Информатика и ИКТ подготовка к ЕГЭ
Вариант № 8 - Учебно-тренировочные тесты - Учебно-тренировочные тесты
Часть 1
А1. Сколько единиц содержится в двоичной записи числа 1935?
1) 1.
2) .
3) .
4) 8
А2. Между населёнными пунктами А, В, С, D, Е и F построены дороги, протяжённость которых приведена в таблице. (Отсутствие числа в таблице означает, что прямой дороги между пунктами нет.)
|
|
А |
В |
С |
D |
Е |
F |
|
А |
- |
13 |
- |
- |
26 |
- |
|
В |
13 |
- |
14 |
4 |
- |
27 |
|
С |
- |
14 |
- |
8 |
32 |
- |
|
D |
- |
4 |
8 |
- |
8 |
- |
|
Е |
26 |
- |
32 |
8 |
- |
10 |
|
F |
- |
27 |
- |
- |
10 |
- |
Определите длину кратчайшего пути между пунктами А и F (при условии, что передвигаться можно только по построенным дорогам).
1) 2.
2) 3.
3) 3.
4) 40
А3. Символом F обозначено одно из логических выражений от трёх аргументов: X, Y, Z. Дан фрагмент таблицы истинности выражения F:
|
X |
Y |
Z |
F |
|
0 |
0 |
0 |
1 |
|
1 |
0 |
1 |
0 |
|
1 |
1 |
1 |
0 |
Какое логическое выражение соответствует F?
![]()
А4. Для групповых операций с файлами используются маски имён файлов. Маска представляет собой последовательность букв, цифр и прочих допустимых в именах файлов символов, в которых также могут встречаться следующие символы: символ «?» (вопросительный знак) означает ровно один произвольный символ; символ «*» (звёздочка) означает любую последовательность символов произвольной длины, в том числе «*» может задавать и пустую последовательность.
В каталоге находятся пять файлов:
project.docx
property.doc
approach.doc
spread, docx
caprice.doc
Определите, по какой из масок из них будет отобрана указанная группа файлов:
project.docx
approach.doc
caprice.doc
1) *pr*c*.d*x
2) *pr?c*.d*
3) ?pr*c?.d*c
4) *pr*c?.d*
A5. Автомат получает на вход два четырёхзначных числа. По этим числам строится новое число по следующим правилам.
1. Вычисляются четыре числа — сумма цифр, стоящих в разряде тысяч заданных четырёхзначных чисел, сумма цифр, стоящих в разряде сотен этих чисел, сумма цифр, стоящих в разряде десятков этих чисел, и сумма цифр младших разрядов.
2. Полученные четыре числа записываются друг за другом в порядке возрастания (без разделителей).
Пример. Исходные четырёхзначные числа: 2788, 4152. Поразрядные суммы: 6, 8,13,10. Результат: 681013
Определите, какое из следующих чисел может быть результатом работы автомата.
1) 10111619
2) 9111518
3) 23809
4) 11151115
А6. В фрагменте базы данных представлены сведения о родословных мопсов. Определите на основании приведенных данных кличку отца кобеля BARNI 2010 года рождения.
|
ID |
Кличка |
Пол |
Год рождения |
|
ID Родителя |
ID Потомка |
|
8 |
BUSTER |
м |
2009 |
|
60 |
87 |
|
37 |
AGENT |
м |
2007 |
|
65 |
87 |
|
80 |
ROZA |
ж |
2007 |
|
69 |
58 |
|
69 |
ALEX |
м |
2008 |
|
80 |
58 |
|
65 |
PANKY |
ж |
2009 |
|
65 |
37 |
|
79 |
BARNI |
м |
2010 |
|
60 |
79 |
|
60 |
RUDY |
м |
2006 |
|
80 |
79 |
|
87 |
SOFI |
ж |
2010 |
|
65 |
90 |
|
58 |
OSKAR |
м |
2010 |
|
37 |
90 |
1) PANKY
2) RUDY
3) OSKAR
4) AGENT
A7. Дан фрагмент электронной таблицы:
|
|
A |
В |
С |
|
1 |
2 |
5 |
=A1+B2 |
|
2 |
=3*A1+1 |
=3*A2+B1 |
=C1+A2 |
Определите значение, записанное в ячейке С2.
1) 1.
2) 2.
3) 4.
4) 35
А8. Производится одноканальная (моно)звукозапись с частотой дискретизации 32 кГц и 24-битным разрешением. Запись длится 1 минуту, её результаты записываются в файл, сжатие данных не производится. Какая из приведённых ниже величин наиболее близка к размеру полученного файла?
1) 1 Мбай.
2) 2 Мбайт
3) 8 Мбай.
4) 5 Мбайт
А9. Для кодирования букв М, О, С, Т решили использовать двухразрядные двоичные числа 10, 11, 101 и 111 (различным буквам соответствуют разные двоичные числа). Закодировав таким образом слово МОСТ и записав результат шестнадцатеричным кодом, получили число 3AF. Какой двоичный код имеет буква О?
1) 1.
2) 1.
3) 10.
4) 111
А10. Для какого из перечисленных ниже имён ложно высказывание
¬(Первая буква согласная ^ Вторая буква согласная) v Последняя буква гласная?
1) Антон
2) Степан
3) Клавдия
4) Роман
A11. В некоторой библиотеке принята кодировка книг 6-ю символами. В качестве символов используют 12 букв латинского алфавита и десятичные цифры в любом порядке. Каждый код в компьютерной программе записывается минимально возможным и одинаковым целым количеством байт (при этом используют посимвольное кодирование и все символы кодируются одинаковым и минимально возможным количеством бит). Определите объём памяти, отводимый этой программой для записи 128-ми кодов.
1) 128 байт
2) 384 байта
3) 480 байт
4) 512 байт
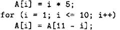
А12. В программе описан одномерный целочисленный массив с индексами от 1 до 10. Ниже представлен фрагмент одной и той же программы, записанный на разных языках программирования, в котором значения элементов массива сначала задаются, а затем меняются.
|
Бейсик |
Алгоритмический язык |
|
|
|
|
Паскаль |
Си |
|
|
|
Чему будут равны элементы этого массива после выполнения этого фрагмента программы?
1) 5 10 15 20 25 30 35 40 45 50
2) 50 45 40 35 30 25 20 15 10 5
3) 5 10 15 20 25 25 20 15 10 5
4) 50 45 40 35 30 30 35 40 45 50
А13. Система команд исполнителя РОБОТ, «живущего» в прямоугольном лабиринте на клетчатой плоскости:
|
вверх |
вниз |
влево |
вправо |
сломать перегородку слева |
При выполнении этих команд РОБОТ перемещается на одну клетку соответственно: вверх ↑, вниз ↓, влево ←, вправо →. При выполнении команды «сломать перегородку слева» РОБОТ ломает перегородку слева (границы лабиринта перегородками не считаются).
Пять команд проверяют истинность условия отсутствия стены у каждой стороны той клетки, где находится РОБОТ:
|
сверху |
слева |
снизу |
слева |
справа |
|
свободно |
перегородка |
свободно |
свободно |
свободно |
Цикл ПОКА <условие> команда выполняется пока условие истинно, иначе происходит переход на следующую строку.
Инструкция ЕСЛИ <условие> команда выполняет команду, если условие истинно, и затем переходит к выполнению следующей команды РОБОТА.
Сколько клеток приведённого лабиринта соответствуют требованию, которое заключается в том, что, выполнив предложенную ниже программу, РОБОТ сломает 1 перегородку (см. рис. 34)?

Рис. 34.
НАЧАЛО
ПОКА <снизу свобода» вниз
ПОКА <слева свободно> влево
ЕСЛИ <слева перегородка> ТО сломать перегородку слева
ПОКА <сверху свободно вверх
ПОКА <справа свободно> вправо
КОНЕЦ
1) 1.
2) 1.
3) 2.
4) 21
Часть 2
В1. Один и тот же текст на русском языке записан в различных кодировках. Текст, записанный в 16-битной кодировке Unicode, на 160 бит больше текста, записанного в 8-битной кодировке КОИ-8. Сколько символов содержит текст?
В2. Исполнитель Калькулятор имеет только две команды, которым присвоены номера:
1. Умножь на 5.
2. Вычти 3.
Выполняя команду номер 1, Калькулятор умножает число на экране на 5, а выполняя команду номер 2, вычитает из числа на экране 3.
Напишите программу, содержащую не более 5 команд, которая из числа 4 получает число 55. Укажите лишь номера команд.
Например, последовательность номеров команд 21212 соответствует программе:
Вычти 3
Умножь на 5
Вычти 3
Умножь на 5
Вычти 3,
которая преобразует число 7 в число 82.
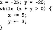
В3. Определите значение переменной Y после выполнения фрагмента программы:
|
Бейсик |
Алгоритмический язык |
|
|
|
|
Паскаль |
Си |
|
|
|
В4. Все 5-буквенные слова, составленные из букв А, В, С, записаны в алфавитном порядке. Вот начало списка:
1. АAAАА
2. ААААВ
3. ААААС
4. АААВС
...
Определите номер строки, в которой будет находиться слово АССВВ.
В5. Дан фрагмент электронной таблицы:
|
|
А |
В |
|
1 |
|
=А1+А3 |
|
2 |
|
=В1-3 |
|
3 |
3 |
=2*В2-В1 |
|
4 |
|
=В1-А3 |
Какое значение должно быть записано в ячейке А1, чтобы после выполнения вычислений была построена диаграмма (см. рис. 35) по значениям диапазона ячеек В1:В4?

Рис. 35.
В6. Определите значение переменной р после выполнения фрагмента программы, записанного ниже на различных языках программирования.
|
Бейсик |
Си |
|
|
|
|
Паскаль |
Алгоритмический язык |
|
|
|
В7. Ниже на 4-х языках записан алгоритм. Получив на вход число х, этот алгоритм печатает два числа А и В. Укажите наибольшее из таких чисел х, при вводе которых алгоритм печатает сначала 3, а потом 4.
|
Бейсик |
Паскаль |
|
|
|
|
Алгоритмический язык |
Си |
|
|
|
В8. Укажите основание системы счисления, в которой число 37910 оканчивается на 73.
В9. На рисунке 36 изображена схема дорог, связывающих города А, В, С, D, Е, F и G. По каждой дороге можно двигаться только в одном направлении, указанном стрелкой. Сколько существует различных путей из города А в город D?

Рис. 36.
В10. Сервер провайдера подключён к Интернету по высокоскоростному каналу 8 Мбит в секунду. Пользователь подключён к Интернету через сервер данного провайдера, причём скорость канала между провайдером и пользователем составляет 128 Кбит в секунду. Пользователю требуется скачать из Интернета файл размером 9 Мб. Сервер провайдера начинает трансляцию данных не раньше, чем им получены первые 256 Кб этих данных.
Каков минимально возможный промежуток времени (в секундах) с момента начала скачивания провайдером данных до полного их получения пользователем?
В11. В терминологии сетей TCP/IP маской сети называется двоичное число, определяющее, какая часть IP-адреса узла сети относится к адресу сети, а какая — к адресу самого узла в этой сети. Обычно маска записывается по тем же правилам, что и IP-адрес. Адрес сети получается в результате применения поразрядной конъюнкции к заданному IР-адресу узла и маске. По заданным IP-адресу узла и маске определите адрес сети.
IP—адрес узла: 224.128.144.7
Маска: 255.255.218.0
При записи ответа выберите из приведённых в таблице чисел четыре элемента IP-адреса и запишите в нужном порядке соответствующие им буквы. Точки писать не нужно.
|
А |
В |
С |
D |
Е |
F |
G |
Н |
|
0 |
7 |
255 |
224 |
218 |
144 |
128 |
116 |
Пример. Пусть искомый IР-адрес 192.168.128.0, и дана таблица
|
А |
В |
С |
D |
Е |
F |
G |
Н |
|
128 |
168 |
255 |
8 |
127 |
0 |
17 |
192 |
В этом случае правильный ответ будет записан в виде: HBAF.
В12. В языке запросов поискового сервера для обозначения логической операции «ИЛИ» в запросе используется символ |, а для логической опeрации «И» — символ &. В таблице приведены запросы и количество страниц, найденных поисковым сервером по этим запросам в некотором сегменте Интернета:
|
Запрос |
Найдено страниц (в тысячах) |
|
Порода | Лошадь |
9 240 |
|
Порода & Лошадь |
2 670 |
|
Лошадь |
5 260 |
Какое количество страниц (в тысячах) будет найдено по запросу «Порода»?
Считается, что все запросы выполнялись практически одновременно, так что набор страниц, содержащих все искомые слова, не изменялся за время выполнения запросов.
В13. Исполнитель Кузнечик живёт на числовой оси. Начальное положение — точка 0.
Система команд исполнителя:
Вперед 8 (Кузнечик прыгает вперед на 8 единиц),
Назад 3 (Кузнечик прыгает назад на 3 единицы).
Какое наименьшее количество раз должна встретиться в программе команда Назад 3, чтобы Кузнечик оказался в точке 18?
В14. Определите, какое число будет напечатано в результате выполнения следующего алгоритма (для Вашего удобства алгоритм представлен на четырёх языках):
|
Бейсик |
Паскаль |
|
|
|
|
|
|
Алгоритмический язык |
Си |
|
|
|
|
|
В15. Сколько существует различных наборов значений логических переменных х1, х2,... х9, х10, которые удовлетворяют всем перечисленным ни же условиям?

В ответе не нужно перечислять все различные наборы значений х1, х2,... х9, х10, при которых выполнена данная система равенств. В качестве ответа нужно указать количество таких наборов.
Часть 3
С1. Требовалось написать программу, которая вводит с клавиатуры координаты точки на плоскости (х, у — действительные числа) и определяет принадлежность точки заштрихованной на рисунке 37 области, включая её границы. Программист торопился и написал программу неправильно.

Рис. 37.
|
Бейсик |
Паскаль |
|
|
|
|
|
|
Си |
Алгоритмический язык |
|
|
|
|
|
Последовательно выполните следующее.
1. Перерисуйте и заполните таблицу, которая показывает, как работает программа при аргументах, принадлежащих различным областям (А, В, С, D, E, F, G и Н). Считать, что все области, кроме заштрихованных, не содержат точек своих границ (см. рис. 38).

Рис. 38.
В столбцах условий укажите «да», если условие выполнится, «нет», если условие не выполнится, «—» (прочерк), если условие не будет проверяться, «не изв.», если программа ведёт себя по-разному для разных значений, принадлежащих данной области. В столбце «Программа выведет» укажите, что программа выведет на экран. Если программа ничего не выводит, напишите «—» (прочерк). Если для разных значений, принадлежащих области, будут выведены разные тексты, напишите «не изв.». В последнем столбце укажите «да» или «нет».
2. Укажите, как нужно доработать программу, чтобы не было случаев её неправильной работы. (Это можно сделать несколькими способами, достаточно указать любой способ доработки исходной программы.)
|
Область |
Усл. 1 y ≥ lxl |
Усл. 2 x2 + у2 ≤ 2 |
Усл. 3 х2 + у2 ≤ 1 |
Программа выведет |
Область обрабатывается верно |
|
A |
|
|
|
|
|
|
В |
|
|
|
|
|
|
С |
|
|
|
|
|
|
D |
|
|
|
|
|
|
E |
|
|
|
|
|
|
F |
|
|
|
|
|
|
G |
|
|
|
|
|
|
H |
|
|
|
|
|
С2. Дан целочисленный массив из 100 элементов. Элементы массива могут принимать целые значения от 1 до 500. Опишите на русском языке или на одном из языков программирования алгоритм, позволяющий найти и вывести минимальное значение среди элементов массива, которые делят максимальное значение элементов массива без остатка. Гарантируется, что в исходном массиве есть хотя бы один элемент, который делит максимальное значение элементов массива без остатка.
Исходные данные объявлены так, как показано ниже. Запрещается использовать переменные, не описанные ниже, но использовать все описанные переменные не обязательно.
|
Бейсик |
Си |
|
|
|
|
Паскаль |
Алгоритмический язык |
|
|
|
|
Русский (естественный) язык |
|
|
Объявляем массив А из 100 элементов. Объявляем целочисленные переменные I, МАХ, MIN. В цикле от 1 до 100 вводим элементы массива А с 1-го по 100-ый. ... |
|
В качестве ответа вам необходимо привести фрагмент программы (или описание алгоритма на естественном языке), который должен находиться на месте многоточия. Вы можете записать решение также на другом языке программирования (укажите название и используемую версию языка программирования) или в виде блок-схемы. В этом случае Вы должны использовать те же самые исходные данные и переменные, какие были предложены в условии.
С3. У исполнителя Х7 две команды, которым присвоены номера:
1. прибавь 1,
2. умножь на 7.
Первая из них увеличивает число на экране на 1, вторая — увеличивает его в 7 раз. Программа для исполнителя Х7 — это последовательность команд. Сколько есть программ, которые число 1 преобразуют в число 54? Ответ обоснуйте.
С4. На вход программе подаются сведения об акциях, торгуемых на фондовой бирже NASDAQ. В первой строке сообщается количество торгуемых акций N, каждая из следующих N строк имеет формат <Название Акции> <Тип Операции> <Цена>, где <Название Акции> — строка, состоящая не более чем из 4 символов, <Тип Операции> — строка, состоящая из символа «5» или «6», причём символ «s» означает, что данную акцию можно продать по указанной цене, а символ «b» — то, что данную акцию можно купить по указанной цене, <Цена> — не более чем трёхзначное целое число. <Название Акции> и <Тип Операции>, а также <Тип Операции> и <Цена> разделены одним пробелом.
Пример входных данных:
MSFT b 26
QQQ s 56
АРР b 389
HP s 59
Требуется написать как можно более эффективную программу, которая будет осуществлять стратегию покупки всех возможных акций, чья стоимость не превышает приемлемой цены 240, и выводить на экран информацию о количестве и средней стоимости всех приобретённых акций. Следует учитывать, что N ≥ 100 000. Также гарантируется, что будет куплена хотя бы 1 акция.
Пример выходных данных:
совершена 1 операция по покупке акций
средняя стоимость 1 приобретённой акции 26 долл.



























