Информатика и ИКТ подготовка к ЕГЭ
Вариант № 5 - Учебно-тренировочные тесты - Учебно-тренировочные тесты
Часть 1
А1. Сколько значащих нулей содержится в двоичной записи числа 300210?
1) .
2) .
3) .
4) 4
А2. Между населёнными пунктами А, В, С, D, Е и F построены дороги, протяжённость которых приведена в таблице. (Отсутствие числа в таблице означает, что прямой дороги между соответствующими пунктами нет.)
|
|
А |
В |
С |
D |
Е |
F |
|
А |
- |
10 |
- |
12 |
- |
30 |
|
В |
10 |
- |
- |
6 |
15 |
- |
|
С |
- |
- |
- |
8 |
- |
- |
|
D |
12 |
6 |
8 |
- |
6 |
- |
|
Е |
- |
15 |
- |
6 |
- |
10 |
|
F |
30 |
- |
- |
- |
10 |
- |
Определите длину кратчайшего пути между пунктами А и F (при условии, что передвигаться можно только по построенным дорогам).
1) 2.
2) 2.
3) 3.
4) 35
А3. Дан фрагмент таблицы истинности выражения F:
|
X |
Y |
Z |
F |
|
1 |
0 |
1 |
1 |
|
1 |
1 |
0 |
1 |
|
1 |
1 |
1 |
0 |
Каким выражением может быть F?
![]()
А4. Для групповых операций с файлами используются маски имён файлов. Маска представляет собой последовательность букв, цифр и прочих допустимых в именах файлов символов, в которых также могут встречаться следующие символы: символ «?» (вопросительный знак) означает ровно один произвольный символ; символ «*» (звёздочка) означает любую последовательность символов произвольной длины, в том числе «*» может задавать и пустую последовательность.
В каталоге находятся шесть файлов:
apaenum.exe
annouce.xl.
rasautou.exe
flashquiz.tx.
rtstreamsource.a.
apple.xls
Определите, по какой из масок из них будет отобрана указанная группа файлов:
flashquiz.txt
rasautou.exe
rtstreamsource.ax
1) *a??u*.?x.
2) *a???u*.?x*
3) *a?*s*u*.?x*
4) *a*n*u*.?x*
A5. Автомат получает на вход два трёхзначных числа. По этим числам строится новое число по следующим правилам.
1. Записывается результат сложения значений старших разрядов заданных чисел.
2. Если полученная сумма меньше десяти, то слева от этой суммы дописывается результат сложения значений средних разрядов заданных чисел, в противном случае — справа.
3. Итоговое число получают приписыванием справа к полученному после второго шага числу суммы значений младших разрядов исходных чисел.
Пример. Исходные трёхзначные числа: 384, 532. Поразрядные суммы: 8,11, 6. Результат: 1186.
Определите, какое из следующих чисел может быть результатом работы автомата.
1) 11102.
2) 1621.
3) 615.
4) 19914
А6. В фрагменте базы данных представлены сведения о родственных отношениях. Определите на основании приведенных данных фамилию и инициалы дедушки Романова М.Ф.
|
ID |
Фамилия_И.О. |
Пол |
|
ID_Родителя |
ID_Ребенка |
|
24 |
Смирнов A.H. |
м |
|
55 |
13 |
|
13 |
Коваленко А.С. |
м |
|
13 |
63 |
|
56 |
Рябых Р.О. |
ж |
|
75 |
63 |
|
45 |
Смирнова Т.Н. |
ж |
|
45 |
24 |
|
41 |
Панасенко А.Д. |
ж |
|
75 |
24 |
|
75 |
Коваленко К.Л. |
ж |
|
63 |
36 |
|
63 |
Романова М.К. |
ж |
|
23 |
36 |
|
34 |
Рябых С.О. |
м |
|
56 |
34 |
|
36 |
Романов М.Ф. |
м |
|
34 |
34 |
1) Коваленко А.С.
2) Рябых P.O.
3) Панасенко А.Д.
4) Коваленко К.Л.
А7. В ячейке С2 записана формула = 2*$А1. Какой вид приобретёт эта формула после того, как ячейку С2 скопируют в ячейку С3?
1) = 2 * $С3
2) = 2 * $А.
3) = 3 * А2
4) = 3 * $А1
А8. Производится одноканальная (моно)звукозапись с частотой дискретизации 48 кГц и 24-битным разрешением. Запись длится 2 минуты, её результаты записываются в файл, сжатие данных не производится. Какая из приведённых ниже величин наиболее близка к размеру полученного файла?
1) 1 Мбай.
2) 16 Мбай.
3) 24 Мбай.
4) 32 Мбайт
А9. Для кодирования некоторой последовательности, состоящей из букв А, Б, В, Г и Д, решили использовать неравномерный двоичный код, позволяющий однозначно декодировать двоичную последовательность, появляющуюся на приёмной стороне канала связи. Использовали код: А - 0, Б - 111, В - 010, Г - 101. Укажите, каким кодовым словом может быть закодирована буква Д. Код должен удовлетворять свойству однозначного декодирования.
1) 1.
2) 1.
3) 0.
4) 110
А10. Какое из приведённых ниже названий представителей фауны соответствует условию
(последняя буква гласная) ^
(первая буква гласная → вторая буква гласная)?
1) СИНИЦА
2) БЕГЕМОТ
3) АНАКОНДА
4) КРОТ
A11. В некоторой стране автомобильный номер длиной 6 символов составляют из заглавных букв (всего используется 22 различные буквы) и десятичных цифр, записанных в любом порядке. Каждый такой номер в компьютерной программе записывается минимально возможным и одинаковым целым количеством байт (при этом используют посимвольное кодирование: каждый символ кодируется одинаковым и минимально возможным количеством бит). Определите объём памяти, отводимый этой программой для записи 45 номеров.
1)180 байт
2) 360 байт
3)45 байт
4) 90 байт
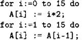
А12. В программе описан одномерный целочисленный массив А с индексами от 0 до 15. Ниже представлен фрагмент одной и той же программы, записанный на разных языках программирования, в котором значения элементов сначала задаются, а затем меняются.
|
Си |
Паскаль |
|
|
|
|
|
|
Бейсик |
Алгоритмический язык |
|
|
|
|
|
Чему будут равны элементы этого массива после выполнения фрагмента программы?
|
1) |
0 |
0 |
0 |
0 |
0 |
0 |
0 |
0 |
0 |
0 |
0 |
0 |
0 |
0 |
0 |
0 |
|
2) |
0 |
2 |
4 |
6 |
8 |
10 |
12 |
14 |
16 |
18 |
20 |
22 |
24 |
26 |
28 |
30 |
|
3) |
0 |
0 |
2 |
4 |
6 |
8 |
10 |
12 |
14 |
16 |
18 |
20 |
22 |
24 |
26 |
28 |
|
4) |
2 |
4 |
6 |
8 |
10 |
12 |
14 |
16 |
18 |
20 |
22 |
24 |
26 |
28 |
30 |
30 |
А13. Система команд исполнителя РОБОТ, «живущего» в прямоугольном лабиринте на клетчатой плоскости: вверх, вниз, влево и вправо. При выполнении любой из этих команд РОБОТ перемещается на одну клетку соответственно: вверх, вниз, влево, вправо. Четыре команды проверяют истинность условия отсутствия стены у каждой стороны той клетки, где находится РОБОТ:
слева свободно, справа свободно, сверху свободно, снизу свободно.
Цикл пока <условие> команда выполняется, пока условие истинно, иначе происходит переход на следующую строку. Если РОБОТ начнёт движение в сторону стены, он разрушится, и программа прервётся.
РОБОТ выполняет программу:
Начало
пока <справа свободно> вправо
пока <сверху свободно> вверх
пока <слева свободно влево
пока <снизу свободно> вниз
Конец
Сколько клеток приведённого лабиринта (см. рис. 19) соответствуют следующему требованию: выполнив предложенную программу, РОБОТ уцелеет и остановится в той же клетке, с которой он начал движение?

Рис. 19.
1) .
2) .
3) .
4) 4
Часть 2
В1. Информационный объём сообщения в 16-битном коде Unicode составляет 32 Кб. На сколько символов можно увеличить длину исходного сообщения при перекодировке его в 8-битную систему кодов ASCII, сохраняя первоначальный информационный объём сообщения?
В2. У исполнителя Вычислитель имеется три команды:
1) умножь на 2
2) умножь на 5
3) прибавь 1
Выполняя первую из них, Вычислитель удваивает число на экране, выполняя вторую, увеличивает число на экране в 5 раз, а выполняя третью, увеличивает число на 1.
Запишите порядок команд в программе преобразования числа 5 в число 105, содержащий не более 4-х команд, указывая лишь номера команд.
Например, 2131 — это программа: умножь на 5, умножь на 2, прибавь 1, умножь на 2, которая преобразует число 2 в число 42.
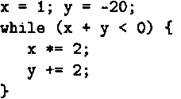
В3. Определите значение переменной X после выполнения фрагмента программы:
|
Бейсик |
Алгоритмический язык |
|
|
|
|
|
|
Паскаль |
Си |
|
|
|
|
|
В4. Все 4-буквенные слова, составленные из букв А, В, С, записаны в алфавитном порядке. Вот начало списка:
1. АААА
2. АААВ
3. АААС
4. ААВА
Запишите слово, которое стоит на 30-м месте от начала списка.
В5. Дан фрагмент электронной таблицы в режиме отображения формул.
|
|
А |
В |
С |
D |
|
1 |
1 |
2 |
|
5 |
|
2 |
= 2 * А1 + В1 |
= В1 + 2 * А1 |
= 2 * С1 |
= 3 * D1 + А1 |
Какое число должно быть записано в ячейке С1, чтобы построенная после выполнения вычислений диаграмма по значениям диапазона ячеек А2 : D2 соответствовала рисунку 20?

Рис. 20.
В6. Определите значение переменной с после выполнения следующего фрагмента программы.
|
Паскаль |
Алгоритмический язык |
|
|
|
|
Бейсик |
Си |
|
|
|
В7. Ниже на 4-х языках записан алгоритм. Получив на вход число х, этот алгоритм печатает число 5. Укажите такое число х, при вводе которого алгоритм печатает число 31972.
|
Бейсик |
Паскаль |
|
|
|
|
Алгоритмический язык |
Си |
|
|
|
В8. Запись числа 6210 в системе счисления с основанием N оканчивается на 2 и содержит 4 цифры. Чему равно основание системы счисления N?
В9. На рисунке 21 изображена схема дорог, связывающих города А, В, С, D, F и G. По каждой дороге можно двигаться только в одном направлении, указанном стрелкой. Сколько существует различных путей из города А в город С?

Рис. 21.
В10. У Димы есть доступ к сети Интернет по высокоскоростному одностороннему радиоканалу, обеспечивающему скорость получения им информации 1024 Кбит/секунду. У Миши нет скоростного доступа в Интернет, но есть возможность получать информацию от Димы по низкоскоростному телефонному каналу со средней скоростью 64 Кбит/секунду. Миша договорился с Димой, что тот будет скачивать для него данные объёмом 40 Мбайт по высокоскоростному каналу и ретранслировать их Мише по низкоскоростному каналу. Компьютер Димы может начать ретрансляцию данных не раньше, чем им будут получены первые 384 Кбайт этих данных.
Каков минимально возможный промежуток времени (в секундах) с момента начала скачивания Димой данных до полного их получения Мишей? В ответе укажите только число, слово «секунд» или букву «с» добавлять не нужно.
В11. В терминологии сетей TCP/IP маской сети называется двоичное число, определяющее, какая часть IP-адреса узла сети относится к адресу сети, а какая — к адресу самого узла в этой сети. Обычно маска записывается по тем же правилам, что и IP-адрес. Адрес сети получается в результате применения поразрядной конъюнкции к заданному IР-адресу узла и маске. По заданным IP-адресу узла и маске определите адрес сети.
IP—адрес узла: 128.138.229.16
Маска: 255.254.124.0
При записи ответа выберите из приведённых в таблице чисел четыре элемента IP-адреса и запишите в нужном порядке соответствующие им буквы. Точки писать не нужно.
|
А |
В |
С |
D |
Е |
F |
G |
Н |
|
16 |
34 |
124 |
128 |
138 |
100 |
229 |
255 |
Пример. Пусть искомый IP-адрес 192.168.128.0, и дана таблица
|
А |
В |
С |
D |
Е |
F |
G |
Н |
|
128 |
168 |
255 |
8 |
127 |
0 |
17 |
192 |
В этом случае правильный ответ будет записан в виде: HBAF.
В12. В языке запросов поискового сервера для обозначения логической операции «ИЛИ» в запросе используется символ |, а для логической операции «И» — символ &. В таблице приведены запросы и количество страниц, найденных поисковым сервером по этим запросам в некотором сегменте Интернета:
|
Запрос |
Найдено страниц (в тысячах) |
|
Кодирование |
6 320 |
|
Теория |
9 540 |
|
Кодирование & Теория |
2 540 |
Какое количество страниц (в тысячах) будет найдено по запросу «Кодирование | Теория»? Считается, что все запросы выполнялись практически одновременно, так что набор страниц, содержащих все искомые слова, не изменялся за время выполнения запросов.
В13. Исполнитель Кузнечик живёт на числовой оси. Начальное положение — точка 0.
Система команд исполнителя:
Вперед 9 (Кузнечик прыгает вперед на 9 единиц),
Назад 3 (Кузнечик прыгает назад на 3 единицы).
Программа для Кузнечика — это последовательность команд. Определите количество различных числовых значений, в которых может остановиться Кузнечик после выполнения программы, которая содержит ровно 4 команды?
В14. Определите, какое число будет напечатано в результате выполнения следующего алгоритма (для Вашего удобства алгоритм представлен на четырёх языках):
|
Бейсик |
Паскаль |
|
|
|
|
Алгоритмический язык |
Си |
|
|
|
В15. Сколько существует различных наборов значений логических переменных x1, х2,..., х6, x7, которые удовлетворяют всем перечисленным ниже условиям?

В ответе не нужно перечислять все различные наборы значений x1, х2,..., х6, x7, при которых выполнена данная система равенств. В качестве ответа нужно указать количество таких наборов.
Часть 3
С1. Требовалось написать программу, при выполнении которой с клавиатуры считываются координаты точки на плоскости (х, у — действительные числа) и проверяется принадлежность этой точки заштрихованной области, включая её границы (см. рис. 22).

Рис. 22.
Программист торопился и написал программу неправильно.
|
Бейсик |
Паскаль |
|
|
|
|
Алгоритмический язык |
Си |
|
|
|
Последовательно выполните следующее.
1. Перерисуйте и заполните таблицу, которая показывает, как работает программа при аргументах, принадлежащих различным областям (А, В, С, D, Е, F, G и Н). Считать, что все области, кроме заштрихованных, не содержат точек своих границ (см. рис. 23).

Рис. 23.
В столбцах условий укажите «да», если условие выполнится, «нет», если условие не выполнится, «—» (прочерк), если условие не будет проверяться, «не изв.», если программа ведёт себя по-разному для разных значений, принадлежащих данной области. В столбце «Программа выведет» укажите, что программа выведет на экран. Если программа ничего не выводит, напишите «—» (прочерк). Если для разных значений, принадлежащих области, будут выведены разные тексты, напишите «не изв.». В последнем столбце укажите «да» или «нет».
2. Укажите, как нужно доработать программу, чтобы не было случаев её неправильной работы. (Это можно сделать несколькими способами, достаточно указать любой способ доработки исходной программы.)
|
Область |
Усл. 1 у ≥ х2 - 3 |
Усл. 2 х ≤ 0 |
Усл. 3 y ≤ -х |
Программа выведет |
Область обрабатывается верно |
|
А |
|
|
|
|
|
|
В |
|
|
|
|
|
|
С |
|
|
|
|
|
|
D |
|
|
|
|
|
|
Е |
|
|
|
|
|
|
F |
|
|
|
|
|
|
G |
|
|
|
|
|
|
Н |
|
|
|
|
|
С2. Дан массив из 30-ти элементов. Каждый элемент может принимать целочисленные значения от —100 до 100. Опишите на русском языке или на одном из языков программирования алгоритм, который позволит подсчитать среднее арифметическое положительных элементов массива, которые кратны первому элементу массива (то есть делятся на него без остатка). Гарантируется, что первый элемент отличен от нуля. Исходные данные объявлены так, как показано ниже. Запрещается использовать переменные, не описанные ниже, но разрешается не использовать часть из них.
|
Паскаль |
Бейсик |
|
|
|
|
СИ |
Естественный язык |
|
|
Объявляем массив А из 30 элементов. Объявляем целочисленные переменные I, К и вещественную переменную SUM. В цикле от 1 до 30 вводим элементы массива А с 1-го по 30-й. ... |
В качестве ответа необходимо привести фрагмент программы (или описание алгоритма на естественном языке), который должен находиться на месте многоточия. Вы можете записать решение также на другом языке программирования (укажите название и используемую версию языка программирования, например, Borland Pascal 7.0) или в виде блок-схемы. В этом случае вы должны использовать переменные, аналогичные переменным, используемым в алгоритме, записанном на естественном языке, с учётом синтаксиса и особенностей используемого вами языка программирования.
С3. У исполнителя Х2 две команды, которым присвоены номера:
1. прибавь 1,
2. умножь на 2.
Первая из них увеличивает число на экране на 1, вторая — увеличивает его в 2 раза. Программа для исполнителя Х2 — это последовательность команд.
Определите количество программ, которые число 1 преобразуют в число 19? Ответ обоснуйте.
С4. С клавиатуры вводится число записей N, не превышающее 1000, содержащих сведения о сетевом трафике, проходящем через компьютер, а затем сами записи в формате <время> <источник> <приемник>, где <время> записано в виде хх:хх:хх, <источник> и <приемник> в виде ххх.ххх.ххх.ххх (ip-адреса).
Например, 11:15:00 192.168.68.12 192.168.68.7.
Затем так же с клавиатуры вводится запрос к этим записям в формате time=<время> srс=<источник> dst=<приемник>. Причем в запросе любое из полей не обязательно и, если запросом является пустая строка, то должны выводиться все записи.
Например, time=11:15:00 dst=192.168.68.7.
Напишите программу, которая обрабатывает такой запрос и выводит все записи, удовлетворяющие ему.


























