Информатика и ИКТ подготовка к ЕГЭ
Вариант № 4 - Учебно-тренировочные тесты - Учебно-тренировочные тесты
Часть 1
А1. Сколько значащих цифр в двоичной записи десятичного числа 39710?
1) .
2) .
3) .
4) 9
А2. Между населёнными пунктами А, В, С, D, Е и F построены дороги, протяжённость которых приведена в таблице. (Отсутствие числа в таблице означает, что прямой дороги между соответствующими пунктами нет.)
|
|
А |
В |
С |
D |
Е |
F |
|
А |
- |
7 |
3 |
- |
- |
- |
|
В |
7 |
- |
2 |
4 |
5 |
- |
|
С |
3 |
2 |
- |
- |
- |
- |
|
D |
- |
4 |
- |
- |
6 |
2 |
|
Е |
- |
5 |
- |
6 |
- |
4 |
|
F |
- |
- |
- |
2 |
4 |
- |
Определите дайну кратчайшего пути между пунктами А и F (при условии, что передвигаться можно только по построенным дорогам).
1) 1.
2) 1.
3) 1.
4) 8
А3. Символом F обозначено некоторое логическое выражение от трех аргументов: X, Y, Z. Дан фрагмент таблицы истинности выражения F:
|
X |
Y |
Z |
F |
|
0 |
1 |
0 |
0 |
|
1 |
0 |
1 |
0 |
|
1 |
1 |
1 |
0 |
Каким выражением может быть F?
![]()
А4. Для групповых операций с файлами используются маски имён файлов. Маска представляет собой последовательность букв, цифр и прочих допустимых в именах файлов символов, в которых также могут встречаться следующие символы: символ «?» (вопросительный знак) означает ровно один произвольный символ; символ «*» (звёздочка) означает любую последовательность символов произвольной длины, в том числе «*» может задавать и пустую последовательность.
В каталоге находится шесть файлов:
ground.sab
temp.tp
templess.db
users.cb
guest.ot
world.pd
Определите, сколько маске *s*.?b будет отобрано файлов.
1) .
2) .
3) .
4) 4
А5. Автомат получает на вход два трехзначных семеричных числа. По этим числам строится новое семеричное число по следующим правилам.
1. Вычисляются три семеричных числа — сумма старших разрядов заданных чисел, средних разрядов и сумма младших разрядов этих чисел.
2. Полученные три семеричных числа записываются друг за другом в порядке возрастания (без разделителей).
Пример. Исходные числа: 216, 326. Поразрядные суммы: 5, 3, 15. Результат: 3515.
Определите, какое из следующих чисел может быть результатом работы автомата.
1) 4111.
2) 2111.
3) 591.
4) 31214
А6. В фрагменте базы данных представлены сведения о родственных отношениях. Определите на основании приведенных данных количество внучек у отца Кузменко А. М.
|
ID |
Фамилиям_И. О. |
Пол |
|
ID_Родителя |
ID_Ребенка |
|
35 |
Иванов И. И. |
м |
19 |
75 |
|
|
19 |
Кузменко Л. А. |
ж |
53 |
35 |
|
|
12 |
Белых Л. А. |
ж |
93 |
17 |
|
|
75 |
Дергач М. А. |
ж |
19 |
12 |
|
|
93 |
Иванов А. И. |
м |
93 |
19 |
|
|
53 |
Кузменко А. А. |
м |
19 |
53 |
|
|
17 |
Петрова А. А. |
ж |
93 |
64 |
|
|
64 |
Сидорова М. А. |
ж |
|
||
1) 1
2) 2
3) .
4) 4
А7. Дан фрагмент электронной таблицы:
|
|
А |
В |
С |
D |
|
1 |
3 |
8 |
13 |
|
|
2 |
5 |
=$А+А$1 |
|
|
|
3 |
6 |
|
|
|
Чему станет равным значение ячейки DI, если в неё скопировать формулу из ячейки В2? Знак $ обозначает абсолютную адресацию.
1) 1.
2) 1.
3) 1.
4) 18
А8. Производится двухканальная (стерео)звукозапись с частотой дискретизации 32 кГц, результаты записываются в файл, сжатие данных не используется. Размер файла с записью не может превышать 5 Мбайт, продолжительности записи не превышает 25 секунд. Какое из приведенных ниже чисел наиболее близко к максимально возможному разрешению (разрядности регистра), выраженному в битах целым числом?
1) .
2) 1.
3) 3.
4) 64
А9. Для кодирования некоторой последовательности, состоящей из букв А, Б, В, Г и Д, решили использовать неравномерный двоичный код, позволяющий однозначно декодировать двоичную последовательность. Вот этот код: А - 00, Б - 111, В - 110, Г - 100, Д - 101. Можно ли сократить д ля одной из букв длину кодового слова так, чтобы код по-прежнему можно было декодировать однозначно? Коды остальных букв меняться не должны. Выберите правильный вариант ответа.
1) для буквы А — .
2) для буквы В — 11
3) для буквы Г — 1.
4) это невозможно
А10. Для какого из приведённых чисел X истинно логическое условие (X < 39) → ¬(X > 34)?
1) 3.
2) 3.
3) 3.
4) 34
А11. Все сотрудники фирмы для работы в локальной сети используют пароли. В качестве символов используются девять цифр и 15 букв латинского алфавита, все буквы используются в двух начертаниях: как строчные, так и заглавные (с учетом регистра букв). Под хранение каждого такого пароля на компьютере отводится минимально возможное и одинаковое целое количество бит, при этом используется посимвольное кодирование и все символы кодируются одинаковым и минимально возможным количеством битов. Количество паролей 24 и для их хранения отводиться 9 Кбит. Какова длина одного пароля, если длина всех паролей одинакова?
1) 6.
2) 3.
3) 2.
4) 72
А12. Значения двумерного массива А размером 9x9 задаются с помощью вложенного оператора цикла в представленном фрагменте программы (записанного ниже на разных языках программирования):
|
Бейсик |
Алгоритмический язык |
|
|
|
|
Си |
Паскаль |
|
|
|
Сколько элементов массива А примут отрицательное значение?
1) 5.
2) 4.
3) 4.
4) 35
А13. Система команд исполнителя РОБОТ, «живущего» в прямоугольном лабиринте на клетчатой плоскости: вверх, вниз, влево и вправо. При выполнении любой из этих команд РОБОТ перемещается на одну клетку соответственно: вверх, вниз, влево, вправо. Четыре команды проверяют истинность условия отсутствия стены у каждой стороны той клетки, где находится РОБОТ:
слева свободно, справа свободно, сверху свободно, снизу свободно.
Цикл пока <условие> команда выполняется, пока условие истинно, иначе происходит переход на следующую строку. Если РОБОТ начнёт движение в сторону стены, он разрушится, и программа прервётся.
РОБОТ выполняет программу:
Начало
пока <слева свободно вверх
пока <сверху свободно> вправо
пока <справа свободно> вниз
пока <снизу свободно> влево
Конец
Сколько клеток приведённого лабиринта (см. рис. 14) соответствуют следующему требованию: выполнив предложенную программу, РОБОТ уцелеет и остановится в той же клетке, с которой он начал движение?

Рис. 14.
1) .
2) .
3) .
4) 9
Часть 2
В1. Автоматическое устройство осуществило перекодировку информационного сообщения на русском языке, первоначально записанного в 8- битной кодировке КОИ-8, в 2-байтную кодировку Unicode. Сообщение содержало 512 символов. Во сколько раз увеличился объём сообщения? В ответе запишите только число.
В2. Исполнитель умеет выполнять две команды:
1) Умножь на 2,
2) Прибавь 5.
Первая команда увеличивает число на экране в 2 раза, вторая — прибавляет к нему 5. Запишите порядок команд в программе преобразования числа 3 в число 34, содержащей не более 4-х команд, указывая лишь номера команд. Например, 121 — это программа: умножь на 2, прибавь 5, умножь на 2, которая преобразует число 7 в число 38. Если таких программ более одной, то запишите любую из них.
В3. Определите, что будет напечатано в результате выполнения программы, записанной ниже на различных языках программирования.
|
Бейсик |
Алгоритмический язык |
|
|
|
|
Паскаль |
Си |
|
|
|
В4. Все 5-буквенные слова, составленные из букв В, Е, М, Р, Я, записаны в алфавитном порядке и пронумерованы. Вот начало списка:
1. ВВВВВ
2. ВВВВЕ
3. ВВВВМ
4. ВВВВР
5. ВВВВЯ
6. ВВВЕВ
...
Под каким номером стоит слово ВРЕМЯ?
В5. Дан фрагмент электронной таблицы в режиме отображения формул.
|
|
A |
В |
С |
|
1 |
|
6 |
10 |
|
2 |
= 3* (8 + A1) |
= (C1 + 3) * 2 |
= 13* (C1 – B1) |
Какое число должно быть записано в ячейке А1, чтобы построенная после выполнения вычислений диаграмма по значениям диапазона ячеек А2:С2 соответствовала рисунку 15?

Рис. 15.
В6. Определите значение переменной с после выполнения следующего фрагмента программы, записанного ниже на разных языках программирования.
|
Паскаль |
Алгоритмический язык |
|
|
|
|
Бейсик |
Си |
|
|
|
В7. Ниже на 4-х языках записан алгоритм. Получив на вход число х, этот алгоритм печатает два числа: а и b. Укажите наибольшее из таких чисел х, при вводе которого алгоритм печатает сначала 3, а потом 15.
|
Бейсик |
Паскаль |
|
|
|
|
Алгоритмический язык |
Си |
|
|
|
В8. Запись числа 5010 в системе счисления с основанием N оканчивается на 2 и содержит 4 цифры. Чему равно основание системы счисления N?
В9. На рисунке 16 изображена схема дорог, связывающих города А, Б, В, Г, Д, Е, Ж, 3, И, К. По каждой дороге можно двигаться только в одном направлении, указанном стрелкой. Сколько существует различных путей из города А в город К?

Рис. 16.
В10. Документы передают с одного компьютера на другой следующим способом: сжимают документ архиватором, создавая архив, передают архив по каналу связи и, затем, распаковывают. Известны следующие характеристики передачи файлов:
— средняя скорость передачи данных по каналу связи составляет 223 бит в секунду;
— объем сжатого архиватором текстового документа равен 40% от исходного;
— объем сжатого архиватором графического документа равен 70% от исходного;
— время, требуемое на сжатие документа, — 10 секунд, а на распаковку — 1 секунда.
Передаются текстовый документ А объемом 70 Мб и графический документ Б объемом 90 Мб. В ответе напишите букву А, если документ А передадут быстрее, или Б, если быстрее передадут документ Б. Сразу после буквы напишите количество секунд — разницу во времени передачи документов. Так, например, если документ Б дойдет быстрее документа А на 23 секунды, в ответе нужно написать Б23.
В11. В терминологии сетей TCP/IP маской сети называется двоичное число, определяющее, какая часть IP-адреса узла сети относится к адресу сети, а какая — к адресу самого узла в этой сети. Обычно маска записывается по тем же правилам, что и IP-адрес. Адрес сети получается в результате применения поразрядной конъюнкции к заданному IР-адресу узла и маске. По заданным IP-адресу узла и маске определите адрес сети.
IP—адрес узла: 192.54.16.8
Маска: 255.255.216.0
При записи ответа выберите из приведённых в таблице чисел четыре элемента IP-адреса и запишите в нужном порядке соответствующие им буквы. Точки писать не нужно.
|
А |
В |
С |
D |
Е |
F |
G |
Н |
|
255 |
8 |
16 |
216 |
54 |
192 |
232 |
0 |
Пример. Пусть искомый IР-адрес 168.53.224.0, и дана таблица
|
А |
В |
С |
D |
Е |
F |
G |
Н |
|
128 |
168 |
255 |
15 |
53 |
0 |
17 |
224 |
В этом случае правильный ответ будет записан в виде: BEHF.
В12. В языке запросов поискового сервера для обозначения логической операции «ИЛИ» в запросе используется символ |, а для логической операции «И» — символ &. В таблице приведены запросы и количество страниц, найденных поисковым сервером по этим запросам в некотором сегменте Интернета:
|
Запрос |
Найдено страниц (в тысячах) |
|
Карандаши & Фломастеры |
700 |
|
Карандаши |
3 500 |
|
Фломастеры |
2 100 |
Какое количество страниц (в тысячах) будет найдено по запросу «Карандаши | Фломастеры»? Считается, что все запросы выполнялись практически одновременно, так что набор страниц, содержащих все искомые слова, не изменялся за время выполнения запросов.
В13. Исполнитель Стрелка живёт на циферблате, имеющем 60 делений, пронумерованных от 0 до 59. Начальное положение — точка 0.
Система команд исполнителя:
По часовой 2 (Стрелка перемещается по часовой стрелке на 2 деления),
Против часовой 5 (Стрелка перемещается против часовой стрелки на 5 делений).
Программа для Стрелки — это последовательность команд. Определите количество различных числовых значений, в которых может остановиться Стрелка после выполнения программы, которая содержит ровно 5 команд.
В14. Определите, какое число будет напечатано в результате выполнения следующего алгоритма (для Вашего удобства алгоритм представлен на четырёх языках):
|
Бейсик |
Паскаль |
|
|
|
|
Алгоритмический язык |
Си |
|
|
|
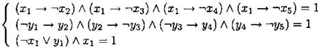
В15. Сколько существует различных наборов значений логических переменных х1, х2, х3, х4, х5, y1, y2, y3, y4, y5, которые удовлетворяют всем перечисленным ниже условиям?

В ответе не нужно перечислять все различные наборы значений х1, х2, х3, х4, х5, y1, y2, y3, y4, y5 при которых выполнена данная система равенств. В качестве ответа нужно указать количество таких наборов.
Часть 3
С1. Требовалось написать программу, при выполнении которой с клавиатуры считываются координаты точки на плоскости (х, у — действительные числа) и проверяется принадлежность этой точки заштрихованной области, включая её границы (см. рис. 17).

Рис. 17.
Программист торопился и написал программу неправильно.
|
Бейсик |
Паскаль |
|
|
|
|
Алгоритмический язык |
Си |
|
|
|
Последовательно выполните следующее.
1. Перерисуйте и заполните таблицу, которая показывает, как работает программа при аргументах, принадлежащих различным областям (A, В, С, D, Е, F, G и H). Считать, что все области, кроме заштрихованных, не содержат точек своих границ (см. рис. 18).

Рис. 18.
В столбцах условий укажите «да», если условие выполнится, «нет», если условие не выполнится, «—» (прочерк), если условие не будет проверяться, «не изв.», если программа ведёт себя по-разному для разных значений, принадлежащих данной области. В столбце «Программа выведет» укажите, что программа выведет на экран. Если программа ничего не выводит, напишите «—» (прочерк). Если для разных значений, принадлежащих области, будут выведены разные тексты, напишите «не изв.». В последнем столбце укажите «да» или «нет».
2. Укажите, как нужно доработать программу, чтобы не было случаев её неправильной работы. (Это можно сделать несколькими способами, достаточно указать любой способ доработки исходной программы.)
|
Область |
Усл. 1 у ≤ 2 - х2 |
Усл. 2 х > 0 |
Усл. 3 у ≥ x * x * x |
Программа выведет |
Область обрабатывается верно |
|
А |
|
|
|
|
|
|
В |
|
|
|
|
|
|
С |
|
|
|
|
|
|
D |
|
|
|
|
|
|
Е |
|
|
|
|
|
|
F |
|
|
|
|
|
|
G |
|
|
|
|
|
|
Н |
|
|
|
|
|
С2. Дан массив из 50-ти элементов. Каждый элемент может принимать целочисленные значения от 0 до 1000. Опишите на русском языке или на одном из языков программирования алгоритм, позволяющий найти и вывести, на сколько положительных элементов больше, чем отрицательных. Гарантируется, что в исходном массиве есть хотя бы один элемент, отрицательный и положительный. Исходные данные объявлены так, как показано ниже.
Запрещается использовать переменные, не описанные ниже, но разрешается не использовать часть из них.
|
Паскаль |
Бейсик |
|
|
|
|
СИ |
Естественный язык |
|
|
Объявляем массив А из 50 элементов. Объявляем целочисленные переменные I,KOL_P и KOL_M. В цикле от 1 до 50 вводим элементы массива А с 1-го по 50-й. |
В качестве ответа необходимо привести фрагмент программы (или описание алгоритма на естественном языке), который должен находиться на месте многоточия. Вы можете записать решение также на другом языке программирования (укажите название и используемую версию языка программирования, например, Borland Pascal 7.0) или в виде блок-схемы. В этом случае вы должны использовать переменные, аналогичные переменным, используемым в алгоритме, записанном на естественном языке, с учётом синтаксиса и особенностей используемого вами языка программирования.
С3. У исполнителя Увеличитель две команды, которым присвоены номера:
1. прибавь 2,
2. умножь на 3.
Первая из них увеличивает число на экране на 2, вторая — увеличивает его в 3 раза. Программа для исполнителя Увеличитель — это последовательность команд.
Определите количество программ, которые число 1 преобразуют в число 37? Ответ обоснуйте.
С4. Музыкальный сайт проводит конкурс на лучшую песню года с открытым sms-голосованием. Всего в конкурсе участвует 20 песен.
Необходимо написать эффективную, в том числе по используемой памяти, программу, которая после окончания sms-голосования будет обрабатывать результаты. Следует учитывать, что количество пришедших сообщений может быть очень велико.
Перед текстом программы кратко опишите используемый алгоритм решения задачи.
На вход программе в первой строке подаётся количество пришедших сообщений N, N > 0. В каждой из последующих N строк в виде текстовой строки записан выбранный исполнитель и название песни, записанное в кавычках. Длина строки не превосходит 100 символов и может содержать буквы, цифры, пробелы и знаки препинания.
Программа должна вывести список из трёх наиболее популярных песен с указанием количества отданных за них голосов. Если по результатам голосования упоминается менее трёх песен, то выведите информацию по каждой из них. Если несколько песен имеет такое же количество голосов, что и песня занявшая третье место, то информацию о них тоже нужно вывести.
Пример входных данных.
8
Григорий Лenc "Самый лучший день"
Нюша "Выше"
Ёлка "Около тебя"
Ёлка "Около тебя"
Нюша "Выше"
Григорий Лепс "Самый лучший день"
Нюша "Выше"
Григорий Лепс "Самый лучший день"
Пример выходных данных для входных данных, записанных выше.
"Самый лучший день" 3
"Выше" 3
"Около тебя" 2


























