8
4) 668
А2. В соревнованиях по ориентированию участникам нужно преодолеть 5 контрольных пунктов, начиная с пункта А за наименьшее время и вернуться на старт. В таблице представлены расстояния между этими пунктами.
|
А
|
В
|
С
|
D
|
Е
|
|
А
|
-
|
10
|
-
|
12
|
15
|
|
В
|
10
|
-
|
4
|
-
|
8
|
|
С
|
-
|
4
|
-
|
6
|
-
|
|
D
|
12
|
-
|
6
|
-
|
8
|
|
Е
|
15
|
8
|
-
|
8
|
-
|
Определите длину кратчайшего маршрута. (Через каждый из контрольных пунктов можно проходить только один раз.)
1) 2.
2) 3.
3) 4.
4) 43
А3. Дан фрагмент таблицы истинности выражения F:
|
X
|
Y
|
Z
|
F
|
|
0
|
1
|
1
|
0
|
|
1
|
0
|
1
|
1
|
|
1
|
1
|
0
|
0
|
|
0
|
0
|
0
|
0
|
Каким выражением может быть F?

А4. В корневой папке на диске G находится файл font.tex. В этой папке создали каталог texmf и в нём подкаталог fonts. Каково будет полное имя файла после перемещения его в этот подкаталог?
1) G\texmf\fonts\font
2) G:\fonts\texmf\font.tex
3) G:\texmf\fonts\font.te.
4) texmf\fonts\font
А5. Сергей решил записать в зашифрованном виде цифровой PIN-код своего мобильного телефона. Он обнаружил, что PIN-код можно получить из слова ДЕНЕЖКА, если над ним проделать следующие преобразования: каждую букву заменить на порядковый номер буквы в алфавите, в полученной цифровой последовательности убрать каждую третью цифру и переписать полученную последовательность в обратном порядке. Найдите PIN-код.
1) 11646.
2) 56461.
3) 21656.
4) 616811
А6. База данных о торговых операциях состоит из трёх связанных таблиц. Ниже даны фрагменты этих таблиц.
Таблица зарегистрированных закупок
|
Наименование организации
|
ID дилера
|
Регион
|
Адрес
|
|
ОАО «Инпонго»
|
D01
|
Московская обл.
|
г. Москва, ул. Тверская, 112
|
|
ОАО «Кейт»
|
D02
|
Тверская обл.
|
г. Тверь, ул. Прямая, 17
|
|
ОАО «Диджитал»
|
D03
|
Ростовская обл.
|
г. Таганрог, пр. Мира, 8
|
|
ООО «Фамблоза»
|
D04
|
Ростовская обл.
|
г. Новочеркаск, ул. Ленина, 6
|
|
ИП Ковалёв
|
D05
|
Московская обл.
|
г. Электросталь, ул. Свободы, 28
|
|
ЗАО «Железняки»
|
D06
|
Московская обл.
|
г. Москва, ул. Темерницкая, 32
|
Таблица отгруженных товаров
|
Номер накладной
|
Отгружено дилеру (ID)
|
Количество упаковок
|
Артикул товара
|
Дата отгрузки
|
|
001
|
D01
|
300
|
01002
|
06.04.2011
|
|
002
|
D02
|
100
|
01002
|
06.04.2011
|
|
003
|
D06
|
200
|
01002
|
06.04.2011
|
|
004
|
D01
|
20
|
02002
|
06.04.2011
|
|
005
|
D02
|
30
|
02002
|
06.04.2011
|
|
006
|
D02
|
20
|
01003
|
06.04.2011
|
Таблица товаров
|
Наименование товара
|
Артикул
|
Отдел
|
Количество единиц в упаковке
|
|
ОЗУ
|
01001
|
Комплектующие
|
24
|
|
Бумага А4, пачка 500 листов
|
01002
|
Расходные материалы
|
5
|
|
Корпус
|
01003
|
Комплектующие
|
10
|
|
Диски DVD-RW
|
02001
|
Расходные материалы
|
100
|
|
Сетевой фильтр
|
02002
|
Электротовары
|
50
|
|
Флеш накопители
|
02003
|
Электротовары
|
20
|
Сколько корпусов было отгружено для ОАО «Кейт» 6 апреля 2011 года?
1) 100.
2) 20.
3) 50.
4) 1500
А7. Дан фрагмент электронной таблицы:
|
А
|
В
|
С
|
|
1
|
2
|
5
|
=А1+В2
|
|
2
|
=3*А1 + 1
|
=3*А2+В1
|
=С1+А2
|
Определите значение, записанное в ячейке С2.
1) .
2) 1.
3) 1.
4) 22
А8. Для хранения растрового изображения размером 752 х 512 пикселей отвели 235 Кбайт памяти. Каково максимально возможное число цветов в палитре изображения?
1) .
2) 1.
3) 3.
4) 62
А9. Для кодирования букв A, B, C, D, E заданы их двоичные коды (для некоторых букв — из трёх бит, для некоторых — из четырёх). Эти коды представлены в таблице.
|
А
|
В
|
С
|
D
|
Е
|
|
110
|
101
|
1001
|
1011
|
1000
|
Определите, какой набор букв закодирован двоичной строкой 101110101110011000.
1) DCAEB
2) ECDAB
3) BADCE
4) CDEAB
А10. А, В, С — целые числа, для которых истинно высказывание 
Чему равно А, если В = 13, С = 16?
1) 1.
2) 1.
3) 1.
4) 16
A11. Каждый пользователь сети обладает паролем вида XZYYYYZ, где X — строчная буква английского алфавита, Y — цифра 0, 1,..., 9 и Z — либо 0, либо 1. Кодирование паролей осуществляется посимвольно. Каждый из символов X, Y и Z кодируется минимально возможным количеством бит, а каждый пароль занимает одинаковое целое число байт. Какой объём информации потребуется для хранения 20 паролей?
1) 54 байта
2) 60 байт
3) 72 байта
4) 140 байт
А12. Значения элементов двумерного массива задаются с помощью вложенного оператора цикла в следующем фрагменте программы:
|
Бейсик
|
Алгоритмический язык
|
|

|

|
|
Си
|
Паскаль
|
|

|

|
Сколько элементов массива будут иметь положительные значения?
1) 10.
2) 50
3) 4.
4) 10
А13. При посадке на Марс у робота-разведчика произошёл сбой программы, в результате этого сбоя, он отключится, при изменении направления движения на клетке, у которой сумма координат кратна 3.
Робот может выполнять команды вверх, вниз, налево и направо и двигаться на одну клетку в соответствующем направлении; может проверять, есть ли на пути его движения препятствие, командами: слева свободно, справа свободно, сверху свободно, снизу свободно. Команда пока <условие> действие позволяет роботу выполнять действие, пока условие истинно, иначе происходит переход на следующую команду. На рисунке 71 представлена карта местности.
Робот находится на одной из клеток нижней горизонтали, и ему необходимо достичь верхней горизонтали и не отключиться.
Робот запрограммирован на движение по следующему алгоритму:

Рис. 71.
Начало
пока <сверху свободно> вверх
пока <справ а свободно> направо
пока <снизу свободно> вниз
пока <справа свободно> направо
пока <сверху свободно> вверх
пока <слева свободно> налево
пока <сверху свободно> вверх
Конец
Определите количество возможных клеток нижней горизонтали, на которых он может находиться изначально.
1) .
2) .
3) .
4) 4
Часть 2
В1. Два текста на русском языке записаны в различных кодировках. Первый текст состоит из 240 символов и записан в 16-битной кодировке Unicode, второй текст состоит из 120 символов и записан в 8-битной кодировке КОИ-8. Во сколько раз количество информации в первом тексте больше количества информации во втором тексте?
В2. У исполнителя Сумматор есть три окна, в каждом из которых написано по числу, а также три команды, которым присвоены номера:
1) запиши сумму чисел в первое окно,
2) запиши сумму чисел во второе окно,
3) запиши предыдущее число в третье окно.
Выполняя первую из них, Сумматор складывает все числа в окнах и заменяет этой суммой число в первом окне, выполняя вторую, складывает все числа и заменяет этой суммой число во втором окне, а выполняя третью, копирует последнюю полученную сумму в третье окно, оставляя остальные окна без изменений. Если команда номер 3 выполняется первой, то в третье окно записывается 0. Запишите порядок команд в программе получения из тройки чисел 1, 2, 3 тройки чисел 20, 13, 6, содержащей не более 5 команд. В ответе укажите только номера команд.
В3. Определите, что будет напечатано в результате работы следующего фрагмента программы:
|
Паскаль
|
Алгоритмический язык
|
|

|

|
|
Бейсик
|
Си
|
|

|

|
В4. Строки (цепочки латинских букв и символа «*») создаются по следующему правилу. Первая строка состоит из произвольного слова — например, «HAPPY». Каждая из последующих строк создаётся следующими действиями: в очередную строку сначала записывается символ, чей порядковый номер в предыдущей строке соответствует номеру данной строки (на i-м шаге пишется <Ф>-й символ), к нему справа ставится символ «*» и приписывается предыдущая строка, из которой исключается последний символ.
Вот первые 4 строки, созданные по этому правилу для слова «HAPPY»:
1. HAPPY
2. А*НАРР
3. Н*А*НАР
4. **Н*А*НА
Запишите пять символов подряд, стоящих в 23-й строке с 1-го места (считая слева направо), если первая строка состоит из слова «НОМЕ».
В5. Дан фрагмент электронной таблицы. Значения двух ячеек В1 и С2 не видны. По данным таблицы построены две диаграммы (см. рис. 72). Диаграмма 1) — по значениям ячеек диапазона А1 : D1, диаграмма 2) — по значениям ячеек диапазона А2 : D2.
|
А
|
В
|
С
|
D
|
Е
|
|
1
|
70
|
40
|

|
60
|
=CP3HAЧ(A1:D1)
|
|
2
|
7
|
28
|

|
14
|
=СУММ(А2:02)/НОД(А2:02)
|
|
3
|
=Е1/Е2
|
|
|
|

Рис. 72.
Определите значение ячейки АЗ. Для определения недостающих данных воспользуйтесь диаграммами.
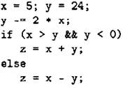
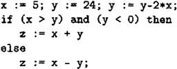
В6. Определите значение переменной z после выполнения следующего фрагмента программы.
|
Бейсик
|
Си
|
|

|

|
|
Паскаль
|
Алгоритмический язык
|
|

|

|
В7. Ниже на 4-х языках записан алгоритм. Получив на вход число х, этот алгоритм печатает два числа А и В. Укажите наименьшее из таких чисел х, при вводе которых алгоритм печатает сначала 5, а потом 3.
|
Бейсик
|
Паскаль
|
|

|

|
|
Алгоритмический язык
|
Си
|
|

|

|
В8. Известно, что 277t = 232х и 98х = 3435. Найдите основание системы счисления t.
В9. В таблице представлены сведения о возможности проезда из одного пункта в другой. Пункты обозначены буквами А, В, С, D, Е и F. В таблице символ 1 указывает на возможность проезда, прочерк означает, что между пунктами движение в соответствующем направлении отсутствует.
|
А
|
В
|
С
|
D
|
Е
|
F
|
|
А
|
-
|
1
|
-
|
1
|
-
|
1
|
|
В
|
-
|
-
|
1
|
-
|
1
|
1
|
|
С
|
-
|
-
|
-
|
-
|
1
|
1
|
|
D
|
-
|
-
|
1
|
-
|
1
|
1
|
|
Е
|
-
|
-
|
-
|
-
|
-
|
1
|
|
F
|
-
|
-
|
-
|
-
|
-
|
-
|
Сколько существует различных возможностей проезда из пункта А в пункт F?
В10. Определите время (в секундах) передачи файла размером 20 МБ по каналу связи со скоростью 128000 бит в секунду. Ответ округлите до целых.
В11. Необходимо получить доступ к файлу с именем letter.doc по протоколу HTTP, который находится на сервере lravel.org в каталоге important. В таблице закодированы фрагменты адреса файла. Запишите последовательность букв, соответствующую адресу указанного файла в сети Интернет.
|
А
|
В
|
С
|
D
|
E
|
F
|
G
|
H
|
|
travel
|
.doc
|
.org
|
important
|
://
|
/letter
|
http
|
/
|
В12. В таблице приведены запросы к поисковому серверу. Расположите запросы к поисковому серверу в порядке убывания количества найденных страниц. Для обозначения логической операции «ИЛИ» в запросе используется символ |, для логической операции «И» — &.
|
A
|
(Справочник | Живопись) & Художник
|
|
В
|
Справочник | Живопись
|
|
С
|
Живопись & Художник
|
|
D
|
Художник & Живопись & Справочник & Акварель
|
В13. Исполнитель может обрабатывать двоичные последовательности, используя следующие операции:
1. сдвигать последовательность на один разряд влево (при этом справа дописывается 0, например 11 → 110),
2. прибавлять к двоичному числу, соответствующему данной последовательности, число 1(например 10 → 11).
Программа для исполнителя — это последовательность команд. Сколько различных последовательностей можно получить из последовательности 11 с помощью программы, которая содержит ровно 4 команды?
В14. Определите, какое число будет напечатано в результате выполнения следующего алгоритма:
|
Бейсик
|
Паскаль
|
|

|

|
|
Алгоритмический язык
|
Си
|
|

|

|
В15. Сколько различных решений имеет уравнение
где А, В, С — логические переменные?
В ответе не нужно перечислять все различные наборы значений А, В и С, при которых выполнимо данное равенство. В качестве ответа нужно указать только количество таких наборов.
Часть 3
Cl. Требовалось написать программу, при выполнении которой с клавиатуры считываются координаты точки на плоскости (x, у — действительные числа) и проверяется принадлежность этой точки заштрихованной области, включая её границы (см. рис. 73).

Рис. 73.
Программист торопился и написал программу неправильно.
|
Бейсик
|
Паскаль
|
|

|

|
|
Алгоритмический язык
|
Си
|
|

|

|
Последовательно выполните следующее.
1. Перерисуйте и заполните таблицу, которая показывает, как работает программа при аргументах, принадлежащих различным областям (A, В, С, D, Е, F, G и H). Считать, что все области, кроме заштрихованных, не содержат точек своих границ (см. рис. 74).

Рис. 74.
В столбцах условий укажите «да», если условие выполнится, «нет», если условие не выполнится, «—» (прочерк), если условие не будет проверяться, «не изв.», если программа ведёт себя по-разному для разных значений, принадлежащих данной области. В столбце «Программа выведет» укажите, что программа выведет на экран. Если программа ничего не выводит, напишите «—» (прочерк). Если для разных значений, принадлежащих области, будут выведены разные тексты, напишите «не изв.». В последнем столбце укажите «да» или «нет».
2. Укажите, как нужно доработать программу, чтобы не было случаев её неправильной работы. (Это можно сделать несколькими способами, достаточно указать любой способ доработки исходной программы.)
|
Область
|
Уcл. 1
у ≤ 2cos(2x)
|
Уcл. 2
х ≥ 0
|
Уcл. 3
у ≥ 0.5х — 1
|
Программа выведет
|
Область
обрабатывается верно
|
|
А
|
|
|
|
|
|
|
В
|
|
|
|
|
|
|
С
|
|
|
|
|
|
|
D
|
|
|
|
|
|
|
Е
|
|
|
|
|
|
|
F
|
|
|
|
|
|
|
G
|
|
|
|
|
|
|
Н
|
|
|
|
|
|
С2. Дана матрица (двумерный массив) размером 20 х 20. Каждый элемент может принимать целочисленные значения от 0 до 200. Опишите на русском языке или на одном из языков программирования алгоритм, который позволит найти в каждой строке количество элементов, больших заданного числа k (k < 200), и вывести наименьшее из найденных чисел. Исходные данные объявлены так, как показано ниже. Запрещается использовать переменные, не описанные ниже, но разрешается не использовать часть из них.
|
Паскаль
|
Бейсик
|
|

|

|
|
Естественный язык
|
СИ
|
|
Объявляем двумерный массив А размером 20 на 20. Объявляем целочисленные переменные I, J, k, m, s. Вводим число k.
В цикле от 1 до 20 организуем внутренний цикл от 1 до 20, в котором вводим элементы массива А.
...
|

|
В качестве ответа необходимо привести фрагмент программы (или описание алгоритма на естественном языке), который должен находиться на месте многоточия. Вы можете записать решение также на другом языке программирования (укажите название и используемую версию языка программирования, например, Borland Pascal 7.0) или в виде блок-схемы. В этом случае вы должны использовать переменные, аналогичные переменным, используемым в алгоритме, записанном на естественном языке, с учётом синтаксиса и особенностей используемого вами языка программирования.
С3. У исполнителя Р139 три команды, которым присвоены номера:
1. прибавь 1,
2. умножь на 3,
3. умножь на 9.
Первая из них увеличивает число на экране на 1, вторая — в 3 раза, а третья — в 9 раз. Программа для исполнителя Р139 — это последовательность команд.
Сколько есть программ, которые число 1 преобразуют в число 28? Ответ обоснуйте.
С4. Региональный этап олимпиады по экономике проводился для учеников 9—11-х классов, участвующих в общем конкурсе. Каждый участник олимпиада мог набрать от 0 до 50 баллов. Для определения призёров сначала отбираются 45% (с округлением в меньшую сторону) участников, показавших лучшие результаты.
По положению, в случае, если у последнего участника, входящего в 45%, оказывается такое же количество баллов, как и у следующих за ним в итоговой таблице, решение по данному участнику и всем участникам, имеющим с ним равное количество баллов, определяется следующим образом:
— все участники признаются призёрами, если набранные ими баллы больше половины максимально возможных;
— все участники не признаются призёрами, если набранные ими баллы не превышают половины максимально возможных.
Напишите эффективную по времени работы и по используемой памяти программу, которая по результатам олимпиады будет определять, какой минимальный балл нужно было набрать, чтобы стать призёром олимпиады. На вход программе сначала подаётся число участников олимпиады N. В каждой из следующих N строк находится результат одного из участников олимпиады в следующем формате:
<Фамилия> <Имя> <Класс> <Баллы>, где <Фамилия> — строка, состоящая не более чем из 20-ти символов; <Имя> — строка, состоящая не более чем из 15-ти символов;
<Класс > — число от 9 до 11;
<Баллы > — целое число от 0 до 60 набранных участником баллов. <Фамилия> и <Имя>, <Имя> и <класс>, а также <класс> и <баллы> разделены одним пробелом.
Пример входной строки:
Иванов Пётр 10 17
Программа должна выводить минимальный балл призёра. Гарантируется, что хотя бы одного призёра по указанным правилам определить можно.