Информатика и ИКТ подготовка к ЕГЭ
Вариант № 7 - Учебно-тренировочные тесты - Учебно-тренировочные тесты
Часть 1
А1. Сколько единиц содержится в двоичной записи числа 2015?
1) .
2) .
3) 1.
4) 15
А2. Между населёнными пунктами А, В, С, D, Е и F построены дороги, протяжённость которых приведена в таблице. (Отсутствие числа в таблице означает, что прямой дороги между пунктами нет.)
|
|
А |
В |
С |
D |
Е |
F |
|
А |
- |
21 |
15 |
- |
- |
- |
|
В |
21 |
- |
- |
4 |
- |
37 |
|
С |
15 |
- |
- |
8 |
32 |
- |
|
D |
- |
4 |
8 |
- |
2 |
- |
|
Е |
- |
- |
32 |
2 |
- |
10 |
|
F |
- |
37 |
- |
- |
10 |
- |
Определите длину кратчайшего пути между пунктами А и F (при условии, что передвигаться можно только по построенным дорогам).
1) 1.
2) 3.
3) 3.
4) 58
А3. Символом F обозначено одно из логических выражений от трёх аргументов: X, Y, Z.
Дан фрагмент таблицы истинности выражения F:
|
X |
Y |
Z |
F |
|
0 |
1 |
1 |
1 |
|
1 |
0 |
0 |
1 |
|
1 |
0 |
1 |
0 |
Какое логическое выражение соответствует F?
![]()
А4. Для групповых операций с файлами используются маски имён файлов. Маска представляет собой последовательность букв, цифр и прочих допустимых в именах файлов символов, в которых также могут встречаться следующие символы: символ «?» (вопросительный знак) означает ровно один произвольный символ; символ «*» (звёздочка) означает любую последовательность символов произвольной длины, в том числе «*» может задавать и пустую последовательность.
В каталоге находятся пять файлов:
lesson.docx
later.doc
lecturer.doc
better.docx
lectems.doc
Определите, по какой из масок из них будет отобрана указанная группа файлов:
lecturer.doc
better.docx
lectems.doc
1) ?e?t*.doc
2) ?e*t*.d?*
3) ?e?*t.d?*
4) *e*t*.d*c
А5. Автомат получает на вход два трёхзначных числа. По этим числам строится новое число по следующим правилам.
1. Вычисляются три числа — удвоенная сумма старших разрядов заданных трёхзначных чисел, удвоенная сумма средних разрядов этих чисел, удвоенная сумма младших разрядов.
2. Полученные три числа записываются друг за другом в порядке убывания (без разделителей).
Пример. Исходные трёхзначные числа: 721, 152. Поразрядные удвоенные суммы: 16,14, 6. Результат: 16146
Определите, какое из следующих чисел может быть результатом работы автомата.
1) 24160.
2) 38261.
3) 36222.
4) 241514
А6. В фрагменте базы данных представлены сведения о родословных сибирских хаски. Определите на основании приведенных данных кличку отца кобеля ARCHIE 2011 года рождения.
|
ID |
Кличка |
Пол |
Год рождения |
|
ID Родителя |
ID Потомка |
|
37 |
CHESTER |
м |
2007 |
|
54 |
26 |
|
26 |
HUSKY |
м |
2009 |
|
54 |
79 |
|
69 |
ALPINA |
ж |
2009 |
|
26 |
79 |
|
58 |
ARCHIE |
м |
2008 |
|
58 |
47 |
|
54 |
ALYASКА |
ж |
2008 |
|
69 |
47 |
|
68 |
ARCHIE |
м |
2011 |
|
49 |
68 |
|
76 |
FLORENA |
ж |
2010 |
|
69 |
68 |
|
47 |
ARGO |
м |
2011 |
|
58 |
76 |
|
49 |
ILVER |
м |
2009 |
|
54 |
76 |
1) ALPINA
2) HUSKY
3) CHESTER
4) ILVER
А7. В ячейке С6 электронной таблицы записана формула = $В3 - 1. Какой вид приобретёт формула, после того как ячейку С6 скопируют в ячейку В4? Примечание: знак $ используется для обозначения абсолютной адресации.
1) = $В3 - .
2) = $А1 - .
3) = $В1 - .
4) = $В4 + 1
А8. Производится одноканальная (моно)звукозапись с частотой дискретизации 24 кГц и 16-битным разрешением. Запись длится 1 минуту, её результаты записываются в файл, сжатие данных не производится. Какая из приведённых ниже величин наиболее близка к размеру полученного файла?
1) 0,4 Мбайт
2) 2 Мбайт
3) 3 Мбайт
4) 4 Мбайт
А9. Для кодирования букв А, В, Р, Т решили использовать двухразрядные двоичные числа 00, 01, 10 и 11 (различным буквам соответствуют разные двоичные числа). Закодировав таким образом слово ТРАВА и записав результат восьмеричным кодом, получили число 1446. Какой двоичный код имеет буква В?
1) 0.
2) 0.
3) 1.
4) 11
А10. Для какого из перечисленных ниже слов истинно высказывание
Первая буква гласная v Вторая буква гласная v Третья буква согласная?
1) плотина
2) плащ
3) аквариум
4) столб
А11. В некоторой библиотеке принята кодировка книг 8-ю символами. В качестве символов используют 15 букв латинского алфавита и десятичные цифры в любом порядке. Каждый код в компьютерной программе записывается минимально возможным и одинаковым целым количеством байт (при этом используют посимвольное кодирование и все символы кодируются одинаковым и минимально возможным количеством бит). Определите объём памяти, отводимый этой программой для записи 252-х кодов.
1) 1260 байт
2) 1008 байт
3) 1000 байт
4) 252 байта
А12. В программе используется одномерный целочисленный массив А с индексами от 1 до 10. Ниже представлен фрагмент программы, записанный на разных языках программирования, в котором значения элементов сначала задаются, а затем меняются.
|
Бейсик |
Паскаль |
|
|
|
|
|
|
СИ |
Алгоритмический язык |
|
|
|
|
|
Чему будут равны элементы этого массива после выполнения фрагмента программы?
1) 10 9 8 7 6 5 4 3 2 1
2) 1 2 3 4 5 4 3 3 4 5
3) 1 2 3 4 5 1 2 3 4 5
4) 1 2 3 4 5 1 2 3 4 10
А13. Система команд исполнителя РОБОТ, «живущего» в прямоугольном лабиринте на клетчатой плоскости включает команды:
|
вверх |
вниз |
влево |
вправо |
сломать перегородку сверху |
При выполнении любой из этих команд РОБОТ перемещается на одну клетку соответственно: вверх ↑, вниз ↓, влево ←, вправо →. При выполнении команды «сломать перегородку сверху» РОБОТ ломает перегородку сверху (границы лабиринта перегородками не считаются).
Пять команд проверяют истинность условия отсутствия стены у каждой стороны той клетки, где находится РОБОТ:
|
сверху |
сверху |
снизу |
слева |
справа |
|
свободно |
перегородка |
свободно |
свободно |
свободно |
Цикл ПОКА <условие> команда
выполняется, пока условие истинно, иначе происходит переход к следующей команде.
Инструкция ЕСЛИ <условие> команда
выполняет команду, если условие истинно, и затем переходит к выполнению следующей команды РОБОТА.
Сколько клеток приведённого лабиринта соответствуют требованию, которое заключается в том, что, выполнив предложенную ниже программу, РОБОТ сломает 1 перегородку (см. рис. 29)?

Рис. 29.
НАЧАЛО
ПОКА <снизу свободно> вниз
ПОКА <слева свободно> влево
ПОКА<сверху свободно вверх
ЕСЛИ <сверху перегородка> ТО сломать перегородку сверху
ПОКА <справа свободно> вправо
КОНЕЦ
1) 3.
2) 3.
3) 2.
4) 0
Часть 2
В1. Один и тот же текст на русском языке записан в различных кодировках. Текст, записанный в 16-битной кодировке Unicode, на 56 бит больше текста, записанного в 8-битной кодировке КОИ-8. Чему равен объём (в битах) этого текста в кодировке КОИ-8?
В2. Исполнитель Калькулятор имеет только две команды, которым присвоены номера:
1. Умножь на 3
2. Вычти 5.
Выполняя команду номер 1, Калькулятор умножает число на экране на 3, а выполняя команду номер 2, вычитает из числа на экране число 5. Напишите программу, содержащую не более 5 команд, которая из числа 3 получает число 51. Укажите лишь номера команд.
Например, последовательность номеров команд 12212 соответствует программе:
Умножь на 3 Вычти 5 Вычти 5 Умножь на 3 Вычти 5, которая преобразует число 7 в число 28.
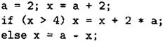
В3. Определите значение переменной Y после выполнения фрагмента программы, записанного ниже на различных языках программирования.
|
Бейсик |
Алгоритмический язык |
|
|
|
|
Паскаль |
Си |
|
|
|
В4. Все 5-буквенные слова, составленные из букв A, В, С, записаны в алфавитном порядке. Вот начало списка:
1. ААААА
2. ААААВ
3. ААААС
4. АААВС
...
Определите номер строки, в которой будет находиться слово СССВА.
В5. Дан фрагмент электронной таблицы:
|
|
А |
В |
|
1 |
|
=А2+А3 |
|
2 |
|
=В1+А2 |
|
3 |
5 |
=В2-В1 |
|
4 |
|
=В3+В2 |
Какое значение должно быть записано в ячейке А2, чтобы после выполнения вычислений была построена диаграмма (см. рис. 30) по значениям диапазона ячеек В1:В4?

Рис. 30.
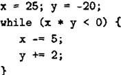
В6. Определите значение переменной х после выполнения фрагмента программы:
|
Бейсик |
Алгоритмический язык |
|
|
|
|
СИ |
Паскаль |
|
|
|
В7. Ниже на 4-х языках записан алгоритм. Получив на вход число х, этот алгоритм печатает два числа А и В. Укажите наибольшее из таких чисел х, при вводе которых алгоритм печатает сначала 4, а потом 10.
|
Бейсик |
Паскаль |
|
|
|
|
Алгоритмический язык |
Си |
|
|
|
В8. Укажите основание системы счисления, в которой число 24010 оканчивается на 62.
В9. На рисунке 31 изображена схема дорог, связывающих города А, В, С, D, Е, F и G. По каждой дороге можно двигаться только в одном направлении, указанном стрелкой. Сколько существует различных путей из города А в город D?

Рис. 31.
В10. Сервер провайдера подключён к Интернету по высокоскоростному каналу 10 Мбит в секунду. Пользователь подключён к Интернету через сервер данного провайдера, причём скорость канала между провайдером и пользователем составляет 64 Кбит в секунду. Пользователю требуется скачать из Интернета файл размером 3 Мб. Сервер провайдера начинает трансляцию данных не раньше, чем им получены первые 640 Кб этих данных. Каков минимально возможный промежуток времени (в секундах) с момента начала скачивания провайдером данных до полного их получения пользователем?
В11. В терминологии сетей TCP/IP маской сети называется двоичное число, определяющее, какая часть IP-адреса узла сети относится к адресу сети, а какая — к адресу самого узла в этой сети. Обычно маска записывается по тем же правилам, что и IP-адрес. Адрес сети получается в результате применения поразрядной конъюнкции к заданному IР-адресу узла и маске. По заданным IP-адресу узла и маске определите адрес сети.
IP—адрес узла: 216.126.249.5
Маска: 255.255.168.0
При записи ответа выберите из приведённых в таблице чисел четыре элемента IP-адреса и запишите в нужном порядке соответствующие им буквы. Точки писать не нужно.
|
А |
В |
С |
D |
Е |
F |
G |
Н |
|
0 |
5 |
255 |
216 |
126 |
168 |
249 |
165 |
Пример. Пусть искомый IP-адрес 192.168.128.0, и дана таблица
|
А |
В |
с |
D |
Е |
F |
G |
Н |
|
128 |
168 |
255 |
8 |
127 |
0 |
17 |
192 |
В этом случае правильный ответ будет записан в виде: HBAF.
В12. В языке запросов поискового сервера для обозначения логической операции «ИЛИ» в запросе используется символ |, а для логической операции «И» — символ &.
В таблице приведены запросы и количество страниц, найденных поисковым сервером по этим запросам в некотором сегменте Интернета.
|
Запрос |
Найдено страниц (в тысячах) |
|
Репродукция | Постер |
8 340 |
|
Постер |
4 160 |
|
Репродукция & Постер |
1 610 |
Какое количество страниц (в тысячах) будет найдено по запросу «Репродукция»?
Считается, что все запросы выполнялись практически одновременно, так что набор страниц, содержащих все искомые слова, не изменялся за время выполнения запросов.
В13. Исполнитель Кузнечик живет на числовой оси. Начальное положение — точка 0.
Система команд исполнителя:
Вперед 5 (Кузнечик прыгает вперед на 5 единиц),
Назад 2 (Кузнечик прыгает назад на 2 единицы).
Какое наименьшее количество раз должна встретиться в программе команда Назад 2, чтобы Кузнечик оказался в точке 24?
В14. Определите, какое число будет напечатано в результате выполнения следующего алгоритма (для Вашего удобства алгоритм представлен на четырёх языках):
|
Алгоритмический язык |
Си |
|
|
|
|
Бейсик |
Паскаль |
|
|
|
В15. Сколько существует различных наборов значений логических переменных х1, х2,..., х9, х10, которые удовлетворяют всем перечисленным ниже условиям?

В ответе не нужно перечислять все различные наборы значений х1, х2,..., х9, х10, при которых выполнена данная система равенств. В качестве ответа нужно указать количество таких наборов.
Часть 3
С1. Требовалось написать программу, которая вводит с клавиатуры координаты точки на плоскости (х, у — действительные числа) и определяет принадлежность точки заштрихованной на рисунке 32 области, включая её границы. Программист торопился и написал программу неправильно.

Рис. 32.
|
Бейсик |
Паскаль |
|
|
|
|
Си |
Алгоритмический язык |
|
|
|
Последовательно выполните следующее.
1. Перерисуйте и заполните таблицу, которая показывает, как работает программа при аргументах, принадлежащих различным областям (A, В, С, D, Е, F, G и H). Считать, что все области, кроме заштрихованных, не содержат точек своих границ (см. рис. 33).

Рис. 33.
В столбцах условий укажите «да», если условие выполнится, «нет», если условие не выполнится, «—» (прочерк), если условие не будет проверяться, «не изв.», если программа ведёт себя по-разному для разных значений, принадлежащих данной области. В столбце «Программа выведет» укажите, что программа выведет на экран. Если программа ничего не выводит, напишите «—» (прочерк). Если для разных значений, принадлежащих области, будут выведены разные тексты, напишите «не изв.». В последнем столбце укажите «да» или «нет».
2. Укажите, как нужно доработать программу, чтобы не было случаев её неправильной работы. (Это можно сделать несколькими способами, достаточно указать любой способ доработки исходной программы.)
|
Область |
Усл. 1 х ≤ у2 |
Усл. 2 х2 + у2 ≤ 4 |
Усл. 3 х ≤ 0 |
Программа выведет |
Область обрабатывается верно |
|
А |
|
|
|
|
|
|
В |
|
|
|
|
|
|
С |
|
|
|
|
|
|
D |
|
|
|
|
|
|
Е |
|
|
|
|
|
|
F |
|
|
|
|
|
|
G |
|
|
|
|
|
|
Н |
|
|
|
|
|
С2. Дан целочисленный массив из 43-х элементов. Элементы массива могут принимать целые значения от 55 до 155. Опишите на русском языке или на одном из языков программирования алгоритм, позволяющий найти и вывести максимальное значение среди элементов массива, которые имеют нечётное значение и не делятся на 9. Гарантируется, что в исходном массиве есть хотя бы один такой элемент.
Исходные данные объявлены так, как показано ниже. Запрещается использовать переменные, не описанные ниже, но использовать все описанные переменные не обязательно.
|
Бейсик |
Алгоритмический язык |
|
|
|
|
Паскаль |
Си |
|
|
|
|
Русский (естественный) язык |
|
|
Объявляем массив А из 43 элементов. Объявляем целочисленные переменные I, J, МАХ. В цикле от 1 до 43 вводим элементы массива А с 1-го по 43-ый. ... |
|
В качестве ответа вам необходимо привести фрагмент программы (или описание алгоритма на естественном языке), который должен находиться на месте многоточия. Вы можете записать решение также на другом языке программирования (укажите название и используемую версию языка программирования, например, Borland Pascal 7.0) или в виде блок-схемы. В этом случае Вы должны использовать те же самые исходные данные и переменные, какие были предложены в условии.
С3. У исполнителя Х5 две команды, которым присвоены номера:
1. прибавь 1,
2. умножь на 5.
Первая из них увеличивает число на экране на 1, вторая — увеличивает его в 5 раз. Программа для исполнителя Х5 — это последовательность команд.
Сколько есть программ, которые число 1 преобразуют в число 37?
Ответ обоснуйте.
С4. На вход программе подаются сведения о заводах, подающих заявку на участие в некотором государственном тендре. В первой строке сообщается количество заявок N, каждая из следующих N строк имеет формат <Название Завода> <Номер Лицензии Завода> <Номер региона>, где <Название Завода> — строка, состоящая не более чем из 50 символов, <Номер Лицензии Завода> — шестизначное число, <Номер региона> — не более чем двузначное натуральное число. <Название Завода> и <Номер Лицензии Завода>, а также <Номер Лицензии Завода> и <Номер региона> разделены одним пробелом.
Пример входных данных:
Ростсельмаш 023398 61
Спринт 342901 77
Рубин 03422161
Армалит 822145 93
Требуется написать как можно более эффективную программу, которая будет выводить на экран информацию, из какого региона было меньше всего заявок (таких регионов может быть несколько). При этом необходимо вывести информацию только по тем регионам, в которых есть завод, подавший заявку. Следует учитывать, что N ≥ 100.
Пример выходных данных:
регион(ы) с наименьшим числом заявок:
77
93



























