды 2 какая-либо цифра числа равна 9, то при выполнении этой команды она не изменяется. Например: при помощи команды 2 число 48 преобразуется в 59, а число 29 в 39 (так как младший разряд нельзя увеличить).
Программа для исполнителя 1Х1Х — это последовательность команд. Определите количество программ, которые число 16 преобразуют в число 48? Ответ обоснуйте.
С4. Для автоматизированной системы управления движением городских пассажирских автобусов требуется написать программу, которая решает следующую задачу.
На некоторой остановке в течение одного часа для каждого пассажирского автобуса фиксируется время прибытия в минутах (целое число от 0 до 60), номер маршрута (целое число), название предприятия (текстовая строка 20 символов). Все автобусы одного маршрута принадлежат одному предприятию; одно предприятие может обслуживать несколько маршрутов. Для каждого маршрута задан плановый интервал движения в минутах (целое число от 5 до 15) — промежуток времени между моментами прихода автобусов данного маршрута. Если автобусы некоторого маршрута допускают интервал движения, превышающий плановый более чем на 2 минуты, то на предприятие начисляется по одному штрафному баллу за каждую минуту.
Напечатать список маршрутов и предприятий, чьи автобусы допустили нарушения, и число штрафных баллов в виде <Номер маршрута> <Предприятие> <Число штрафных баллов>.
Исходные данные вводятся в компьютер в следующем порядке:
Сначала вводится число М — число маршрутов, проходящих через данную остановку, а затем вводится М строк вида <номер маршрута> <интервал движения> <название предприятия>. Здесь <номер маршрута> — разные целые числа в количестве М, <интервал движения> — целые числа от 5 до 15, <название предприятия> — строка символов не более 20.
Далее вводится число N — число прошедших через остановку автобусов, затем вводится N строк вида < время прибытия > < номер маршрутам <Время прибытия> — целые числа от 0 до 60, вводятся в порядке неубывания, < номер маршрута > — целые числа, каждое число обязательно совпадает с одним из < номеров маршрута >, введенных выше.





















































