16
3) 10016
4) 14416
А2. На рисунке 83 изображена схема дорог между населёнными пунктами и обозначены расстояния (в км) между ними. (Населённые пункты обозначены латинскими буквами.) Определите маршрут, по которому можно попасть из пункта А в пункт G, преодолев наименьшее количество километров.

Рис. 83.
1) ACDBG
2) ADFG
3) ACDFG
4) ABG
А3. Для какого из указанных значений X истинно высказывание 
1) -.
2) .
3) .
4) 8
А4. В каталоге, в котором хранится файл с полным именем C:\Foto\My\friends.jpg, создали подкаталог Birthday и переместили этот файл в новый каталог. Каково стало полное имя файла?
1) С:\Foto\Birthday\friends.jpg
2) С:\My\Birthday\friends.jpg
3) C:\Foto\friends.jpg
4) С:\Foto\My\Birthday\friends.jpg
А5. Для того чтобы узнать секретный код замка, нужно выполнить следующий алгоритм: в последовательности цифр 74263 из каждой нечётной цифры вычесть 3, а к каждой чётной цифре прибавить 1, затем удалить цифры, стоящие на чётных местах. Какой код должен получиться в результате выполнения этого алгоритма?
1) 59.
2) 43.
3) 40.
4) 302
А6. Ниже приведены фрагменты таблиц базы данных строительных компаний:
|
Город
|
Наименование компании
|
|
Наименование компании
|
Количество персонала
|
Направление деятельности
|
|
Москва
|
«Компас»
|
|
«Архимед»
|
200
|
Коттеджи
|
|
Москва
|
«Кран»
|
|
«Карьер»
|
500
|
Коттеджи
|
|
Самара
|
«Архимед»
|
|
«Компас»
|
300
|
Ремонт
|
|
Ростов
|
«Строитель»
|
|
«Кран»
|
480
|
Офисы
|
|
Ростов
|
«Карьер»
|
|
«Плотник»
|
250
|
Ремонт
|
|
Астрахань
|
«Плотник»
|
|
«Строитель»
|
360
|
Коттеджи
|
Организации скольких городов, из указанных в таблице, занимаются постройкой коттеджей?
1) .
2) .
3) .
4) 4
А7. В электронной таблице в ячейке D8 хранится значение формулы =CP3HAЧ(A8:C8), равное 4. Чему равно значение =СУММ(А8:08)?
1) 1.
2) 1.
3) 1.
4) 18
А8. В процессе преобразования растрового графического файла количество цветов в палитре увеличилось с 8 до 512. Во сколько раз увеличился информационный объём файла (без учёта размера его заголовка), если известно, что под один пиксель отводится наименьшее число бит для хранения номера цвета в палитре, одинаковое для всех цветов?
1) .
2) 1.
3) 3.
4) 64
А9. Для кодирования букв А, К, Р, Т решили использовать двухразрядные последовательные двоичные числа, то есть использовались числа 00, 01, 10 и 11. Закодировав таким образом слово КАРТА и записав результат шестнадцатеричным кодом, получили число 24D. Какой код имеет каждая из букв А, К, Р, Т соответственно?
1) 00, 01, 11, 1.
2) 00, 11, 10, 01
3) 01, 10, 00, 1.
4) 10, 00, 11, 01
А10. Укажите количество целочисленных значений Х> при которых ложно высказывание: 
1) .
2) .
3) .
4) 4
A11. Программа ведения учёта товара на складе использует структуру, содержащую записи вида: цифровой идентификатор — число состоящее из 4-х цифр (от 0 до 9); наименование товара, максимальной длиной 10 символов (всего используется 16 различных символов); наличие товара на складе (есть или нет). Каждая такая структура сохраняется в файле, при этом используется минимально возможное и одинаковое целое количество байт на каждую запись (все символы кодируются одинаковым и минимально возможным количеством бит). Определите объём памяти, необходимый для хранения 20 записей.
1) 300 байт
2) 370 байт
3) 520 байт
4) 740 байт
А12. Дан фрагмент программы, заполняющий матрицу А размером 20 х 20 с индексами от 0 до 19 как по строкам, так и по столбцам.
|
Бейсик
|
|

|
|
Алгоритмический язык
|
|

|
|
Паскаль
|
|

|
Обозначим элемент, стоящий в строке i и столбце j через А[i, j]. Укажите, какое число будет находиться в А[17,17] после выполнения этого фрагмента программы.
1) .
2) .
3) -.
4) 7
А13. Исследуя записи в тетради одного из пиратов, кладоискатели обнаружили следующие указания:
1. 60 шагов на восток
2. 60 шагов на север
3. 30 шагов на запад
4. 30 шагов на север
Предположительно, этому алгоритму должен следовать человек, желающий найти закопанный клад. Продолжив свои исследования, кладоискатели обнаружили также и карту острова, на котором должен располагаться тайник с кладом (см. рис. 84). Сторона каждого квадрата на этой карте приблизительно равна 30 шагам. Заштрихованный квадрат обозначает непроходимую местность (например, море), белый квадрат — проходимые участки суши.

Рис. 84.
Самое обидное то, что на карте не обозначено место, в котором должен стоять кладоискатель перед началом выполнения указанной выше последовательности действий. Однако, учитывая неправильную форму острова, кладоискатели пришли к выводу, что такое место можно однозначно определить, используя алгоритм. Укажите, в центре какого квадрата, согласно имеющейся информации, должен находиться клад.
1) В.
2) Г.
3) Д.
4) Е5
Часть 2
В1. На компьютере открыт текстовый редактор. Кот залез на стол и прошёлся по клавиатуре, набрав при этом несколько символов. В текстовом редакторе включена кодировка текстаUnicode (16 бит на один символ). Сколько символов набрано в редакторе, если общий объём информации, набранный котом, составил 448 бит?
В2. Исполнитель Маляр находится в левой клетке фигуры, изображённой на рисунке 85 (эта клетка отмечена точкой). Маляр знает пять команд:
1) Закрасить — закрашивает клетку, на которой стоит маляр,
— Маляр перемещается на 1 клетку в указанном направлении, при этом ничего не закрашивая.

Рис. 85.
Укажите наименьшее количество команд в последовательности, результатом исполнения которой является закрашивание всех клеток фигуры.
В3. Определите, что будет напечатано в результате работы следующего фрагмента программы:
|
Бейсик
|
Си
|
|

|

|
|
Паскаль
|
Алгоритмический язык
|
|

|

|
В4. Пронумеруем английские буквы как А—1, В—2,..., Z—26.
Строки (цепочки символов) строятся по следующему правилу.
Сначала задаётся начальная строка, она является первой в последовательности.
Затем следующая строка из предыдущей строится следующим образом: предыдущая строка разбивается на три равные части, в новую строку i записывается буква, стоящая на i + 1-м месте в алфавите, затем третья часть предыдущей строки; затем буква, стоящая на месте div(i, 2) + 1 в алфавите; первая часть предыдущей строки; буква, стоящая на месте div(i, 3) + 1 в алфавите, вторая часть строки. (div(a, b) — целая честь от деления числа а на число b.)
Применяя к строке СВ А данный алгоритм, укажите последовательность букв, находящуюся в третьей части четвёртой строки.
В5. Вася решил разобрать свои диски с фильмами. На диаграмме 1 (см. рис. 86) показано соотношение фильмов по жанрам, а на диаграмме 2 — распределение дисков по типам носителей (на каждом диске записан только один из жанров).

Рис. 86.
Сколько у Васи дисков с комедиями?
В6. Определите значение переменной с после выполнения следующего фрагмента программы.
|
Паскаль
|
Алгоритмический язык
|
|

|

|
|
Бейсик
|
Си
|
|

|

|
В7. Ниже на 4-х языках записан алгоритм. Получив на вход число х, этот алгоритм печатает число А. Укажите такое число х, при вводе которого алгоритм печатает 14263.
|
Паскаль
|
Алгоритмический язык
|
|

|

|
|
Бейсик
|
Си
|
|

|

|
В8. Укажите через запятую в порядке возрастания все основания систем счисления (за исключением десятичной), в которых запись числа 23ю оканчивается на 3.
В9. Велосипедист приехал в пункт КАЛИНИНО и должен выбрать кратчайший маршрут до пункта РАКИТИНО, имея следующий список дорог между населёнными пунктами данного района:
|
Пункт отправления
|
Пункт прибытия
|
Длина дороги, км
|
|
КАМЫШИ
|
КАЛИНИНО
|
5
|
|
КАЛИНИНО
|
БУКОВОЕ
|
10
|
|
БУКОВОЕ
|
ИВАНОВО
|
10
|
|
БУКОВОЕ
|
ДИВНОЕ
|
20
|
|
КАМЫШИ
|
ДИВНОЕ
|
5
|
|
ДИВНОЕ
|
РАКИТИНО
|
30
|
|
ИВАНОВО
|
РАКИТИНО
|
15
|
Определите длину самого короткого маршрута.
В10. Интернет-тариф «Ночь+» с 7:00 до 24:00 обеспечивает максимальную скорость передачи данных по каналу 2,4 Мбит/с и с 24:00 до 7:00 — 4 Мбит/с. Определите, сколько секунд потребовалось на загрузку файла объёмом 14 Мбайт при максимальной скорости, если закачка закончилась 16 секунд спустя после полуночи.
В11. Файл с именем www.exe находится в папке ftp на сервере locaI.com, доступ к которому осуществляется по протоколу http. В таблице закодированы фрагменты адреса файла. Запишите последовательность цифр, соответствующую адресу указанного файла в сети Интернет.
(Каждая цифра может встречаться несколько раз.)
|
1
|
2
|
3
|
4
|
5
|
6
|
|
www.exe
|
http:
|
local
|
/
|
ftp
|
.com
|
В12. В таблице приведены запросы к поисковому серверу. Расположите номера запросов в порядке возрастания количества страниц, которые найдёт поисковый сервер по каждому запросу. Для обозначения логической операции «ИЛИ» в запросе используется символ |, а для логической операции «И» — &.
|
Номер
|
Запрос
|
|
1
|
философия & биография
|
|
2
|
Аристотель | философия & биография
|
|
3
|
Аристотель | философия
|
|
4
|
сочинения & Аристотель & философия & биография
|
В13. Исполнитель Калькулятор имеет только две команды, которым присвоены номера:
1. Умножь на 2,
2. Вычти 5.
Выполняя команду номер 1, Калькулятор умножает число на экране на 2, а выполняя команду номер 2, вычитает из числа на экране число 5. Программа для Калькулятора — это последовательность команд. Сколько различных чисел можно получить из числа 1 с помощью программы, которая содержит ровно 4 команды?
В14. Определите, какое число будет напечатано в результате выполнения следующего алгоритма:
|
Паскаль
|
Алгоритмический язык
|
|

|

|
|
Бейсик
|
Си
|
|

|

|
В15. Укажите значения переменных A, В и С, при которых логическое выражение
ложно. Ответ запишите в виде строки из 3-х символов — значений переменных А, В и С (в указанном порядке). Например, строка 001 соответствует тому, что А = 0, В = 0, С = 1.
Часть 3
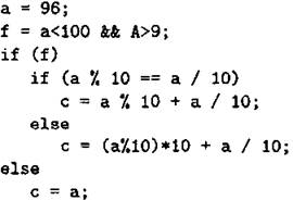
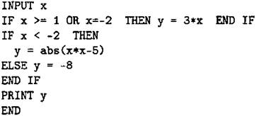
С1. Требовалось написать программу, при выполнении которой с клавиатуры считывается действительное число х и вычисляется значение функции у(х), заданной условиями:

Программист торопился и написал программу неправильно.
|
Паскаль
|
Алгоритмический язык
|
|

|

|
|
Бейсик
|
Си
|
|

|

|
Последовательно выполните следующее.
1. Перерисуйте и заполните таблицу, которая показывает, как работает программа при значениях х, принадлежащих различным промежуткам: (-∞;-2), (-2;1), -2U[1;+∞).
В столбцах условий укажите «да», если условие выполнится, «нет», если условие не выполнится, «—» (прочерк), если условие не будет проверяться, «не изв.», если программа ведёт себя по-разному для разных значений, принадлежащих данному промежутку. В столбце «Выполняемая функция» запишите функцию, для которой вычисляется значение. В последнем столбце укажите «да» или «нет».
2. Укажите, как нужно доработать программу, чтобы не было случаев её неправильной работы. (Это можно сделать несколькими способами, достаточно указать любой способ доработки исходной программы.)
|
Промежуток
|
Уcл. 1
x ≥ 1 или x = -2
|
Уcл. 2
x< -2
|
Выполняемая функция
|
Промежуток обрабатывается верно
|
|
(-∞; -2)
|
|
|
|
|
|
(-2; 1)
|
|
|
|
|
|
-2 U [1; +∞)
|
|
|
|
|
С2. Дана матрица (двумерный массив) размером 20 х 20. Каждый элемент может принимать целочисленные значения от 0 до 200. Опишите на русском языке или на одном из языков программирования алгоритм, который позволит поменять местами те из элементов главной и побочной диагоналей, которые находятся в одной строке и нечётны, и вывести полученный массив. Исходные данные объявлены так, как показано ниже. Запрещается использовать переменные, не описанные ниже, но разрешается не использовать часть из них.
|
Паскаль
|
Бейсик
|
|

|

|
|
Естественный язык
|
СИ
|
|
Объявляем двумерный массив А размером 20 на 20. Объявляем целочисленные переменные I, J. В цикле от 1 до 20 организуем внутренний цикл от 1 до 20, в котором вводим элементы массива А.
...
|

|
В качестве ответа необходимо привести фрагмент программы (или описание алгоритма на естественном языке), который должен находиться на месте многоточия. Вы можете записать решение также на другом языке программирования (укажите название и используемую версию языка программирования, например, Borland Pascal 7.0) или в виде блок-схемы. В этом случае вы должны использовать переменные, аналогичные переменным, используемым в алгоритме, записанном на естественном языке, с учётом синтаксиса и особенностей используемого вами языка программирования.
С3. У исполнителя IF16 две команды, которым присвоены номера:
1. прибавь 1,
2. если число нечётное, то прибавь 6.
Первая из них увеличивает число на экране на 1, вторая — в случае, если число на экране чётное, увеличивает его на 6. Программа для исполнителя IF16 — это последовательность команд.
Определите количество программ, которые число 1 преобразуют в число 28? Ответ обоснуйте.
С4. В 64-квартирном доме проводится проверка долгов жильцов по оплате коммунальных услуг. Для формирования сообщений о накопившемся долге выбираются номера квартир, долг за которые превышает 80% от максимального долга по всем квартирам. Если долги у всех одинаковые, то выбираются первые 60% квартир-должников, начиная с минимального номера (округлять следует в меньшую сторону, например, при шести должниках будут выбраны первые 3 квартиры-должника).
Напишите эффективную по времени работы и по используемой памяти программу, которая выбирает номера необходимых квартир.
На вход программы сначала подаётся число квартир-должников N. В каждой из следующих N строк находятся сведения о долге одной из квартир в формате: <Фамилия> <Имя> <квартира> <долг> где <Фамилия> — строка, состоящая не более чем из 20-ти символов,
<Имя> — строка, состоящая не более чем из 15-ти символов,
<квартира> — целое положительное число от 1 до 64,
<долг> — положительное вещественное число.
<Фамилия> и <Имя>, <Имя> и <квартира>, <квартира> и <долг>, разделены одним пробелом.
Пример входной строки:
Иванов Иван 1107.39
Программа должна выводить номера квартир-должников, подходящих по условию. Гарантируется, что максимальный долг не превышает 3000 рублей и каждая квартира во вводимых данных присутствует только один раз.