16
4) 4А16
А2. На рисунке 79 изображена схема дорог между населёнными пунктами и обозначены расстояния (в км) между ними. (Населённые пункты обозначены латинскими буквами.) Определите маршрут, по которому можно попасть из пункта А в пункт G, преодолев наименьшее количество километров.

Рис. 79.
1) ADBG
2) ACDFG
3) ACDBG
4) ABG
А3. Для какого из указанных значений X истинно высказывание 
1) -1.
2) .
3) .
4) 4
А4. Полное имя некоторого файла C:\Programs\bc\owl\bbutton.cpp. Пользователь переместился на 2 уровня вверх и создал подкаталог USE. Какое полное имя будет у указанного файла, если его переместить в созданный подкаталог?
1) bbutton.cpp
2) C:\Programs\USE\bbutton.cpp
3) C:\USE\bbutton.cpp
4) C:\Programs\bc\USE\bbutton.cpp
А5. Для того чтобы узнать секретный код замка, нужно из последовательности чисел 3, 6, 5, 7, 9 все числа, большие 4-х и кратные 3-м, разделить на 3, а затем из полученной последовательности удалить все нечётные числа. Какая из приведённых последовательностей цифр является секретным кодом замка?
1) 1,.
2) .
3) .
4) 2,3
А6. Ниже приведены фрагменты таблиц базы данных чемпионов мира по лёгкой атлетике (Берлин, 2009 г.):
|
Страна
|
Фамилия чемпиона
|
|
Фамилия чемпиона
|
Место
|
Спортивная дисциплина
|
|
Россия
|
Борчин В.
|
|
Борчин В.
|
I
|
Спортивная ходьба
|
|
Китай
|
Ван Хао
|
|
Ван Хао
|
II
|
Спортивная ходьба
|
|
Россия
|
Каниськина O.
|
|
Каниськина O.
|
I
|
Спортивная ходьба
|
|
Польша
|
Роговска O.
|
|
Кирдяпкин С.
|
I
|
Спортивная ходьба
|
|
Россия
|
Кирдяпкин С.
|
|
Роговска O.
|
I
|
Прыжки в высоту
|
|
Россия
|
Рыбаков А.
|
|
Рыбаков А.
|
I
|
Прыжки в высоту
|
Спортсмены скольких стран из указанных в таблице заняли первое место по спортивной ходьбе?
1) .
2) .
3) .
4) 4
А7. В электронной таблице в ячейке D6 хранится значение формулы =СРЗНАЧ(А6:С6), равное 6. Чему равно значение =СУММ(А6:D6)?
1) 1.
2) 1.
3) 2.
4) 6
А8. В процессе преобразования растрового графического файла количество цветов в палитре уменьшилось с 256 до 16. Во сколько раз уменьшился объём файла (без учёта размера его заголовка), если известно, что под один пиксель отводится наименьшее число бит для хранения номера цвета в палитре?
1) 1.
2) .
3) 3.
4) 4
А9. Для кодирования букв Е, Л, Т, О решили использовать двухразрядные последовательные двоичные числа 00, 01, 10 и 11. Закодировав таким образом слово ЛЕТО и записав результат восьмеричным кодом, получили число 306. Каждая из букв Е, Л, О, Т соответственно имеет код
1) 00,01,11,1.
2) 00,11,10,01
3) 10,01,00,1.
4) 10,00,11,01
А10. Укажите количество целочисленных значений X, при которых истинно высказывание: 
1) .
2) .
3) .
4) 15
А11. Программа ведения учёта товара на складе использует структуру, содержащую записи вида: цифровой идентификатор — число состоящее из 6 цифр (от 0 до 9); наименование товара, максимальной длиной 15 символов (всего используется 20 различных символов); наличие товара на складе (есть или нет). Каждая такая структура сохраняется в файле, при этом используется минимально возможное и одинаковое целое количество байт на каждую запись (все символы кодируются одинаковым и минимально возможным количеством бит). Определите объём памяти, необходимый для хранения 10-ти записей.
1) 120 бай.
2) 140 бай.
3) 550 бай.
4) 1000 байт
А12. Дан фрагмент программы, заполняющий матрицу А размером 20 х 20 с индексами от 0 до 19 как по строкам, так и по столбцам.
|
Паскаль
|
|

|
|
Бейсик
|
|

|
|
Алгоритмический язык
|
|

|
Обозначим элемент, стоящий в строке i и столбце j через А[i, j]. Укажите, какое число будет находиться в А[17,17] после выполнения фрагмента программы.
1) .
2) .
3) .
4) 5
А13. Исследуя записи в тетради одного из пиратов, кладоискатели обнаружили следующие указания:
1. 60 шагов на юг
2. 60 шагов на восток
3. 30 шагов на север
4. 60 шагов на юг
Предположительно, этому алгоритму должен следовать человек, желающий найти закопанный клад. Продолжив свои исследования, кладоискатели обнаружили также и карту острова, на котором должен располагаться тайник с кладом (см. рис. 80). Сторона каждого квадрата на этой карте приблизительно равна 30 шагам. Заштрихованный квадрат обознаает непроходимую местность (например, море), белый квадрат — проходимые участки суши.

Рис. 80.
Самое обидное то, что на карте не обозначено место, в котором должен стоять кладоискатель перед началом выполнения указанной выше последовательности действий. Однако, учитывая неправильную форму острова, кладоискатели пришли к выводу, что такое место можно однозначно определить, используя алгоритм. Укажите, в центре какого квадрата, согласно имеющейся информации, должен находиться клад.
1) В.
2) Г.
3) Д.
4) Е5
Часть 2
В1. Вася написал записку однокласснице Маше, зашифровав её в 8-битном коде по стандарту ISO 8859-5. Но Маша умеет расшифровывать сообщения, закодированные в 16-битном кодеUnicode. Поэтому Петя перевёл сообщение из 8-битного кода в 16-битный код. Начальное сообщение содержало 45 символов. Насколько бит увеличилось сообщение?
В2. Исполнитель Маляр находится в левой клетке фигуры, изображённой на рисунке 81 (эта клетка отмечена точкой). Маляр знает пять команд:
1) Закрасить — закрашивает клетку, на которой стоит маляр,
— маляр перемещается на 1 клетку в указанном направлении, при этом ничего не закрашивая.
Укажите наименьшее количество команд в последовательности, результатом исполнения которой является закрашивание всех клеток фигуры.

Рис. 81.
В3. Определите, что будет напечатано в результате работы следующего фрагмента программы:
|
Бейсик
|
Си
|
|

|

|
|
Паскаль
|
Алгоритмический язык
|
|

|

|
В4. Строки (цепочки символов) строятся по следующему правилу. Сначала задаётся начальная строка, она является первой в последовательности. Затем следующая строка из предыдущей строится следующим образом: предыдущая строка разбивается на три равные части, в новую строку записывается буква А, затем вторая часть строки, затем буква В, третья часть строки, буква С, первая часть строки.
Применяя к строке AВС данный алгоритм, укажите последовательность букв, находящуюся в центральной части четвёртой строки.
В5. На диаграммах (см. рис. 82) приведены результаты экзаменов по трём предметам (каждый ученик сдавал ровно 1 экзамен).
Сколько учеников сдавали математику?

Рис. 82.
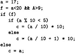
В6. Определите значение переменной с после выполнения следующего фрагмента программы.
|
Паскаль
|
Алгоритмический язык
|
|

|

|
|
Бейсик
|
Си
|
|

|

|
В7. Ниже на 4-х языках записан алгоритм. Получив на вход число х, этот алгоритм печатает число А. Укажите такое число х, при вводе которого алгоритм печатает 22935.
|
Бейсик
|
Паскаль
|
|

|

|
|
Алгоритмический язык
|
Си
|
|

|

|
В8. Укажите через запятую в порядке возрастания все основания систем счисления, в которых запись числа 1710 оканчивается на 1.
В9. Велосипедист приехал в пункт КАМЫШИ и должен выбрать кратчайший маршрут до пункта ДИВНОЕ, имея следующий список дорог между населёнными пунктами данного района:
|
Пункт отправления
|
Пункт прибытия
|
Длина дороги, км
|
|
КАМЫШИ
|
КАЛИНИНО
|
10
|
|
КАЛИНИНО
|
БУКОВОЕ
|
5
|
|
КАМЫШИ
|
ИВАНОВО
|
10
|
|
БУКОВОЕ
|
ДИВНОЕ
|
20
|
|
КАМЫШИ
|
ДИВНОЕ
|
45
|
|
ДИВНОЕ
|
РАКИТИНО
|
30
|
|
ИВАНОВО
|
РАКИТИНО
|
25
|
Определите дайну самого короткого маршрута.
В10. Интернет-тариф «Ночь+» с 7:00 до 24:00 обеспечивает максимальную скорость передачи данных по каналу 2,4 Мбит/с и с 24:00 до 7:00 — 4 Мбит/с. Определите, сколько секунд потребуется на загрузку файла объёмом 5 Мбайт при максимальной скорости, если закачка началась за 10 секунд до полуночи.
В11. Файл с именем delay.txt находится в папке relationship на сервере host 121.com, доступ к которому осуществляется по протоколу ftp. В таблице закодированы фрагменты адреса файла. Запишите последовательность цифр, соответствующую адресу указанного файла в сети Интернет. (Каждая цифра может встречаться несколько раз.)
|
1
|
2
|
3
|
4
|
5
|
6
|
|
/
|
ftp:
|
delay.txt
|
.com
|
relationship
|
hostl21
|
В12. В таблице приведены запросы к поисковому серверу. Расположите номера запросов в порядке убывания количества страниц, которые найдёт поисковый сервер по каждому запросу. Для обозначения логической операции «ИЛИ» в запросе используется символ |, а для логической операции «И» — &.
|
Номер
|
Запрос
|
|
1
|
Компас & Созвездие & Площадь
|
|
2
|
Компас | Созвездие | Площадь
|
|
3
|
Компас & Созвездие & Площадь & История
|
|
4
|
Компас | Созвездие | Площадь | История
|
В13. Исполнитель Калькулятор имеет только две команды, которым присвоены номера:
1. Умножь на 3,
2. Прибавь 3.
Выполняя команду номер 1, Калькулятор умножает число на экране на 3, а выполняя команду номер 2, увеличивает число на экране на 5. Программа для Калькулятора — это последовательность команд. Сколько различных чисел можно получить из числа 1 с помощью программы, которая содержит ровно 4 команды?
В14. Определите, какое число будет напечатано в результате выполнения следующего алгоритма:
|
Бейсик
|
Алгоритмический язык
|
|

|

|
|
Паскаль
|
Си
|
|

|

|
В15. Укажите значения переменных А, В и С, при которых логическое выражение
ложно. Ответ запишите в виде строки из 3-х символов — значенийпеременных А, В и С (в указанном порядке). Например, строка 001 соответствует тому, что А = 0, В = 0, С = 1.
Часть 3
С1. Требовалось написать программу, при выполнении которой с клавиатуры считывается действительное число х и вычисляется значение функции у(х), заданной условиями:

Программист торопился и написал программу неправильно.
|
Бейсик
|
Алгоритмический язык
|
|

|

|
|
Паскаль
|
Си
|
|

|

|
Последовательно выполните следующее.
1. Перерисуйте и заполните таблицу, которая показывает, как работает программа при значениях х, принадлежащих различным промежуткам: (-∞;-1), [—1; 2], (2;+∞).
В столбцах условий укажите «да», если условие выполнится, «нет», если условие не выполнится, «—» (прочерк), если условие не будет проверяться, «не изв.», если программа ведёт себя по-разному для разных значений, принадлежащих данному промежутку. В столбце «Выполняемая функция» запишите функцию, для которой вычисляется значение. В последнем столбце укажите «да» или «нет».
2. Укажите, как нужно доработать программу, чтобы не было случаев её неправильной работы. (Это можно сделать несколькими способами, достаточно указать любой способ доработки исходной программы.)
|
Промежуток
|
Уcл. 1
х > 2
|
Уcл. 2
-1 ≤ x ≤ 2
|
Выполняемая функция
|
Промежуток обрабатывается верно
|
|
(-∞; -1)
|
|
|
|
|
|
[-1; 2]
|
|
|
|
|
|
(2; +∞)
|
|
|
|
|
С2. Дана матрица (двумерный массив) размером 20 х 20. Каждый элемент может принимать целочисленные значения от 0 до 200. Опишите на русском языке или на одном из языков программирования алгоритм, который позволит поменять местами те из элементов 1-й и к~й строк, которые находятся в одном столбце и оканчиваются на 1, и вывести полученный массив. Исходные данные объявлены так, как показано ниже. Запрещается использовать переменные, не описанные ниже, но разрешается не использовать часть из них.
|
Паскаль
|
Бейсик
|
|

|

|
|
Естественный язык
|
СИ
|
|
Объявляем двумерный массив А размером 20 на 20. Объявляем целочисленные переменные I, J, k. Вводим число k.
В цикле от 1 до 20 организуем внутренний цикл от 1 до 20, в котором вводим элементы массива А.
...
|

|
В качестве ответа необходимо привести фрагмент программы (или описание алгоритма на естественном языке), который должен находиться на месте многоточия. Вы можете записать решение также на другом языке программирования (укажите название и используемую версию языка программирования, например, Borland Pascal 7.0) или в виде блок-схемы. В этом случае вы должны использовать переменные, аналогичные переменным, используемым в алгоритме, записанном на естественном языке, с учётом синтаксиса и особенностей используемого вами языка программирования.
С3. У исполнителя IF13 две команды, которым присвоены номера:
1. прибавь 1,
2. если число чётное, то прибавь 3.
Первая из них увеличивает число на экране на 1, вторая — в случае, если число на экране чётное, увеличивает его на 3. Программа для исполнителя IF13 — это последовательность команд.
Определите количество программ, которые число 1 преобразуют в число 28? Ответ обоснуйте.
С4. В 82-квартирном доме проводится проверка долгов жильцов по оплате коммунальных услуг. Для формирования сообщений о накопившемся долге выбираются номера квартир, долг которых больше среднего по всему дому. Если долг квартиры равен среднему по дому, то номер квартиры включается в результирующий набор, если средний долг больше минимального долга на 260%. Если долги у всех одинаковые, то выбирается первая половина (начиная с 1-й) квартир-должников и округляется в большую сторону (например, при пяти должниках будут выбраны первые 3 квартиры).
Напишите эффективную по времени работы и по используемой памяти программу, которая выбирает номера необходимых квартир.
На вход программы сначала вводится число квартир-должников N. В каждой из следующих N строк находятся сведения о долге одной из квартир в формате:
<Фамилия> <Имя> <квартира> <долг>, где < Фамилия> — строка, состоящая не более чем из 20-ти символов, <Имя> — строка, состоящая не более чем из 15-ти символов, <квартира> — целое положительное число от 1 до 82, <долг> — положительное вещественное число. <Фамилия> и <Имя>, <Имя> и <квартира>, <квартира> и <долг> разделены одним пробелом.
Пример входной строки:
Иванов Иван 1 107.39
Программа должна выводить номера квартир-должников, подходящих по условию. Гарантируется, что максимальный долг не превышает 3000 рублей и каждая квартира во входных данных присутствует только один раз.