2
4) 11100002
А2. Города А, В, С, D, Е и F связаны между собой дорогами. Наличие дороги между городами показано в таблице (1 — есть дорога).
|
А
|
В
|
С
|
D
|
Е
|
F
|
|
А
|
-
|
1
|
-
|
1
|
1
|
1
|
|
В
|
1
|
-
|
-
|
-
|
-
|
-
|
|
С
|
-
|
-
|
-
|
1
|
-
|
1
|
|
D
|
1
|
-
|
1
|
-
|
-
|
-
|
|
Е
|
1
|
-
|
-
|
-
|
-
|
-
|
|
F
|
1
|
-
|
1
|
-
|
-
|
-
|
Какое максимальное количество дорог можно закрыть на ремонт, чтобы из любого города можно было бы попасть в любой другой (не обязательно напрямую, можно проездом через другие города).
1) .
2) .
3) .
4) 4
А3. Какой из перечисленных ниже фрагментов таблиц истинности соответствует логическому выражению F = (X ^ Z) v (Y ^ Z)?

А4. Имя файла Configurations.http удовлетворяет какой маске?
1) ?on?.*t*
2) *on*.t?p
3) *on?.*p
4) on?.h?p
A5. Боря пригласил своего друга Сашу в гости, но не сказал ему код от цифрового замка своего подъезда, а послал ему следующее SMS-сообщение; «Из последовательности чисел 4, 2, 9, 3, 2 все числа большие б разделить на 3, затем удалить из полученной последовательности все нечётные числа». Выполнив указанные в сообщении действия, Саша получил следующий код для цифрового замка:
1) 4, 2, 1.
2) 4, 2, .
3) 9, .
4) 4, 2
А6. Ниже приведены таблицы из базы данных предприятия по обслуживанию и ремонту компьютеров.
|
Код сотрудника
|
Фамилия
|
|
15
|
Абрамов
|
|
16
|
Ерёменко
|
|
17
|
Никитин
|
|
21
|
Ракотов
|
|
23
|
Филимонов
|
|
Код операции
|
Название работы
|
|
25
|
Установка принтера
|
|
27
|
Ремонт принтера
|
|
30
|
Переустановка ОС
|
|
35
|
Восстановление данных
|
|
41
|
Перепрошивка BIOS
|
|
44
|
Удаление вирусов
|
|
Код сотрудника
|
Код клиента
|
Код операции
|
|
1
|
23
|
1534
|
30
|
|
2
|
15
|
1531
|
41
|
|
3
|
17
|
1533
|
35
|
|
4
|
23
|
1532
|
25
|
|
5
|
21
|
1535
|
30
|
|
6
|
17
|
1531
|
30
|
|
7
|
23
|
1536
|
30
|
|
8
|
15
|
1531
|
35
|
|
9
|
15
|
1536
|
41
|
|
10
|
21
|
1533
|
30
|
|
11
|
21
|
1535
|
30
|
|
12
|
23
|
1536
|
25
|
|
13
|
16
|
1533
|
44
|
|
14
|
16
|
1536
|
27
|
|
15
|
21
|
1531
|
44
|
|
16
|
21
|
1535
|
30
|
|
17
|
23
|
1534
|
44
|
|
18
|
21
|
1535
|
25
|
|
19
|
15
|
1535
|
44
|
|
20
|
21
|
1535
|
27
|
|
Код клиента
|
Фамилия
|
|
1531
|
Акулов
|
|
1532
|
Бобров
|
|
1533
|
Гургевич
|
|
1534
|
Соломин
|
|
1535
|
Хединов
|
|
1536
|
Чурин
|
По данным этих таблиц определите, сколько раз Ракотов переустанавливал ОС Хединову.
1) .
2) .
3) .
4) 0
А7. Дан фрагмент электронной таблицы:
|
А
|
В
|
С
|
|
1
|
5
|
= 2*А1+А$1
|
=А1+В1
|
|
2
|
4
|
|
|
Чему станет равным значение ячейки С2, если содержимое ячейки В1 скопировать в ячейку В2, а ячейки С1 — в ячейку С2?
1) 1.
2) 1.
3) 1.
4) 20
А8. Для хранения изображения размером ах а пикселей необходимо 32 Кб памяти. Найдите а, если количество цветов в палитре равно 65536.
1) .
2) 12.
3) 204.
4) 64
А9. Буквы А, В, С, D кодируются следующим образом: А — 10, В — 11, С — 101, D — 100.
Было получено закодированное сообщение 101010110010.
Декодируйте его.
1) BCCDA
2) BACDA
3) AACDA
4) ВАСАА
А10. Какие из приведённых значений переменных х и у удовлетворяют логическому условию
(x — чётное число) ^ (у — нечётное число) v (произведение х ∙ у делится на 3)?
1) х = 4, у = 2
2) х = 2, у = 6
3) х = 5, у = 5
4) х = 7, у = 5
А11. Некоторое изделие маркируется номером длиной в 9 символов, состоящим из прописных (используется 18 различных букв) и десятичных цифр, взятых в любом порядке.
Каждый такой номер в компьютерной программе записывается минимально возможным и одинаковым целым количеством байт (при этом используется посимвольное кодирование и все символы кодируются одинаковым минимально возможным количеством бит).
Определите объём памяти, отводимый этой программой для записи 120 номеров.
1) 675 байт
2) 720 байт
3) 1080 байт
4) 2430 байт
А12. Дан фрагмент программы, обрабатывающей двухмерный массив А размером n х n.
|
Бейсик
|
|

|
|
Паскаль
|
|

|
|
Алгоритмический язык
|
|

|
Представим массив в виде квадратной таблицы, в которой для элемента массива A[i, j] величина i является номером строки, а величина j — номером столбца, в котором расположен элемент. Тогда данный алгоритм сортирует элементы
1) побочной диагонали таблицы по возрастанию
2) j-гo столбца таблицы по убыванию
3) i-ой строки таблицы по возрастанию
4) главной диагонали таблицы по убыванию
А13. Положение исполнителя Жук «ползающего» в прямоугольном лабиринте на плоскости (см. рис. 59), характеризуется клеткой, где находится Жук, и направлением, куда смотрит Жук (влево, вправо, вверх, вниз).

Рис. 59.
Жук может проверить, есть ли перед ним стена (команда свободно). Также Жук может выполнять две команды: вперёд и поворот. По команде вперёд он перемещается на одну клетку в направлении, куда смотрит. По команде поворот Жук поворачивается налево на 90°, оставаясь в той же клетке.
Жук должен выполнить программу:
НАЧАЛО
ЕСЛИ (свободно) вперёд ИНАЧЕ поворот
поворот
ЕСЛИ (свободно) вперёд ИНАЧЕ поворот
поворот
КОНЕЦ
Сколько клеток лабиринта удовлетворяют условию: начиная с некоторого положения в этой клетке, Жук после выполнения программы остановится в одной из четырёх угловых клеток лабиринта?
1) .
2) .
3) .
4) 4
Часть 2
В1. В кодировке Unicode на каждый символ отводится два байта. Определите информационный объём слова из тридцати двух символов в этой кодировке.
Чему равен информационный объём (в битах) текста, состоящего из тридцати двух символов, в этой кодировке?
В2. Некий исполнитель умеет выполнять две команды:
DEL<число> — удаляет из числовой последовательности все цифры, стоящие на местах, кратных указанному числу;
MOVE — перемещает первую цифру последовательности в конец.
Например, если задана числовая последовательность 1234567, то в результате последовательного выполнения этим исполнителем шести команд: DEL4 DEL3 MOVE DEL2 MOVE DEL2 остаётся цифра 6.
Определите, каково наименьшее число команд, которое необходимо выполнить исполнителю, чтобы из числовой последовательности 123456789 получить цифру 4.
В3. Определите, что будет напечатано в результате работы следующего фрагмента программы:
|
Бейсик
|
Алгоритмический язык
|
|

|

|
|
Паскаль
|
Си
|
|

|

|
В4. Цепочки символов (строки) создаются по следующему правилу: первая строка состоит из одного символа, это латинская буква А. Каждая из следующих цепочек создаётся так: сначала записывается латинская буква, у которой порядковый номер в алфавите совпадает с номером строки, далее дважды записывается цепочка букв из предыдущей строки. Первые 4 строки, созданные по этому правилу, выглядят следующим образом:
1. А
2. ВАА
3. СВААВАА
4. DCBAABAACBAABAA
Латинский алфавит (для справки):
ABCDEFGHIJKLMNOPQRSTUVWXYZ
Определите, сколько раз в 9-й строке встречается буква В?
В5. Дана электронная таблица. Содержимое одной из ячеек скрыто.
|
A
|
В
|
|
1
|

|
=МИН(А1:А3)
|
|
2
|
10
|
=A2-B1
|
|
3
|
6
|
=B4-A3
|
|
4
|
15
|
=CP3HAЧ(A2:A3)
|
После выполнения вычислений была построена диаграмма по значениям ячеек диапазона В1:В4 (см. рис. 60). Восстановите по ней значение неизвестной ячейки.

Рис. 60.
В6. Определите значение переменной k после выполнения фрагмента программы:
|
Бейсик
|
Алгоритмический язык
|
|

|

|
|
Паскаль
|
Си
|
|

|

|
В7. Ниже на 4-х языках записан алгоритм. Получив на вход число х, этот алгоритм печатает три числа К, А и В. Укажите наименьшее из таких чисел х, при вводе которых алгоритм печатает сначала 4, а потом 12 и 5.
|
Бейсик
|
Паскаль
|
|

|

|
|
Алгоритмический язык
|
Си
|
|

|

|
В8. В системе счисления с некоторым основанием десятичное число 909 записывается в виде 109. Укажите это основание.
В9. В горах расположены пять населённых пунктов: А, В, С, D, Е (см. рис. 61). Расстояния указаны в километрах.

Рис. 61.
Найдите длину кратчайшего пути из В в D.
В10. При передаче данных по сети они шифруются так, что объём информации увеличивается на 40%. Передача одного такого сообщения заняла 28 секунд при скорости передачи информации 1,25 Мб/с. Определите исходный объём данных в Мб.
В11. На рисунке 62 записаны фрагменты одного IP-адреса. Каждый из фрагментов обозначен одной из букв А, Б, В и Г. Восстановите из этих фрагментов IP-адрес. В ответе укажите последовательность букв, обозначающих фрагменты, в порядке, соответствующем IР-адресу.

Рис. 62.
В12. На языке запросов поискового сервера для обозначения логической операции «ИЛИ» используется символ |, а для логической операции «И» — символ &. Поисковой сервер в автоматическом режиме составил таблицу ключевых слов для сайтов некоторого сегмента сети. Вот её фрагмент:
|
Ключевое слово
|
Количество страниц, для которых данное слово является ключевым
|
|
Гаджеты
|
430
|
|
Часы
|
480
|
|
Док-станция
|
390
|
Сколько страниц будет найдено по запросу (Гаджеты | Док-станция) & Часы, если по запросу Гаджеты | Док-станция было найдено 700 страниц, по запросу Гаджеты | Часы — 910, а по запросу Док-станция | Часы — 800 страниц?
В13. У исполнителя Вычислитель две команды, которым присвоены номера:
1. целая часть от деления на 3
2. вычти 2
Выполняя первую из них, Вычислитель возвращает целую часть отделения на 3, а выполняя вторую — вычитает 2.
Программа для Вычислителя — это последовательность команд. Сколько различных чисел можно получить из числа 10 с помощью программы, которая содержит ровно 4 команды?
В14. Определите, какое число будет напечатано в результате выполнения следующего алгоритма (для Вашего удобства алгоритм представлен на четырёх языках):
|
Паскаль
|
Бейсик
|
|

|

|
|
Алгоритмический язык
|
Си
|
|

|

|
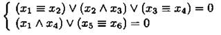
В15. Сколько существует различных наборов значений логических переменных х1, х2,..., х5, х6, которые удовлетворяют всем перечисленным ниже условиям?

В ответе не нужно перечислять все различные наборы значений х1, х2,..., х5, х6, при которых выполнена данная система равенств. В качестве ответа нужно указать количество таких наборов.
Часть 3
С1. Требовалось написать программу, при выполнении которой с клавиатуры считываются координаты точки на плоскости (ж, у — действительные числа) и проверяется принадлежность этой точки заштрихованной области, включая её границы (см. рис. 63).

Рис. 63.
Программист торопился и написал программу неправильно.
|
Паскаль
|
Бейсик
|
|

|

|
|
Алгоритмический язык
|
Си
|
|

|

|
Последовательно выполните следующее.
1. Перерисуйте и заполните таблицу, которая показывает, как работает программа при аргументах, принадлежащих различным областям (A, В, С, D, Е, F, G и Н). Считать, что все области, кроме заштрихованных, не содержат точек своих границ (см. рис. 64).

Рис. 64.
В столбцах условий укажите «да», если условие выполнится, «нет», если условие не выполнится, «—» (прочерк), если условие не будет проверяться, «не изв.», если программа ведёт себя по-разному для разных значений, принадлежащих данной области. В столбце «Программа выведет» укажите, что программа выведет на экран. Если программа ничего не выводит, напишите «—» (прочерк). Если для разных значений, принадлежащих области, будут выведены разные тексты, напишите «не изв.». В последнем столбце укажите «да» или «нет».
2. Укажите, как нужно доработать программу, чтобы не было случаев её неправильной работы. (Это можно сделать несколькими способами, достаточно указать любой способ доработки исходной программы.)
|
Область
|
Усл. 1
у ≥ х2 - 3
|
Усл. 2
х2 + у2 ≤ 9
|
Усл. 3
х ≤ 0
|
Усл. 4
у ≥ о
|
Программа выведет
|
Область
обрабатывается верно
|
|
А
|
|
|
|
|
|
|
|
В
|
|
|
|
|
|
|
|
С
|
|
|
|
|
|
|
|
D
|
|
|
|
|
|
|
|
Е
|
|
|
|
|
|
|
|
F
|
|
|
|
|
|
|
|
G
|
|
|
|
|
|
|
|
Н
|
|
|
|
|
|
|
|
I
|
|
|
|
|
|
|
С2. Дана матрица (двумерный массив) размером 20 х 20. Каждый элемент может принимать целочисленные значения от 0 до 200. Опишите на русском языке или на одном из языков программирования алгоритм, который позволит определить, является ли данная матрица симметричной относительно своей главной диагонали. Исходные данные объявлены так, как показано ниже. Запрещается использовать переменные, не описанные ниже, но разрешается не использовать часть из них.
|
Паскаль
|
Бейсик
|
|

|

|
|
Естественный язык
|
СИ
|
|
Объявляем двумерный массив А размером 20 на 20. Объявляем целочисленные переменные I, J. В цикле от 1 до 20 организуем внутренний цикл от 1 до 20, в котором вводим элементы массива А ...
|

|
В качестве ответа необходимо привести фрагмент программы (или описание алгоритма на естественном языке), который должен находиться на месте многоточия. Вы можете записать решение также на другом языке программирования (укажите название и используемую версию языка программирования, например, Borland Pascal 7.0) или в виде блок-схемы. В этом случае вы должны использовать переменные, аналогичные переменным, используемым в алгоритме, записанном на естественном языке, с учётом синтаксиса и особенностей используемого вами языка программирования.
С3. У исполнителя Р145 три команды, которым присвоены номера:
1. прибавь 1,
2. умножь на 4,
3. умножь на 5.
Первая из них увеличивает число на экране на 1, вторая — в 4 раза, а третья — в 5 раз. Программа для исполнителя Р145 — это последовательность команд.
Сколько есть программ, которые число 1 преобразуют в число 28? Ответ обоснуйте.
С4. На вход программы подаются сведения о набранных на ЕГЭ баллах учениками данной школы по трём предметам. В первой строке сообщается количество учащихся N (N ≤ 100), каждая из следующих N строк имеет формат: <Фамилия> <Инициалы> <БаллыПоРусскомуЯзыку> <БаллыПоМатематике> <БаллыПоИнформатике>, где <Фамилия> — строка, состоящая не более чем из 20 символов, <Инициалы> — строка, состоящая из 4-х символов (буква, точка, буква, точка), <БаллыПоРусскомуЯзыку>, <БаллыПоМатематике>, <БаллыПоИнформатике> — целые числа в диапазоне от 0 до 100. Все элементы одной строки отделены друг от друга пробелом.
Пример входной строки:
Петров С.Н. 78 82 70
Требуется написать как можно более эффективную программу, которая будет выводить на экран фамилии и инициалы учеников, набравших максимальную сумму баллов по трём предметам (таких учеников может быть несколько), а также набранную ими сумму баллов.