Информатика и ИКТ подготовка к ЕГЭ
Вариант № 6 - Учебно-тренировочные тесты - Учебно-тренировочные тесты
Часть 1
А1. Сколько значащих нулей содержится в двоичной записи числа 101010?
1) .
2) .
3) .
4) 4
А2. Между населёнными пунктами А, B, С, D, Е и F построены дороги, протяжённость которых приведена в таблице. (Отсутствие числа в таблице означает, что прямой дороги между пунктами нет.)
|
|
А |
В |
С |
D |
Е |
F |
|
А |
- |
- |
8 |
10 |
- |
- |
|
В |
- |
- |
4 |
2 |
- |
8 |
|
С |
8 |
4 |
- |
- |
5 |
- |
|
D |
10 |
2 |
- |
- |
- |
8 |
|
Е |
- |
- |
5 |
- |
- |
6 |
|
F |
- |
8 |
- |
8 |
6 |
- |
Определите длину кратчайшего пути между пунктами А и F (при условии, что передвигаться можно только по построенным дорогам).
1) 1.
2) 1.
3) 1.
4) 20
А3. Дан фрагмент таблицы истинности выражения F:
|
X |
Y |
Z |
F |
|
0 |
0 |
0 |
0 |
|
0 |
0 |
1 |
0 |
|
0 |
1 |
0 |
1 |
Каким выражением может быть F?
![]()
А4. Для групповых операций с файлами используются маски имён файлов. Маска представляет собой последовательность букв, цифр и прочих допустимых в именах файлов символов, в которых также могут встречаться следующие символы: символ «?» (вопросительный знак) означает ровно один произвольный символ; символ «*» (звёздочка) означает любую последовательность символов произвольной длины, в том числе «*» может задавать и пустую последовательность.
В каталоге находятся шесть файлов:
Spooler.ex.
Collect.xs.
google.xml
Problem.xl.
Solstice.xm.
stranger.exe
Определите, по какой из масок из них будет отобрана указанная группа файлов:
Problem.xls
Collect.xsn
google.xml
1) *о??l*е*.х.
2) *о*l*е*.?х*
3) *о?l*е*.х*
4) *о*l*е*.х*l
А5. Автомат получает на вход два трёхзначных числа. По этим числам строится новое число по следующим правилам.
1. Записывается результат сложения значений старших разрядов заданных чисел.
2. Если полученная сумма кратна трём, то слева от неё дописывается результат сложения значений средних разрядов заданных чисел, в противном случае — справа.
3. Итоговое число получают приписыванием справа к полученному после второго шага числу суммы значений младших разрядов исходных чисел.
Пример. Исходные трёхзначные числа: 487, 896. Поразрядные суммы: 12, 17, 13. Результат: 171213.
Определите, какое из следующих чисел может быть результатом работы автомата.
1) 14211.
2) 1513.
3) 8181.
4) 11919
А6. В фрагменте базы данных представлены сведения о родственных отношениях. Определите на основании приведенных данных фамилию и инициалы бабушки Игнатьевой Е.Ф.
|
ID |
Фамилия_И.О. |
Пол |
|
ID_Родителя |
ID_Ребенка |
|
42 |
Алексеенко А.Н. |
м |
|
76 |
31 |
|
31 |
Якимчук А.С. |
м |
|
41 |
31 |
|
65 |
Демченко Н.О. |
ж |
|
14 |
54 |
|
54 |
Игнатьева Е.Ф. |
ж |
|
42 |
54 |
|
14 |
Алексеенко А.Д. |
ж |
|
65 |
42 |
|
57 |
Коваленко К.Л. |
ж |
|
36 |
42 |
|
36 |
Демченко М.К. |
м |
|
14 |
57 |
|
43 |
Игнатьев Ф.Ф. |
м |
|
56 |
57 |
|
76 |
Якимчук М.Ф. |
ж |
|
65 |
43 |
1) Демченко И.О.
2) Демченко М.К.
3) Алексеенко А.Д.
4) Коваленко К.Л.
А7. В ячейке В2 записана формула = 3*С$3. Какой вид приобретёт эта формула после того, как ячейку В2 скопируют в ячейку В1?
1) = 3 * C$.
2) = 3 * С$.
3) = 3 * В$.
4) = 3 * D$3
А8. Производится одноканальная (моно)звукозапись с частотой дискретизации 96 кГц и 24-битным разрешением. Запись длится 0,5 минуты, её результаты записываются в файл, сжатие данных не производится. Какая из приведённых ниже величин наиболее близка к размеру полученного файла?
1) 1 Мбайт
2) 8 Мбайт
3) 16 Мбайт
4) 24 Мбайт
А9. Для кодирования некоторой последовательности, состоящей из букв А, Б, В, Г и Д, решили использовать неравномерный двоичный код, позволяющий однозначно декодировать двоичную последовательность, появляющуюся на приёмной стороне канала связи. Использовали код: А — 11, Б — 001, В - 010, Г — 100. Укажите, каким кодовым словом может быть закодирована буква Д. Код должен удовлетворять свойству однозначного декодирования.
1) .
2) 11.
3) 1.
4) 111
А10. Какое из приведённых ниже названий животных соответствует условию
¬(первая буква гласная v вторая буква согласная) ^ (предпоследняя буква согласная)?
1) СЛОН
2) ЖИРАФ
3) КОРОВА
4) КРОЛИК
А11. В некоторой стране автомобильный номер длиной 6 символов составляют из заглавных букв (всего используется 26 различных букв) и десятичных цифр, записанных в любом порядке. Каждый такой номер в компьютерной программе записывается минимально возможным и одинаковым целым количеством байт (при этом используют посимвольное кодирование и все символы кодируются одинаковым и минимально возможным количеством бит). Определите объём памяти, отводимый этой программой для записи 60 номеров.
1) 60 байт
2) 120 байт
3) 300 байт
4) 600 байт
А12. В программе описан одномерный целочисленный массив А с индексами от 0 до 15. Ниже представлен фрагмент одной и той же программы, записанный на разных языках программирования, в котором значения элементов сначала задаются, а затем меняются.
|
Паскаль |
Си |
|
|
|
|
Бейсик |
Алгоритмический язык |
|
|
|
Чему будут равны элементы этого массива после выполнения фрагмента программы?
|
1) |
0 |
0 |
0 |
0 |
0 |
0 |
0 |
0 |
0 |
0 |
0 |
0 |
0 |
0 |
0 |
0 |
|
2) |
1 |
1 |
2 |
3 |
4 |
5 |
6 |
7 |
8 |
9 |
10 |
11 |
12 |
13 |
14 |
15 |
|
3) |
1 |
2 |
3 |
4 |
5 |
6 |
7 |
8 |
9 |
10 |
11 |
12 |
13 |
14 |
15 |
16 |
|
4) |
2 |
3 |
4 |
5 |
6 |
7 |
8 |
9 |
10 |
11 |
12 |
13 |
14 |
15 |
16 |
16 |
А13. Система команд исполнителя РОБОТ, «живущего» в прямоугольном лабиринте на клетчатой плоскости:
|
вверх |
вниз |
влево |
вправо |
При выполнении любой из этих команд РОБОТ перемещается на одну клетку вверх ↑, вниз ↓, влево ←, вправо → соответственно.
Четыре команды проверяют истинность условия отсутствия стены у каждой стороны той клетки, где находится РОБОТ:
|
сверху |
снизу |
слева |
справа |
|
свободно |
свободно |
свободно |
свободно |
Цикл
ПОКА <условие> команда
выполняется, пока условие истинно, иначе происходит переход на следующую строку.
Сколько клеток лабиринта (см. рис. 24) соответствуют требованию: выполнив предложенную программу, РОБОТ остановится в той же клетке, с которой он начал движение?
НАЧАЛО
ПОКА <справа свободно> вправо
ПОКА <сверху свободно> вверх
ПОКА <слева свободно> влево
ПОКА <снизу свободно вниз
КОНЕЦ

Рис. 24.
1) .
2) .
3) .
4) 4
Часть 2
В1. Информационный объём сообщения в 16-битном коде Unicode составляет 64 Кб. На сколько символов можно увеличить длину исходного сообщения при перекодировке его в 8-битную международную систему кодов ASCII, сохраняя первоначальный информационный объём сообщения?
В2. У исполнителя Вычислитель имеется три команды:
1) умножь на 3
2) умножь на 4
3) вычти 5
Выполняя первую из них, Вычислитель увеличивает число на экране в 3 раза, выполняя вторую, увеличивает число на экране в 4 раза, а выполняя третью, уменьшает число на 5.
Запишите порядок команд в программе преобразования числа 7 в число 44, содержащий не более 4-х команд, указывая лишь номера команд.
Например, 2131 — это программа: умножь на 3, умножь на 4, вычти 5, умножь на 3, которая преобразует число 1 в число 21.
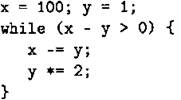
В3. Определите значение переменной Y после выполнения фрагмента программы:
|
Бейсик |
Алгоритмический язык |
|
|
|
|
Паскаль |
Си |
|
|
|
В4. Все 4-буквенные слова, составленные из букв А, В, С, записаны в алфавитном порядке. Вот начало списка:
1. АААА
2. АААВ
3. АААС
4. ААВА
...
Запишите слово, которое стоит на 77-м месте от начала списка.
В5. Дан фрагмент электронной таблицы в режиме отображения формул.
|
|
А |
В |
С |
D |
|
1 |
1 |
|
4 |
9 |
|
2 |
= 3 * А1 |
= 3 * С1 - D1 |
= В1 + А1 |
= 3 * D1/A1 |
Какое число должно быть записано в ячейке £1, чтобы построенная после выполнения вычислений диаграмма по значениям диапазона ячеек А2 : D2 соответствовала рисунку 25?

Рис. 25.
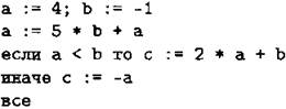
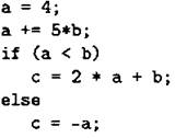
В6. Определите значение переменной с после выполнения следующего фрагмента программы.
|
Паскаль |
Алгоритмический язык |
|
|
|
|
|
|
|
|
Бейсик |
Си |
||
|
|
|
||
В7. Ниже на 4-х языках записан алгоритм. Получив на вход число х, этот алгоритм печатает два числа К и S. Укажите наименьшее из таких чисел х, при вводе которого алгоритм печатает сначала 4, а потом 21.
|
Бейсик |
Паскаль |
|
|
|
|
Алгоритмический язык |
Си |
|
|
|
В8. Запись числа 3410 в системе счисления с основанием N оканчивается на 4 и содержит 3 цифры. Чему равно основание системы счисления N?
В9. На рисунке 26 изображена схема дорог, связывающих города А, В, С, D, Е, F и G. По каждой дороге можно двигаться только в одном направлении, указанном стрелкой. Сколько существует различных путей из города А в город D?

Рис. 26.
В10. У Саши есть доступ к Интернет по высокоскоростному каналу, обеспечивающему скорость получения им информации 128 Кбит/секунду. У Антона нет скоростного доступа в Интернет, но есть возможность получать информацию от Саши по низкоскоростному телефонному каналу со средней скоростью 16 Кбит/секунду. Антон договорился с Сашей, что тот будет скачивать для него данные объёмом 8 Мбайт по высокоскоростному каналу и ретранслировать их Антону по низкоскоростному каналу. Компьютер Саши может начать ретрансляцию данных не раньше, чем им будут получены первые 256 Кбайт этих данных. Каков минимально возможный промежуток времени (в секундах) с момента начала скачивания Сашей данных до полного их получения Антоном? В ответе укажите только число, слово «секунд» или букву «с» добавлять не нужно.
В11. В терминологии сетей TCP/IP маской сети называется двоичное число, определяющее, какая часть IP-адреса узла сети относится к адресу сети, а какая — к адресу самого узла в этой сети. Обычно маска записывается по тем же правилам, что и IP-адрес. Адрес сети получается в результате применения поразрядной конъюнкции к заданному IР-адресу узла и маске. По заданным IP-адресу узла и маске определите адрес сети.
IP—адрес узла: 156.148.124.64
Маска: 255.252.248.0
При записи ответа выберите из приведённых в таблице чисел четыре элемента IP-адреса и запишите в нужном порядке соответствующие им буквы. Точки писать не нужно.
|
А |
В |
С |
D |
Е |
F |
G |
Н |
|
64 |
120 |
124 |
148 |
156 |
248 |
252 |
0 |
Пример. Пусть искомый IР-адрес 192.168.128.0, и дана таблица
|
А |
В |
С |
D |
Е |
F |
G |
Н |
|
128 |
168 |
255 |
8 |
127 |
0 |
17 |
192 |
В этом случае правильный ответ будет записан в виде: HBAF.
В12. Б языке запросов поискового сервера для обозначения логической операции «ИЛИ» в запросе используется символ |, а для логической операции «И» — символ &. В таблице приведены запросы и количество страниц, найденных поисковым сервером по этим запросам в некотором сегменте Интернета:
|
Запрос |
Найдено страниц (в тысячах) |
|
Спорт |
5 820 |
|
Достижения |
6 560 |
|
Спорт & Достижения |
1 980 |
Какое количество страниц (в тысячах) будет найдено по запросу «Спорт | Достижения»? Считается, что все запросы выполнялись практически одновременно, так что набор страниц, содержащих все искомые слова, не изменялся за время выполнения запросов.
В13. Исполнитель Кузнечик живёт на числовой оси. Начальное положение — точка 0.
Система команд исполнителя:
Вперед 4 (Кузнечик прыгает вперед на 4 единицы),
Назад 2 (Кузнечик прыгает назад на 2 единицы).
Программа для Кузнечика — это последовательность команд. Определите количество различных числовых значений, в которых может остановиться Кузнечик после выполнения программы, которая содержит ровно 4 команды.
В14. Определите, какое число будет напечатано в результате выполнения следующего алгоритма (для Вашего удобства алгоритм представлен на четырёх языках):
|
Бейсик |
Паскаль |
|
|
|
|
Алгоритмический язык |
Си |
|
|
|
В15. Сколько существует различных наборов значений логических переменных х1, x2,..., х6, x7, которые удовлетворяют всем перечисленным ниже условиям?

В ответе не нужно перечислять все различные наборы значений х1, x2,..., х6, x7, при которых выполнена данная система равенств. В качестве ответа нужно указать количество таких наборов.
Часть 3
С1. Требовалось написать программу, при выполнении которой с клавиатуры считываются координаты точки на плоскости (х, у — действительные числа) и проверяется принадлежность этой точки заштрихованной области, включая её границы (см. рис. 27).

Рис. 27.
Программист торопился и написал программу неправильно.
|
Бейсик |
Паскаль |
|
|
|
|
Алгоритмический язык |
Си |
|
|
|
Последовательно выполните следующее.
1. Перерисуйте и заполните таблицу, которая показывает, как работает программа при аргументах, принадлежащих различным областям (A, В, С, D, E, F, G и Н). Считать, что все области, кроме заштрихованных, не содержат точек своих границ (см. рис. 28).

Рис. 28.
В столбцах условий укажите «да», если условие выполнится, «нет», если условие не выполнится, «—» (прочерк), если условие не будет проверяться, «не изв.», если программа ведёт себя по-разному для разных значений, принадлежащих данной области. В столбце «Программа выведет» укажите, что программа выведет на экран. Если программа ничего не выводит, напишите «—» (прочерк). Если для разных значений, принадлежащих области, будут выведены разные тексты, напишите «не изв.». В последнем столбце укажите «да» или «нет».
2. Укажите, как нужно доработать программу, чтобы не было случаев её неправильной работы. (Это можно сделать несколькими способами, достаточно указать любой способ доработки исходной программы.)
|
Область |
Усл. 1 у ≤ 6 - |2х + 2| |
Усл. 2 у ≥ 0,5х + 1 |
Усл. 3 х ≤ 0 |
Программа выведет |
Область обрабатывается верно |
|
А |
|
|
|
|
|
|
В |
|
|
|
|
|
|
С |
|
|
|
|
|
|
D |
|
|
|
|
|
|
Е |
|
|
|
|
|
|
F |
|
|
|
|
|
|
G |
|
|
|
|
|
|
Н |
|
|
|
|
|
С2. Дан массив из 40 элементов. Каждый элемент может принимать целочисленные значения от 0 до 300. Опишите на русском языке или на одном из языков программирования алгоритм, который позволит найти произведение тех элементов массива, которые имеют чётный индекс и кратны семи. Гарантируется, что хотя бы один элемент массива удовлетворяет этому условию. Исходные данные объявлены так, как показано ниже. Запрещается использовать переменные, не описанные ниже, но разрешается не использовать часть из них.
|
Паскаль |
Бейсик |
|
|
|
|
СИ |
Естественный язык |
|
|
Объявляем массив А из 40 элементов. Объявляем целочисленные переменныеI, Р. В цикле от 1 до 40 вводим элементы массива А с 1-го по 40-й.... |
В качестве ответа необходимо привести фрагмент программы (или описание алгоритма на естественном языке), который должен находиться на месте многоточия. Вы можете записать решение также на другом языке программирования (укажите название и используемую версию языка программирования, например, Borland Pascal 7.0) или в виде блок-схемы. В этом случае вы должны использовать переменные, аналогичные переменным, используемым в алгоритме, записанном на естественном языке, с учётом синтаксиса и особенностей используемого вами языка программирования.
С3. У исполнителя Х4 две команды, которым присвоены номера:
1. прибавь 1,
2. умножь на 4.
Первая из них увеличивает число на экране на 1, вторая — увеличивает его в 4 раза. Программа для исполнителя Х4 — это последовательность команд.
Определите количество программ, которые число 1 преобразуют в число 19? Ответ обоснуйте.
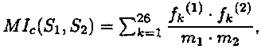
С4. Взаимным индексом совпадения двух строк S1 и S2, содержащих только буквы английского алфавита, называется число

где m1 — длина сообщения S1, m2 — соответственно длина S2, fk(1) — число вхождений буквы, имеющей номер к в английском алфавите, в строку S1, fk(2) — соответственно для S2. Например, индекс совпадения строк «moloko» и «mama» будет
Требуется написать программу, которая вводит с клавиатуры две строки, которые могут содержать кроме букв также знаки препинания и пробелы, и вычисляет их взаимный индекс совпадения.


























