10
4) 11110
А2. Путешественник пришел в 08:00 на железнодорожную станцию населенного пункта МАРТЫНОВО и обнаружил следующее расписание электричек:
|
Пункт отправления
|
Пункт прибытия
|
Время отправления
|
Время прибытия
|
|
Мартыново
|
Афанасьевка
|
08:20
|
08:55
|
|
Носовка
|
Лесная
|
09:25
|
09:45
|
|
Афанасьевка
|
Мухино
|
09:00
|
09:15
|
|
Мартыново
|
Иваново
|
07:25
|
08:45
|
|
Афанасьевка
|
Носовка
|
09:05
|
09:20
|
|
Афанасьевка
|
Иваново
|
08:25
|
09:05
|
|
Мартыново
|
Мухино
|
08:30
|
09:05
|
|
Носовка
|
Иваново
|
09:30
|
09:50
|
|
Мартыново
|
Грачёво
|
08:05
|
09:10
|
|
Мухино
|
Иваново
|
09:50
|
11:20
|
Определите самое ранее время, когда путешественник сможет оказаться на станции ИВАНОВО согласно этому расписанию.
1) 08:4.
2) 09:0.
3) 09:5.
4) 11:20
А3. Укажите, какое логическое выражение равносильно выражению 

А4. Пользователь, перемещаясь из одного каталога в другой, последовательно посетил каталоги Crisis, Games, F:\, Films, Comedy, New. При каждом перемещении пользователь либо спускался в каталог на уровень ниже, либо поднимался на уровень выше. Каково полное имя каталога, из которого начал перемещение пользователь?
1) F:\Films\Comedy\New
2) F:\New
3) F:\Films\Crisis
4) F:\Games\Crisis
А5. Дешифровщику необходимо восстановить повреждённый фрагмент сообщения, состоящий из 4-х символов. Имеется достоверная информация, что использовано не более пяти букв: A,F, E, R, T, причём на четвёртом месте стоит гласная буква (А или Е), если на втором месте стоит согласная, или любая согласная, если на втором месте стоит гласная. На первом месте — одна из букв F, Я, Е, не стоящая при этом в слове на втором или четвёртом местах. На третьем месте — любая согласная, не стоящая на первом месте.
Появилась дополнительная информация, что подходит один из четырёх вариантов. Какой?
1) ETR.
2) RAR.
3) RFF.
4) FETA
А6. Ниже приведены фрагменты таблиц посудного магазина:
|
Код материала
|
Материал
|
|
Название коллекции
|
Код материала
|
Количество предметов
|
|
1
|
фарфор
|
|
«Элоиза»
|
6
|
12
|
|
2
|
сталь
|
|
«Русь»
|
4
|
25
|
|
3
|
глина
|
|
«Одноразовая»
|
7
|
36
|
|
4
|
дерево
|
|
«Детская»
|
6
|
14
|
|
5
|
береста
|
|
«Старина»
|
3
|
18
|
|
6
|
пластик
|
|
«Нежность»
|
9
|
34
|
|
7
|
бумага
|
|
«Камелия»
|
9
|
48
|
|
8
|
ПВХ
|
|
«Богема»
|
1
|
23
|
|
9
|
стекло
|
|
«Маки»
|
6
|
12
|
Из какого материала сделана коллекция с наибольшим количеством предметов?
1) стекло
2) фарфор
3) пластик
4) дерево
А7. В электронной таблице в ячейке D6 хранится значение формулы =СРЗНАЧ(А6:С6). Какое число записано в ячейке D6, если значение ячейки D8, в которой записано значение формулы =СУММ(А6:D6), равно 8?
1) 6
2) 2
3) 8
4) 4
А8. Разрешение экрана монитора 1024 х 768 точек. Глубина цвета 16 бит. Каков необходимый объём видеопамяти для данного режима?
1) 1,5 Мб
2) 500 Кб
3) 256 байт
4) 1,5 Кб
А9. Для передачи чисел по каналу с помехами используется код проверки чётности. Каждая его цифра записывается в двоичном представлении, с добавлением ведущих нулей до длины 4, и к получившейся последовательности дописывается сумма её элементов по модулю 2 (например, если передаём 23, то получим последовательность 0010100110). Определите, какое число передавалось по каналу в виде 01111001100010101010.
1) 597.
2) 732.
3) 15651.
4) 497834
А10. Укажите значения переменных A, В и С, при которых логическое выражение (
ложно. Ответ запишите в виде строки из 3 символов: значений переменных А, В и С (в указанном порядке). Например, строка 001 соответствует тому, что А = 0, В = 0, С = 1.
1) 00.
2) 01.
3) 10.
4) 101
А11. Для регистрации на сайте необходимо ввести следующую информацию: логин, состоящий из букв английского алфавита длиною 20 символов (всего используется 24 различных символа); пароль, состоящий из цифр (от 0 до 9) и дайною 15 символов; пол (М или Ж). Каждая такая учётная запись кодируется минимально возможным и одинаковым (целым) количеством байт (при этом используют посимвольное кодирование, и все символы логина кодируются одинаковым и минимально возможным количеством бит, все символы пароля кодируются одинаковым и минимально возможным количеством бит, и пол также кодируется минимально возможным количеством бит). Определите объём памяти, необходимый для хранения 30-ти записей.
1) 3330 байт
2) 480 байт
3) 630 байт
4) 3030 байт
А12. Значения одномерного массива А, состоящего из 5-ти элементов, и двумерного массива В размером 5x5 задаются с помощью следующего фрагмента программы.
|
Паскаль
|
|

|
|
Бейсик
|
|

|
|
Алгоритмический язык
|
|

|
Сколько элементов массива В будут равны 1?
1) .
2) 2.
3) .
4) 4
А13. Исполнитель Т1000 «живёт» на бесконечной в обе стороны полосе, разделённой на клетки (одна из клеток является текущей, в ней находится исполнитель). Система команд Т1000 включает следующие:
влево — переместиться на одну клетку влево,
вправо — переместиться на одну клетку вправо,
записать X — записать в текущую клетку число X,
пока X команда — выполнять команду, пока в текущей клетке записано число X.
Команда определяется как одна из команд, указанных выше, либо как последовательность команд. При записи программы такие вложенные команды отмечаются отступом.
Дана программа:
пока 1 вправо
записать 1
вправо
пока 0
вправо
пока 1 влево
записать 1
влево
Она выполняется, начиная с крайней левой клетки с числом 1, в следующей начальной конфигурации (справа и слева от данной конфигурации во всех клетках записан 0):
Как будет выглядеть данный фрагмент ленты после остановки программы?
1) 011111001110
2) 001111101110
3) 001111110110
4) 011111101110
Часть 2
В1. В таблице ниже представлена часть кодовой таблицы ASCII:
|
Символ
|
6
|
8
|
D
|
Е
|
d
|
е
|
z
|
|
Десятичный код
|
54
|
56
|
68
|
69
|
100
|
101
|
122
|
|
Шестнадцатеричный код
|
36
|
38
|
44
|
45
|
64
|
65
|
7А
|
Каков шестнадцатеричный код символа «Z»?
В2. Исполнитель Конь находится на шахматной доске. Он имеет несколько команд: uur — две клетки вверх и одна вправо, игг — клетка вверх и две вправо, uul — две вверх и одна влево,ull — одна вверх и две влево, ddr — две клетки вниз и одна вправо, drr — клетка вниз и две вправо, ddl — две вниз и одна влево, dll — одна вниз и две влево. Если при выполнении некоторого алгоритма Конь выходит за пределы доски, то выполнение алгоритма останавливается. Определите количество полей, на которых может находиться Конь, чтобы мог быть выполнен следующий алгоритм?
uul urr ull ddl ddl
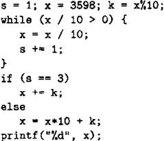
В3. Определите, что будет напечатано в результате работы следующего фрагмента программы:
|
Паскаль
|
Алгоритмический язык
|
|

|

|
|
Бейсик
|
Си
|
|

|

|
В4. Задано натуральное число n. Следующий алгоритм генерирует последовательность чисел.
Если число n — чётно, то поделим его на 2. Если n нечётное, то умножаем его на 3 и прибавляем к результату 1. Повторяем этот процесс с новым полученным n, пока n не станет равным 1. Например, для n = 26 будет сгенерирована следующая последовательность чисел: 26 13 40 20 10 5 16 8 4 2 1.
Для данного n длиной цикла n будем называть число сгенерированных чисел, включая 1. Например, длину цикла 26 находим из приведённой выше последовательности, она равна 11.
Определите максимальную длину цикла для всех чисел между 6 и 3 включительно.
В5. На первой диаграмме (см. рис. 87, а)) представлены средние цены (в руб.) для 4-х типов товаров. На второй (см. рис. 87, б)) — процентное отношение проданного товара по каждому из типов. Определите, какое количество товара 2 было продано, если общий объём проданного товара (1, 2, 3 и 4) составил 540 000 руб.

Рис. 87.
В6. Определите значение переменной х после выполнения следующего фрагмента программы.
|
Бейсик
|
Алгоритмический язык
|
|

|

|
|
Паскаль
|
Си
|
|

|

|
В7. Ниже на 4-х языках записан алгоритм. Получив на вход число х, этот алгоритм печатает число А. Укажите такое число х, при вводе которого алгоритм печатает 32701.
|
Бейсик
|
Алгоритмический язык
|
|

|

|
|
Паскаль
|
Си
|
|

|

|
В8. Если у десятичного трёхзначного числа отбросить разряд сотен, то оставшееся двузначное число будет записываться в системе с основанием 4 как 1001, а если у этого трёхзначного числа отбросить разряд единиц, то получившееся число будет оканчиваться в шестнадцатеричной системе счисления на С. Найдите это трёхзначное число.
В9. На рисунке 88 показана схема автодорог между семью населёнными пунктами. Стрелками указаны направления соответствующих автодорог и расстояния между ними. Определите маршрут, по которому можно попасть из пункта А в пункт Et преодолев наименьшее количество километров.

Рис. 88.
В ответе укажите последовательность букв, соответствующих этому пути. Например, ACFBE.
В10. Сколько секунд потребуется модему, передающему сообщения со скоростью 450 Кбит/с, чтобы передать цветное растровое изображение размером 800 х 600 пикселей, при условии, что цвет каждого пикселя кодируется тремя байтами?
В11. Два компьютера в локальной сети кабинета информатики имеют свои уникальные IP-адреса. В таблице фрагменты IP-адресов закодированы буквами от А до 3. Запишите последовательность этих букв, кодирующую первый и второй IP-адреса (в порядке возрастания).
|
А
|
Б
|
В
|
Г
|
д
|
Е
|
Ж
|
3
|
|
46
|
184.
|
4.138.
|
.115
|
18
|
40.1
|
13
|
8.40
|
В12. В таблице приведены запросы к поисковому серверу. Расположите номера запросов в порядке убывания количества страниц, которые найдёт поисковый сервер по каждому запросу. Для обозначения логической операции «ИЛИ» в запросе используется символ |, а для логической операции «И» — &.
|
Номер
|
Запрос
|
|
1
|
Система ((Навигация & Проектор)
|
|
2
|
(Система & Автомобильный)!(Проектор & Навигация)
|
|
3
|
Система | Навигация
|
|
4
|
Автомобильный | Проектор | Система | Навигация
|
В13. Некий исполнитель умеет выполнять две команды:
DEL 3 — удаляет из числовой последовательности все цифры, стоящие на местах, кратных указанному числу (если это возможно);
MOVE — перемещает первую цифру последовательности в конец. Программа для исполнителя — это последовательность команд. Сколько различных последовательностей можно получить из последовательности 123456 с помощью программы, которая содержит ровно 4 команды?
В14. Определите, какое число будет напечатано в результате выполнения следующего алгоритма (для Вашего удобства алгоритм представлен на четырёх языках):
|
Бейсик
|
Паскаль
|
|

|

|
|
Алгоритмический язык
|
Си
|
|

|

|
В15. Найдите наибольшее целое число X, при котором истинно высказывание 
Часть 3
C1. Два прямоугольника, расположенные в первом квадранте, со сторонами, параллельными осям координат, заданы координатами своих левой верхней и правой нижней вершин. Для первого прямоугольника это соответственно точки (x1, y1) и (х2, 0), для второго — (х3, у3) и (х4, 0). Требовалось написать программу, при выполнении которой с клавиатуры вводятся необходимые координаты прямоугольника и определяется, пересекаются ли данные прямоугольники.
Программист торопился и написал программу неправильно.
|
Бейсик
|
Паскаль
|
|

|

|
|
Алгоритмический язык
|
Си
|
|

|

|
Последовательно выполните следующее.
1. Перерисуйте и заполните таблицу, которая показывает, как работает программа при различном взаимном расположении координат х1, х2, х3, х4:

В столбце условий укажите «да», если условие выполнится, «нет», если условие не выполнится,«—» (прочерк), если условие не будет проверяться. В столбце «Программа выведет» укажите, что программа выведет на экран. Если программа ничего не выводит, напишите «—» (прочерк).
Если для разных значений, принадлежащих области, будут выведены разные тексты, напишите «не изв.». В последнем столбце укажите «да» или «нет».
2. Укажите, как нужно доработать программу, чтобы не было случаев её неправильной работы. (Это можно сделать несколькими способами, достаточно указать любой способ доработки исходной программы.)
|
Расположение координат
|
Условие
x1 ≤ х3 ≤ х2 или x1 ≤ х4 ≤ х2
|
Программа выведет
|
Программа
Выполняется верно
|
|
x1 ≤ х2 ≤ х3 ≤ х4
|
|
|
|
|
x1 ≤ х3 ≤ х2 ≤ х4
|
|
|
|
|
x1 ≤ х3 ≤ х4 ≤ х2
|
|
|
|
|
х3 ≤ х4 ≤ x1 ≤ х2
|
|
|
|
|
х3 ≤ x1 ≤ х4 ≤ х2
|
|
|
|
|
х3 ≤ x1 ≤ х2 ≤ х4
|
|
|
|
С2. Дан целочисленный массив из 30 элементов. Элементы массива могут принимать целые значения от -20 до 20, отличные от 0. Опишите на русском языке или на одном из языков программирования алгоритм, позволяющий найти и вывести наибольшее количество идущих подряд элементов одного знака. Исходные данные объявлены так, как показано ниже. Запрещается использовать переменные, не описанные ниже, но использовать все описанные переменные не обязательно.
|
Бейсик
|
Паскаль
|
|

|

|
|
Алгоритмический язык
|
Си
|
|

|

|
В качестве ответа вам необходимо привести фрагмент программы (или описание алгоритма на естественном языке), который должен находиться на месте многоточия. Вы можете записать решение также на другом языке программирования (укажите название и используемую версию языка программирования, например, Borland Pascal 7.0) или в виде блок-схемы. В этом случае Вы должны использовать те же самые исходные данные и переменные, какие были предложены в условии (например, в образце, записанном на естественном языке).
С3. У исполнителя IFP13 две команды, которым присвоены номера:
1. прибавь 1,
2. если число простое, то умножь на 3.
Первая из них увеличивает число на экране на 1, вторая — в случае, если число на экране простое, увеличивает его в 3 раза. Программа для исполнителя IFP13 — это последовательность команд.
Определите количество программ, которые число 1 преобразуют в число 42? Ответ обоснуйте.
С4. Метод шифрования гаммированием заключается в следующем: пусть имеется сообщение над английским алфавитом и задана строка-ключ (строка без пробелов и знаков препинаний, записанная прописными буквами), в дальнейшем будем называть её гаммой. Сопоставим буквам латинского алфавита числа А→ 0, В→ 1,... Z→ 25. Шифрование сообщения осуществляется посимвольно путём сложения букв (имеется в виду соответствующих им чисел) сообщения и гаммы, затем берётся остаток от этой суммы по модулю 26 и осуществляется обратное преобразование числа в букву. Причём, если гамма меньшей длины, чем сообщение, то она продолжается периодически до нужной длины; если гамма имеет большую длину, чем сообщение, то берётся последовательность необходимой длины из первых её букв. Требуется написать программу, которая читает сообщение из файла message.txt, шифрует его, используя введённую с клавиатуры гамму и сохраняет результат в файле cipher.txt.
Замечания:
1) При шифровании сообщения в нём игнорируются пробелы и знаки препинания, а также все буквы переводятся в прописные.
2) Можно считать, что сообщение и гамма кодируются в формате ASCII.
3) Длина гаммы не превышает 50 символов.
Пример: Сообщение "I am happy!", гамма "NOT", тогда сообщение преобразуем к виду "IAMHAPPY", продолжим гамму "NOTNOTNO" и после шифрования получим "VOFUOICM".