10
3) 10710
4) 111110
А2. Путешественник пришел в 06:00 на железнодорожную станцию населенного пункта СЫРОЕЖКИНО и обнаружил следующее расписание электричек:
|
Пункт отправления
|
Пункт прибытия
|
Время отправления
|
Время прибытия
|
|
Ложкино
|
Сыроежкино
|
8:20
|
10:05
|
|
Ложкино
|
Лесная
|
09:10
|
12:35
|
|
Сыроежкино
|
Берёзовая
|
06:05
|
07:05
|
|
Сыроежкино
|
Ложкино
|
06:25
|
08:15
|
|
Берёзовая
|
Ольховая
|
07:15
|
08:40
|
|
Ольховая
|
Лесная
|
08:25
|
09:45
|
|
Сыроежкино
|
Лесная
|
05:30
|
09:05
|
|
Опушкино
|
Лесная
|
07:00
|
9:20
|
|
Сыроежкино
|
Ольховая
|
07:00
|
08:10
|
|
Сыроежкино
|
Опушкино
|
06:10
|
7:10
|
Определите самое раннее время, когда путешественник сможет оказаться на станции ЛЕСНАЯ согласно этому расписанию.
1) 09:0.
2) 09:2.
3) 09:4.
4) 12:35
А3. Укажите, какое логическое выражение равносильно выражению ¬(¬A^В) v¬С.

А4. Перемещаясь из одного каталога в другой, пользователь последовательно посетил каталоги CyberLink, Common, Users, С:\, Program Files, DrWeb.
При каждом перемещении пользователь либо спускался в каталог на уровень ниже, либо поднимался на уровень выше. Каково полное имя каталога, из которого начал перемещение пользователь?
1) С:\CyberLink
2) С:\Program Files\DrWeb
3) С:\Users\Common\CyberLink
4) С:\CyberLink\Common\Users
А5. Дешифровщику необходимо восстановить повреждённый фрагмент сообщения, состоящий из 4-х символов. Известно, что использовано не более пяти букв (А, В, X, Y, Z), причём на четвёртом месте стоит один из символов Х, Y, Z. На третьем — гласная буква А или Y, если четвёртая буква согласная, или любая согласная, если четвёртая — гласная. На втором месте — одна из букв В, X, Y, Z, не стоящая в слове на первом или четвёртом месте. На первом месте — любая согласная буква, не стоящая на третьем месте. Какой из четырёх вариантов верен?
1) YZY.
2) BXZ.
3) ВХА.
4) XXAZ
А6. Ниже приведены фрагменты таблиц базы данных магазина игрушек:
|
Код
|
Возрастная группа
|
|
Название игрушки
|
Код
|
Количество на складе
|
|
1
|
0-1
|
|
Робот
|
9
|
568
|
|
2
|
1-3
|
|
Машинка
|
5
|
258
|
|
3
|
3-5
|
|
Юла
|
2
|
357
|
|
4
|
5-6
|
|
Погремушка
|
1
|
951
|
|
5
|
6-8
|
|
Телефон
|
3
|
456
|
|
6
|
8-10
|
|
Кукла
|
5
|
852
|
|
7
|
10-12
|
|
Мягкая игрушка
|
4
|
654
|
|
8
|
12-15
|
|
Мобиль
|
1
|
159
|
|
9
|
15+
|
|
Конструктор
|
5
|
753
|
К какой возрастной группе принадлежит игрушка с наибольшим количеством единиц экземпляров на складе?
1) 6-.
2) 15.
3) 0-.
4) 1-3
А7. В электронной таблице ячейка Е1 пустая, а значение формулы =СУММ(Е1:F2) равно 9. Найдите значение ячейки F2, если значение формулы =СРЗНАЧ(Е2; F1) равно 5.
1) .
2) -.
3) 1.
4) 4
А8. Разрешение экрана монитора 1280 х 1024 точек. Глубина цвета 32 бит. Каков необходимый объём видеопамяти для данного режима?
1) 1,5 Мб
2) 5 Мб
3) 500 Кб
4) 1,5 Мбит
А9. Для передачи чисел по каналу с помехами используется код проверки чётности. Каждая его цифра записывается в двоичном представлении, с добавлением ведущих нулей до длины 4, и к получившейся последовательности дописывается сумма её элементов по модулю 2 (например, если передаём 23, то получим последовательность 0010100110). Определите, какое число передавалось по каналу в виде 01010100100111100011.
1) 597.
2) 5695.
3) 597.
4) 102153
А10. Укажите значения переменных А, В и С, при которых логическое выражение
истинно. Ответ запишите в виде строки из 3-х символов: значений переменных А,В и С (в указанном порядке). Например, строка 001 соответствует тому, что А = 0, В = 0, С = 1.
1) 00.
2) 01.
3) 10.
4) 101
A11. Необходимый для регистрации на сайте логин каждого пользователя состоит из 7 символов. Первые пять символов пользователь придумывает сам из 17-ти фиксированных букв латинского алфавита. Следующие два символа — десятичные цифры в любом порядке — автоматически дописываются программой.
Каждый такой код в компьютерной программе записывается минимально возможным и одинаковым целым количеством байт (при этом используют посимвольное кодирование и все символы кодируются одинаковым и минимально возможным количеством бит).
Определите объём памяти (в байтах), отводимый этой программой для записи 50-ти пользователей.
1) .
2) 5.
3) 12.
4) 250
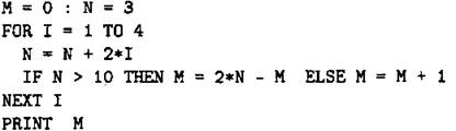
А12. Значения одномерного массива А, состоящего из 6-ти элементов, и двумерного массива В размером 6x6 задаются с помощью следующего фрагмента программы.
|
Бейсик
|
|

|
|
Паскаль
|
|

|
|
Алгоритмический язык
|
|

|
Сколько элементов массива В будут меньше 3.
1) 2.
2) 1.
3) .
4) 4
А13. Исполнитель Т1000 «живёт» на бесконечной в обе стороны ленте, разделённой на клетки (одна из клеток является текущей, в ней находится исполнитель). Система команд Т1000 включает следующие:
влево — переместиться на одну клетку влево;
вправо — переместиться на одну клетку вправо;
записать X — записать в текущую клетку число Х;
если X команда — выполнить команду, если в текущей клетке записано число Х;
пока X команда — выполнять команду, пока в текущей клетке записано число X.
Команда определяется как одна из команд, указанных выше, либо как последовательность команд. При записи программы такие вложенные команды отмечаются отступом.
Дана программа:
пока 1 влево
пока 0 влево
влево
пока 1
вправо
записать 0
пока 0 вправо
влево
записать 1
влево
пока 0 влево
влево
Она выполняется, начиная с крайней правой клетки с числом 1, в следующей начальной конфигурации (все остальные ячейки бесконечной ленты заполнены нулями и не показаны на схеме):

Как будет выглядеть данный фрагмент ленты после остановки программы?
1) 010001111110
2) 010100111110
3) 000111110010
4) 010110000110
Часть 2
В1. В таблице ниже представлена часть кодовой таблицы ASCII:
|
Символ
|
1
|
5
|
А
|
В
|
S
|
а
|
b
|
|
Десятичный код
|
49
|
53
|
65
|
66
|
83
|
97
|
98
|
|
Шестнадцатеричный код
|
31
|
35
|
41
|
42
|
53
|
61
|
62
|
Каков шестнадцатеричный код символа «s»?
В2. Исполнитель Конь находится на шахматной доске. Он имеет несколько команд: uur — две клетки вверх и одна вправо, urr — клетка вверх и две вправо, uul — две вверх и одна влево,ull — одна вверх и две влево, ddr —две клетки вниз и одна вправо, drr — клетка вниз и две вправо, ddl — две вниз и одна влево, dll — одна вниз и две влево. Какое минимальное количество команд необходимо исполнить Коню, чтобы побывать на всех клетках выделенного квадрата (см. рис. 89).

Рис. 89.
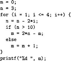
В3. Определите, что будет напечатано в результате работы следующего фрагмента программы:
|
Бейсик
|
Паскаль
|
|

|

|
|
Алгоритмический язык
|
Си
|
|

|

|
B4. Задано натуральное число п. Следующий алгоритм генерирует последовательность чисел.
Если число n — чётно, то поделим его на 2. Если n нечётное, то умножаем его на 3 и прибавляем к результату 1. Повторяем этот процесс с новым полученным n, пока n не станет равным 1. Например, для n = 26 будет сгенерирована следующая последовательность чисел: 26 13 40 20 10 5 16 8 4 2 1.
Для данного n длиной цикла n будем называть число сгенерированных чисел, включая 1. Например, длину цикла 26 находим из приведённой выше последовательности, она равна 11.
Определите максимальную длину цикла для всех чисел между 10 и 5 включительно.
В5. На первой диаграмме (см. рис. 90, а)) представлены средние цены (в руб.) для 4-х типов товаров. На второй (см. рис. 90, б)) — процентное отношение проданного товара по каждому из типов. Определите, какое количество товара 1 было продано, если общий объём проданного товара (1, 2, 3 и 4) составил 420 000 руб.

Рис. 90
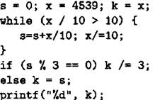
В6. Определите значение переменной к после выполнения следующего фрагмента программы.
|
Бейсик
|
Алгоритмический язык
|
|

|

|
|
Паскаль
|
Си
|
|

|

|
В7. Ниже на 4-х языках записан алгоритм. Получив на вход число Р, этот алгоритм печатает число В. Укажите такое число Р, при вводе которого алгоритм печатает 10000.
|
Бейсик
|
Алгоритмический язык
|
|

|

|
|
Паскаль
|
Си
|
|

|

|
В8. Если в трёхзначном десятичном числе вычеркнуть среднюю цифру, то оставшееся двузначное число будет записываться в восьмеричной системе счисления как 42g, а если у этого трёхзначного числа отбросить разряд единиц, то получившееся число будет оканчиваться в шестнадцатеричной системе счисления на Е. Найдите это трёхзначное число.
В9. На рисунке 91 показана схема автодорог между семью населёнными пунктами. Стрелками указаны направления соответствующих автодорог и расстояния между ними. Определите маршрут, по которому можно попасть из пункта А в пункт Н, преодолев наименьшее количество километров. В ответе укажите последовательность букв, соответствующих этому пути. Например, АВЕН.

Рис. 91.
В10. Сколько секунд потребуется модему, передающему сообщения со скоростью 300 Кбит/с, чтобы передать цветное растровое изображение размером 640 х 480 пикселей, при условии, что цвет каждого пикселя кодируется четырьмя байтами?
В11. Два компьютера в локальной сети кабинета информатики имеют свои уникальные IP-адреса. В таблице фрагменты IP-адресов закодированы буквами от А до 3. Запишите последовательность этих букв, кодирующую первый и второй IP-адреса (в порядке возрастания).
|
А
|
Б
|
В
|
Г
|
Д
|
Е
|
Ж
|
3
|
|
2.54
|
54.1
|
5.182.
|
16
|
.117
|
165.
|
18
|
21
|
В12. В таблице приведены запросы к поисковому серверу. Расположите номера запросов в порядке возрастания количества страниц, которые найдёт поисковый сервер по каждому запросу. Для обозначения логической операции «ИЛИ» в запросе используется символ |, а для логической операции «И» — &.
|
Номер
|
Запрос
|
|
1
|
Концепт-кар & Дизайн
|
|
2
|
(Светодиодный & Панели) | (Дизайн & Концепт-кар)
|
|
3
|
Светодиодный | Концепт-кар
|
|
4
|
Панели & Дизайн & Светодиодный & Концепт-кар
|
В13. Некий исполнитель умеет выполнять две команды:
DEL 2 — удаляет из числовой последовательности все цифры, стоящие на местах, кратных указанному числу (если это возможно);
MOVE — перемещает первую цифру последовательности в конец (если последовательность состоит из одной цифры, то команда игнорируется). Программа для исполнителя — это последовательность команд. Сколько различных последовательностей можно получить из последовательности 235235 с помощью программы, которая содержит ровно 4 команды?
В14. Определите, какое число будет напечатано в результате выполнения следующего алгоритма:
|
Бейсик
|
Алгоритмический язык
|
|

|

|
|
Паскаль
|
Си
|
|

|

|
В15. Найдите наибольшее целое отрицательное число X, при котором истинно высказывание 
Часть 3
С1. Требовалось написать программу, которая вводит с клавиатуры число и месяц — соответственно два двузначных целых числа (х, у) и определяет правильность введённой даты (с учётом количества дней в соответствующем месяце).
Программист торопился и написал программу неправильно.
|
Бейсик
|
Алгоритмический язык
|
|

|

|
|
Паскаль
|
Си
|
|

|

|
Последовательно выполните следующее.
1. Перерисуйте и заполните таблицу, которая показывает, как работает программа при различных значениях переменных: ch = 31, m = 10, ch = 31, m = 11, ch = 30, m = 2, ch = 20, m = 6,ch = 31, m = 10, ch = 12, m = 2.
В столбце условий укажите «да», если условие выполнится, «нет», если условие не выполнится, «—» (прочерк), если условие не будет проверяться. В столбце «Программа выведет» укажите, что программа выведет на экран. Если программа ничего не выводит, напишите «—» (прочерк). Если для разных значений, принадлежащих области, будут выведены разные тексты, напишите «не изв.». В последнем столбце укажите «да» или «нет».
2. Укажите, как нужно доработать программу, чтобы не было случаев её неправильной работы. (Это можно сделать несколькими способами, достаточно указать любой способ доработки исходной программы.)
|
Значение переменных
|
Усл. 1
(m = 1 или m = 3 или m = 5 или m= 7 или m = 8 или m = 10 или m = 12) и ch ≥ 1 и ch ≤ 31
|
Усл. 2
m = 4 или m = 6 илиm = 9 или m = 11) и
ch ≥ 1 и ch ≤ 30
|
Усл. 3
m = 2 и
ch ≥ 1 и ch ≤ 29
|
Программа выведет
|
Программа
Выполняется верно
|
|
ch = 31, m = 10
|
|
|
|
|
|
|
ch = 31, m = 11
|
|
|
|
|
|
|
ch = 30, m = 2
|
|
|
|
|
|
|
ch = 20, m = 6
|
|
|
|
|
|
|
ch = 31, m = 10
|
|
|
|
|
|
|
ch = 12, m = 2
|
|
|
|
|
|
С2. Дан целочисленный массив из 30-ти элементов. Элементы массива могут принимать целые значения от -20 до 20. Опишите на русском языке или на одном из языков программирования алгоритм, позволяющий найти суммы идущих подряд (не менее двух) чётных элементов и вывести наибольшую из них. Исходные данные объявлены так, как показано ниже. Запрещается использовать переменные, не описанные ниже, но использовать все описанные переменные не обязательно.
|
Бейсик
|
Алгоритмический язык
|
|

|

|
|
Паскаль
|
Си
|
|

|

|
|
Русский (естественный) язык
|
|
Объявляем массив А из 30 элементов.
Объявляем целочисленные переменные I, К, L, MAX.
В цикле от 1 до 30 вводим элементы массива А с 1-го по 30-ый.
...
|
В качестве ответа вам необходимо привести фрагмент программы (или описание алгоритма на естественном языке), который должен находиться на месте многоточия. Вы можете записать решение также на другом языке программирования (укажите название и используемую версию языка программирования, например, Borland Pascal 7.0) или в виде блок-схемы. В этом случае Вы должны использовать те же самые исходные данные и переменные, какие были предложены в условии (например, в образце, записанном на естественном языке).
С3. У исполнителя IFP15 две команды, которым присвоены номера:
1. прибавь 1,
2. если число простое, то умножь на 5.
Первая из них увеличивает число на экране на 1, вторая, в случае, если число на экране простое, увеличивает его в 5 раз. Программа для исполнителя IFP15 — это последовательность команд.
Определите количество программ, которые число 1 преобразуют в число 56?
Ответ обоснуйте.
С4. Метод кодирования шифром Ришелье заключается в следующем: пусть имеется сообщение над английским алфавитом и набор перестановок различной длины, тогда к сообщению применяют эти перестановки, разбивая сообщение на части и переставляя в них буквы определённым образом, в результате получают зашифрованное сообщение. Напишите программу, которая на вход получает сообщение и набор перестановок, и результатом её работы является зашифрованное методом Ришелье сообщение.
Замечание.
1) При шифровании сообщения в нём игнорируются пробелы и знаки препинания, а также все буквы переводятся в прописные.
2) Перестановка длины n — это набор чисел от 1 до n, записанный в определённом порядке. Элементы перестановки вводятся через пробел, а сами перестановки разделены
3) Суммарная длина перестановок совпадает с количеством букв в сообщении и не превышает 250.
Пример: Сообщение "I am hарру! и 2 перестановки "2 3 1; 4 2 1 3 5", тогда сообщение преобразуем к виду "IAMHAPPY", применяя первую перестановку к первым трём буквам, получим "АМI" вторую перестановку к следующим пяти буквам — "PAHPY". В итоге получим "AMIPAHPY".