2
4) 1110012
А2. Города Ф, В, С, D, Е и F связаны между собой дорогами. Наличие дороги между городами показано в таблице (1 — есть дорога).
|
А
|
В
|
С
|
D
|
Е
|
F
|
|
А
|
-
|
-
|
-
|
1
|
1
|
1
|
|
В
|
-
|
-
|
1
|
1
|
-
|
1
|
|
С
|
-
|
1
|
-
|
1
|
1
|
-
|
|
D
|
1
|
1
|
1
|
-
|
-
|
-
|
|
Е
|
1
|
-
|
1
|
-
|
-
|
-
|
|
F
|
1
|
1
|
“
|
-
|
-
|
-
|
Какое максимальное количество дорог можно закрыть на ремонт, чтобы из любого города можно было бы попасть в любой другой (не обязательно напрямую, можно проездом через другие города).
1) .
2) .
3) .
4) 4
А3. Символом F обозначено логическое выражение от трёх аргументов А, В, С: (А → ¬В) v С. Какой из фрагментов таблиц истинности, приведённых ниже, соответствует данному выражениюF(A, B, C)?

А4. Укажите маску, которой удовлетворяет имя файла Management. docx.
1) ?an*.do?
2) ?an*en?.d*
3) *an*.?o.
4) *a*en.*x
A5. Боря пригласил своего друга Сашу в гости, но не сказал ему код от цифрового замка своего подъезда, а послал ему следующее SMS-сообщение: «Из последовательности чисел 7,4, 5,11,24 все чётные числа разделить на 4, а из нечётных вычесть 5, затем удалить все повторяющиеся числа». Выполнив указанные в сообщении действия, Саша получил следующий код для цифрового замка:
1) 2, 1, .
2) 7, 1, .
3) 2, 1, 0, 6, .
4) 7, 1, 0, 6, 6
А6. База данных о торговых операциях состоит из трёх связанных таблиц. Ниже даны фрагменты этих таблиц.
Таблица зарегистрированных закупок
|
Наименование организации
|
ID организации
|
Регион
|
Адрес
|
|
ИП «Рублев»
|
101
|
Курская область
|
г. Курск, ул. Тверская, 11
|
|
ООО «Фаворит»
|
102
|
Астраханская область
|
г. Астрахань, ул. Доваторов, 20
|
|
ООО «Мастер»
|
103
|
Астраханская область
|
г. Ахтубинск, ул. Красная, 55
|
|
ООО «Фортуна»
|
104
|
Курская область
|
г. Курск, пр. Мирный, 112
|
|
ИП «Марков»
|
105
|
Томская область
|
г. Томск, ул. Ленина, 12
|
|
АО «Янтарь»
|
106
|
Томская область
|
г. Асино, ул. Серова, 3
|
Таблица товаров
|
Наименование товара
|
Артикул
|
Цена за упаковку, вруб.
|
Количество единиц в упаковке
|
|
Папка-файл
|
326058
|
89,00
|
1
|
|
Механический карандаш
|
102692
|
70,80
|
2
|
|
Ручка гелевая
|
259669
|
84,89
|
10
|
|
Калькулятор
|
353388
|
309,00
|
1
|
|
Краски
|
255617
|
224,00
|
25
|
|
Ежедневник
|
253014
|
354,00
|
100
|
Таблица отгруженных товаров
|
Номер накладной
|
Отгружено партнёру (ID)
|
Количество упаковок
|
Артикул товара
|
Дата отгрузки
|
|
Н002
|
102
|
100
|
102692
|
05.11.2011
|
|
Н003
|
103
|
200
|
253014
|
05.11.2011
|
|
Н004
|
102
|
100
|
253014
|
06.11.2011
|
|
Н005
|
101
|
200
|
326058
|
06.11.2011
|
|
Н006
|
104
|
100
|
253014
|
07.11.2011
|
Определите по указанным фрагментам таблиц, сколько упаковок ежедневников было отгружено в период с 5 по 7 ноября 2011 года в Астраханскую область.
1) 10.
2) 20.
3) 30.
4) 400
А7. Дан фрагмент электронной таблицы:
|
А
|
В
|
С
|
|
1
|
6
|
=$А1 + 2 * А$1
|
=$А1+В$1
|
|
2
|
2
|
|
|
Чему станет равным значение ячейки С2, если ячейку В1 скопировать в ячейку В2, а ячейку С1 — в ячейку С2?
1) 1.
2) 1.
3) 2.
4) 20
А8. Изображение размером 2ах а имеет размер 4 Кбайта. Найдите а, если известно, что используется палитра с 65536 цветами.
А9. Буквы N, О, Р, Е кодируются как 00, 11, 101, 010 соответственно. Декодируйте полученное сообщение 1010100010101011.
1) PENPE.
2) PPNEPEO
3) PPENPE.
4) PEEPNO
А10. Укажите пару чисел хну, для которых выражение ¬ ((х кратно 3) ^ (у — чётное)) ^ (цифры числа х+у — взаимно просты) будет истинно.
1) х = 21, у = 18
2) х = 5, y = 28
3) х = 36, у = 7
4) х = 2, у = 42
A11. Некоторое изделие маркируется номером длиной 12 символов, состоящим из прописных букв (используется 25 различных букв) и десятичных цифр, взятых в любом порядке.
Каждый такой номер в компьютерной программе записывается минимально возможным и одинаковым целым количеством байт (при этом используется посимвольное кодирование и все символы кодируются минимально возможным количеством бит).
Определите объём памяти, отводимый этой программой для записи 100 номеров.
1) 750 байт
2) 900 байт
3) 3750 байт
4) 6000 байт
А12. Дан фрагмент программы, обрабатывающей двухмерный массив А размером n х n.
|
Бейсик
|
|

|
|
Паскаль
|
|

|
|
Алгоритмический язык
|
|

|
Представим массив в виде квадратной таблицы, в которой для элемента массива A[i, j] величина i является номером строки, величина j — номером столбца, в котором расположен элемент,k < n. Тогда данный алгоритм сортирует элементы
1) k-ой строки таблицы по убыванию;
2) k-го столбца таблицы по убыванию;
3) k-ой строки таблицы по возрастанию;
4) главной диагонали таблицы по возрастанию.
А13. Положение исполнителя Жук, «ползающего» в прямоугольном лабиринте на плоскости (см. рис. 65), характеризуется клеткой, где находится Жук, и направлением, куда смотрит Жук (влево, вправо, вверх, вниз).

Рис. 65.
Жук может проверить, есть ли перед ним стена (команда свободно). Также Жук может выполнять две команды: вперёд и поворот. По команде вперёд он перемещается на одну клетку в направлении, куда смотрит. По команде поворот Жук поворачивается налево на 90°, оставаясь в той же клетке.
Жук должен выполнить программу:
НАЧАЛО
ЕСЛИ (свободно) вперёд ИНАЧЕ поворот
поворот
ЕСЛИ (свободно) вперёд ИНАЧЕ поворот
поворот
КОНЕЦ
Известно, что изначально Жук смотрит влево. Сколько клеток лабиринта удовлетворяют условию: начиная с них, Жук после выполнения программы по-прежнему смотрит влево?
1) .
2) .
3) .
4) 4
Часть 2
В1. В кодировке Unicode на каждый символ отводится два байта. Чему равен информационный объём (в битах) текста, состоящего из шестнадцати символов, в этой кодировке?
В2. Некий исполнитель умеет выполнять две команды:
DEL<n> — удаляет из числовой последовательности цифры, стоящие на местах n и n + 1, и на их место ставит модуль разности этих чисел;
ЕХСН<n> — меняет местами цифры, стоящие на местах n и n + 1.
Например, если задана числовая последовательность 12345, то в результате последовательного выполнения этим исполнителем шести команд: DEL4 ЕХСН3 DEL3 DELI DEL1 остаётся цифра 1.
Определите, каково наименьшее число команд, которое необходимо выполнить исполнителю, чтобы из числовой последовательности 123456 получить цифру 3.
В3. Определите, что будет напечатано в результате работы следующего фрагмента программы:
|
Бейсик
|
Алгоритмический язык
|
|

|

|
|
Паскаль
|
Си
|
|

|

|
В4. Цепочки символов (строки) создаются по следующему правилу: первая строка состоит из одной латинской буквы А. Каждая из следующих цепочек создаётся так: между двумя копиями цепочек из предыдущей строки вставляется латинская буква, номер которой в алфавите совпадает с номером строки. Первые 4 строки, созданные по этому правилу, выглядят следующим образом:
1. А
2. АВА
3. ABAC АВА
4. ABACABADABACABA
Латинский алфавит (для справки):
ABCDEFGHIJKLM NOPQRSTUVWXYZ
Определите, сколько раз в 9-й строке встречается сочетание АС?
В5. Дана электронная таблица. Содержимое одной из ячеек скрыто.
|
А
|
В
|
|
1
|
12
|
=НОД(А1:А3)
|
|
2
|
18
|
=А2-2*В1
|
|
3
|

|
=А4-В1
|
|
4
|
12
|
=СРЗНАЧ(А3;В2)
|
После выполнения вычислений была построена диаграмма по значениям ячеек диапазона В1:В4 (см. рис. 66). Восстановите по ней значение неизвестной ячейки.

Рис. 66.
В6. Определите значение целочисленной переменной к после выполнения фрагмента программы (переменные i, n — целого типа):
|
Бейсик
|
Алгоритмический язык
|
|

|

|
|
Паскаль
|
Си
|
|

|

|
В7. Ниже на 4-х языках записан алгоритм. Получив на вход число х, этот алгоритм печатает три числа К, А и В. Укажите наибольшее из таких чисел х, при вводе которых алгоритм печатает сначала 5, а потом 12 и 6.
|
Бейсик
|
Паскаль
|
|

|

|
|
Алгоритмический язык
|
Си
|
|

|

|
В8. В системе счисления с некоторым основанием число 2358 записывается в виде 111. Найдите основание этой системы.
В9. В горах расположены пять населённых пунктов: А, В, С, D, E (см. рис. 67). Расстояния указаны в километрах.

Рис. 67.
Найдите длину кратчайшего пути из В в D.
В10. Перед передачей по сети данные шифруются так, что объём информации увеличивается на 20%. Определите, сколько секунд займёт передача зашифрованного файла, исходный объём которого 60 Мб, если скорость передачи информации по сети равна 4 Мб/с.
В11. На рисунке 68 записаны фрагменты одного IP-адреса. Каждый из фрагментов обозначен одной из букв А, Б, В и Г. Восстановите из этих фрагментов IP-адрес. В ответе укажите последовательность букв, обозначающих фрагменты, в порядке, соответствующем IР-адресу.

Рис. 68.
В12. На языке запросов поискового сервера для обозначения логической операции «ИЛИ» используется символ |, а для логической операции «И» — символ &.
Поисковый сервер в автоматическом режиме составил таблицу ключевых слов для сайтов некоторого сегмента сети. Вот её фрагмент:
|
Ключевое слово
|
Количество страниц, для которых данное слово является ключевым
|
|
Смартфон
|
130
|
|
Платформа
|
280
|
|
Дисплей
|
310
|
Сколько страниц будет найдено по запросу Смартфон | Дисплей | Платформа, если по запросу Смартфон & Дисплей было найдено 0 страниц, по запросу Смартфон & Платформа — 40, а по запросу Дисплей & Платформа — 70 страниц?
В13. У исполнителя Вычислитель две команды, которым присвоены номера:
1. целая часть от деления на 2
2. вычти 3
Выполняя первую из них, Вычислитель возвращает целую часть отделения на 2, а выполняя вторую — вычитает 3.
Программа для Вычислителя — это последовательность команд. Сколько различных чисел можно получить из числа 25 с помощью программы, которая содержит ровно 4 команды?
В14. Определите, какое число будет напечатано в результате выполнения следующего алгоритма (для Вашего удобства алгоритм представлен на четырёх языках):
|
Алгоритмический язык
|
Паскаль
|
|

|

|
|
Бейсик
|
Си
|
|

|

|
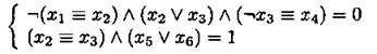
В15. Сколько существует различных наборов значений логических переменных х1, х2,..., х5, х6, которые удовлетворяют всем перечисленным ниже условиям?

В ответе не нужно перечислять все различные наборы значений х1, х2,..., х5, х6, при которых выполнена данная система равенств. В качестве ответа нужно указать количество таких наборов.
Часть 3
С1. Требовалось написать программу, при выполнении которой с клавиатуры считываются координаты точки на плоскости (х, у — действительные числа) и проверяется принадлежность этой точки заштрихованной области, включая её границы (см. рис. 69).

Рис. 69.
Программист торопился и написал программу неправильно.
|
Бейсик
|
Паскаль
|
|

|

|
|
Алгоритмический язык
|
Си
|
|

|

|
Последовательно выполните следующее.
1. Перерисуйте и заполните таблицу, которая показывает, как работает программа при аргументах, принадлежащих различным областям (А, В, С, D, E, F, G и Н). Считать, что все области, кроме заштрихованных, не содержат точек своих границ (см. рис. 70).

Рис. 70.
В столбцах условий укажите «да», если условие выполнится, «нет», если условие не выполнится, «—» (прочерк), если условие не будет проверяться, «не изв.», если программа ведёт себя по-разному для разных значений, принадлежащих данной области. В столбце «Программа выведет» укажите, что программа выведет на экран. Если программа ничего не выводит, напишите «—» (прочерк). Если для разных значений, принадлежащих области, будут выведены разные тексты, напишите «не изв.». В последнем столбце укажите «да» или «нет».
2. Укажите, как нужно доработать программу, чтобы не было случаев её неправильной работы. (Это можно сделать несколькими способами, достаточно указать любой способ доработки исходной программы.)
|
Область
|
Уcл. 1
х2 + у2 ≤ 9
|
Уcл. 2
y ≤ -х2
|
Уcл. 3
х ≥ 0
|
Программа выведет
|
Область обрабатывается верно
|
|
А
|
|
|
|
|
|
|
В
|
|
|
|
|
|
|
С
|
|
|
|
|
|
|
D
|
|
|
|
|
|
|
Е
|
|
|
|
|
|
|
F
|
|
|
|
|
|
|
G
|
|
|
|
|
|
|
Н
|
|
|
|
|
|
С2. Дана матрица (двумерный массив) размером 20 х 20. Каждый элемент может принимать целочисленные значения от 0 до 200. Опишите на русском языке или на одном из языков программирования алгоритм, который позволит найти и вывести максимальное значение среди элементов побочной диагонали. Исходные данные объявлены так, как показано ниже. Запрещается использовать переменные, не описанные ниже, но разрешается не использовать часть из них.
|
Паскаль
|
Бейсик
|
|

|

|
|
Естественный язык
|
СИ
|
|
Объявляем двумерный массив А размером 20 на 20. Объявляем целочисленные переменные I, J. В цикле от 1 до 20 организуем внутренний цикл от 1 до 20, в котором вводим элементы массива А.
...
|

|
В качестве ответа необходимо привести фрагмент программы (или описание алгоритма на естественном языке), который должен находиться на месте многоточия. Вы можете записать решение также на другом языке программирования (укажите название и используемую версию языка программирования, например, Borland Pascal 7.0) или в виде блок-схемы. В этом случае вы должны использовать переменные, аналогичные переменным, используемым в алгоритме, записанном на естественном языке, с учётом синтаксиса и особенностей используемого вами языка программирования.
С3. У исполнителя Р137 три команды, которым присвоены номера:
1. прибавь 1,
2. умножь на 3,
3. умножь на 7.
Первая из них увеличивает число на экране на 1, вторая — в 3 раза, а третья — в 7 раз. Программа для исполнителя Р137 — это последовательность команд.
Сколько есть программ, которые число 1 преобразуют в число 28? Ответ обоснуйте.
С4. На вход программе подаются сведения о набранных на ЕГЭ баллах учениками данной школы по трём предметам. В первой строке сообщается количество учащихся N, каждая из следующих N строк имеет формат: <Фамилия> <Инициалы> <БаллыПоРусскомуЯзыку> <БаллыПоМатематике> <БаллыПоИнформатике>, где < Фамилия > — строка, состоящая не более чем из 20-ти символов, <Инициалы> — строка, состоящая из 4-х символов (буква, точка, буква, точка), <БаллыПоРусскомуЯзыку>, <БаллыПоМатематике>, <БаллыПоИнформатике> — целые числа в диапазоне от 0 до 100. Все элементы одной строки отделены друг от друга пробелом.
Пример входной строки:
Петров С.Н. 78 82 70
Требуется написать как можно более эффективную программу, которая будет выводить на экран фамилии и инициалы учеников, набравших минимальное среднее арифметическое баллов по трём предметам, отличное от 0 (таких учеников может быть несколько), а также среднее арифметическое набранных ими баллов.
Следует учитывать, что N ≤ 100.