Информатика - 20 тренировочных вариантов экзаменационных работ для подготовки к единому государственному экзамену - 2018 год
ВАРИАНТ 1
Часть 1
Ответами к заданиям 1—23 являются число, последовательность букв или цифр, которые следует записать в БЛАНК ОТВЕТОВ № 1 справа от номера соответствующего задания, начиная с первой клеточки, без пробелов, запятых и других дополнительных символов. Каждый символ пишите в отдельной клеточке в соответствии с приведёнными в бланке образцами.
1. Сколько единиц в двоичной записи числа 197?
Ответ: ____________________________ .
2. Дан фрагмент таблицы истинности выражения F, зависящего от трёх аргументов X, Y, Z:

Перечислите в порядке возрастания без запятых и пробелов номера логических выражений, которые соответствуют F:

Ответ: ________________________________ .
3. В таблице приведена стоимость перевозок между соседними железнодорожными станциями. Перечислите в порядке возрастания, без пробелов и запятых, номера схем, соответствующих таблице.


Ответ: ________________________________ .
4. Для групповых операций с файлами используются маски имён файлов. Маска представляет собой последовательность букв, цифр и прочих допустимых в именах файлов символов, в которой также могут встречаться следующие символы.
Символ “?” (вопросительный знак) означает ровно один произвольный символ.
Символ “*” (звёздочка) означает любую последовательность символов произвольной длины, в том числе “*” может задавать и пустую последовательность.
В каталоге находятся шесть файлов:

Ниже представлено восемь масок. Сколько из них таких, которым соответствует ровно четыре файла из данного каталога?
![]()
Ответ: ________________________________ .
5. Через канал связи передаётся сообщение, состоящее только из символов А, Б, В и Г. Эти символы кодируются неравномерным (по длине) кодом:
A-0, Б-10, В-110, Г-111. Исходное сообщение: ВГВБАВА. Закодируйте сообщение приведенным кодом. Полученную последовательность переведите в шестнадцатеричный вид. В ответе запишите последовательность шестнадцатеричных цифр без запятых.
Ответ: ________________________________ .
6. Предлагается некоторая операция над двумя произвольными трёхзначными десятичными числами:
1. Записывается результат сложения значений старших разрядов заданных чисел.
2. К нему дописывается результат сложения значений средних разрядов этих чисел по такому правилу: если он меньше первой суммы, то второе полученное число приписывается к первому слева, иначе — справа.
3. Итоговое число получают приписыванием справа к полученному после второго шага числу суммы значений младших разрядов исходных чисел.
Какие из предложенных чисел могут быть результатом такой операции?
Перечислите в алфавитном порядке буквы, соответствующие этим числам, без пробелов и знаков препинания.
A) 171412
B) 121419
C) 81714
D) 15117
E) 4809
Ответ: ________________________________ .
7. В электронной таблице значение формулы =СРЗНАЧ(А3:D4) равно 5. Чему равно значение формулы =СРЗНАЧ(А3:С4), если значение формулы =СУММ(D3:D4) равно 4?
Ответ: ________________________________ .
8. Определите, что будет напечатано в результате выполнения следующего фрагмента программы:
|
Бейсик |
Паскаль |
|
|
|
|
Си |
Алгоритмический язык |
|
|
|
Ответ: ________________________________ .
9. Скольких различных цветов (наибольшее количество) могут быть пиксели неупакованного растрового изображения, имеющего размер 1024X256 пикселей и занимающего на диске 160 килобайт?
Ответ: _______________________________ .
10. Азбука Морзе позволяет кодировать символы для сообщений по радиосвязи, задавая комбинацию точек и тире. Сколько различных символов (цифр, букв, знаков пунктуации и т. д.) можно закодировать, используя код Морзе длиной не менее трёх и не более четырёх сигналов (точек и тире)?
Ответ: _______________________________ .
11. Алгоритм вычисления значения функции F(n), где n — натуральное число, задан следующими соотношениями:
F(n) = F(n - 1)*n, при n > 1
F(1) = 1
Чему равно значение функции F(6)?
(В ответе запишите только натуральное число.)
Ответ: _______________________________ .
12. На месте преступления были обнаружены четыре обрывка бумаги. Следствие установило, что на них записаны фрагменты одного IP-адреса. Криминалисты обозначили эти фрагменты буквами А, В, С и D. Восстановите IР-адрес.
В ответе укажите последовательность букв, обозначающих фрагменты, в порядке, соответствующем IP-адресу.
|
|
|
|
|
|
А |
В |
С |
D |
Ответ: _______________________________ .
13. Репетиционный экзамен в школе сдают 105 человек. Каждому из них выделяют специальный номер, идентифицирующий его в автоматической системе проверки ответов. При регистрации участника для записи его номера система использует минимально возможное количество бит, одинаковое для каждого участника. Каков объём информации в битах, записанный устройством после регистрации 60 участников?
Ответ: ________________________________ .
14. Система команд исполнителя РОБОТ, “живущего” в прямоугольном лабиринте на клетчатой плоскости:
|
вверх |
вниз |
влево |
вправо |
При выполнении этих команд РОБОТ перемещается на одну клетку соответственно: вверх ↑, вниз ↓, влево ←, вправо →.
Четыре команды проверяют истинность условия отсутствия стены у той клетки, где находится РОБОТ:
|
сверху свободно |
снизу свободно |
слева свободно |
справа свободно |
Цикл
![]()
выполняется, пока условие истинно, иначе происходит переход на следующую строку.
Сколько клеток приведённого лабиринта соответствует требованию, что, выполнив предложенную ниже программу, РОБОТ остановится в той же клетке, с которой он начал движение?


Ответ: ________________________________ .
15. На карту нанесены 4 города (А, В, С и D).
Известно, что:
между городами А и С — две дороги,
между городами А и В — три дороги,
между городами В и С — четыре дороги,
между городами С и D — три дороги,
между городами В и D — три дороги.
По каждой из этих дорог можно ехать в обе стороны. Сколькими различными способами можно проехать из А в D, посещая каждый город не более одного раза?
Ответ: _______________________________ .
16. В системе счисления с некоторым основанием десятичное число 51 записывается в виде 102. Укажите это основание.
Ответ: _______________________________ .
17. В таблице приведены запросы к поисковому серверу. Расположите номера запросов в порядке возрастания количества страниц, которые найдет поисковый сервер по каждому запросу. В ответе перечислите цифры без пробелов и знаков препинания.
Для обозначения логической операции “ИЛИ” в запросе используется символ |, а для логической операции “И” — &.
|
№ |
Запрос |
|
1 |
кролики | лисицы |
|
2 |
(зайцы & кролики) | (лисицы & волки) |
|
3 |
зайцы & кролики & лисицы & волки |
|
4 |
зайцы & кролики |
Ответ: _______________________________ .
18. Какие из приведённых имён удовлетворяют логическому условию (последняя буква гласная → вторая буква согласная) Λ первая буква согласная
1) ВЛАДА
2) АЛИСА
3) МАРИЯ
4) РУСТАМ
5) АРТУР
В ответе перечислите номера имён в порядке возрастания без пробелов и знаков препинания.
Ответ: _______________________________ .
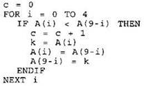
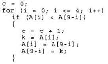
19. В программе используется целочисленный массив А с индексами от 0 до 9. Значения элементов массива равны 4; 7; 6; 4; 2; 3; 5; 10; 7; 8 соответственно, т.е. А[0] = 4; А[1] = 7 и т.д.
Определите значение переменной с после выполнения следующего фрагмента программы, записанной ниже на разных языках программирования.
|
Бейсик |
Паскаль |
|
|
|
|
Си |
Алгоритмический язык |
|
|
|
Ответ: _______________________________ .
20. Ниже на 4-х языках записан алгоритм. Получив на вход число х, этот алгоритм печатает число М. Укажите наибольшее чётное число х, при вводе которого алгоритм печатает 256.
|
Бейсик |
Паскаль |
|
|
|
|
Си |
Алгоритмический язык |
|
|
|
Ответ: _______________________________ .
21. Определите, какое число будет напечатано в результате выполнения следующего алгоритма (для Вашего удобства алгоритм представлен на четырёх языках):
|
Бейсик |
Паскаль |
|
|
|
|
Си |
Алгоритмический язык |
|
|
|
Ответ: _______________________________ .
22. У исполнителя Кузнечик две команды:
1. вычти 3,
2. прибавь 5.
Первая из них уменьшает число на экране на 3, вторая — увеличивает его на 5 (отрицательные числа допускаются).
Программа для Кузнечика — это последовательность команд. Сколько различных чисел можно получить из числа 1 с помощью программы, которая содержит ровно 6 команд?
Ответ: _______________________________ .
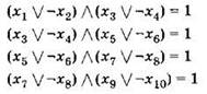
23. Сколько существует различных наборов значений логических переменных х1, х2, ... х9, х10, которые удовлетворяют всем перечисленным ниже условиям?

В ответе не нужно перечислять все различные наборы значений х1, х2, ... х9, х10, при которых выполнена данная система равенств. В качестве ответа вам нужно указать количество таких наборов.
Ответ: ________________________________ .
Не забудьте перенести все ответы в бланк ответов № 1 в соответствии с инструкцией по выполнению работы.
Часть 2
Для записи ответов на задания этой части (24—27) используйте БЛАНК ОТВЕТОВ № 2. Запишите сначала номер задания (24, 25 и т. д.), а затем полное решение. Ответы записывайте чётко и разборчиво.
24. Требовалось написать программу, которая вводит с клавиатуры координаты точки на плоскости (X, у — действительные числа) и определяет принадлежность точки заштрихованной области. Программист торопился и написал программу неправильно.

|
Паскаль |
Бейсик |
|
|
|
|
Си |
Алгоритмический язык |
|
|
|
Последовательно выполните следующее:
1) Приведите пример таких чисел х, у при которых программа работает неправильно.
2) Укажите, как нужно доработать программу, чтобы не было случаев её неправильной работы. (Это можно сделать несколькими способами, поэтому можно указать любой способ доработки исходной программы).
25. Дан целочисленный массив из 28 элементов. Элементы массива могут принимать значения от 0 до 100 — процент выполнения учащимися домашних заданий по информатике. Для получения положительной оценки за год требовалось набрать не менее 40 баллов. Опишите на русском языке или на одном из языков программирования алгоритм, который находит и выводит минимальный балл среди учащихся, получивших за год положительную оценку. Гарантируется, что в классе хотя бы один учащийся получил за год положительную оценку.
Исходные данные объявлены так, как показано ниже. Запрещается использовать переменные, не описанные ниже, но разрешается не использовать часть из них.
|
Паскаль |
Бейсик |
|
|
|
|
СИ |
Алгоритмический язык |
|
|
|
|
Русский (естественный) язык |
|
|
Объявляем массив А из 28 элементов. Объявляем целочисленные переменные I, J, MIN. В цикле от 1 до 28 вводим элементы массива А с 1-го по 28-й. ... |
|
В качестве ответа вам необходимо привести фрагмент программы (или описание алгоритма на естественном языке), который должен находиться на месте многоточия. Вы можете записать решение также на другом языке программирования (укажите название и используемую версию языка программирования, например Borland Pascal 7.0) или в виде блок-схемы. В этом случае вы должны использовать те же самые исходные данные и переменные, какие были предложены в условии (например, в образце, записанном на естественном языке).
26. У исполнителя Калькулятор две команды, которым присвоены номера:
1. прибавь 3,
2. умножь на 3.
Первая из них увеличивает число на экране на 3, вторая — утраивает его. Программа для Калькулятора — это последовательность команд.
Сколько есть программ, которые число 3 преобразуют в число 93?
Ответ обоснуйте.
27. После единых выпускных экзаменов по информатике в район пришла информация о том, какой ученик какой школы сколько баллов набрал. Эта информация в том же виде была разослана в школы.
Завуч школы № 50 решила наградить двух учащихся, которые лучше всех в школе сдали информатику.
Программа должна вывести на экран фамилии и имена этих учеников.
Если наибольший балл набрало больше двух человек — вывести количество таких учеников.
Если наибольший балл набрал один человек, а следующий балл набрало несколько человек — нужно вывести только фамилию и имя лучшего.
Напишите эффективную, в том числе и по используемой памяти, программу (укажите используемую версию языка программирования, например, Borland Pascal 7.0), которая должна вывести на экран требуемую информацию. Известно, что информатику сдавало больше 5-ти учеников школы № 50.
На вход программе сначала подаётся число учеников, сдававших экзамен. В каждой из следующих N строк находится информация об учениках в формате:
<Фамилия> <Имя> <Номер школы> <Количество баллов>,
где <Фамилия> — строка, состоящая не более, чем из 30 символов без пробелов, <Имя> — строка, состоящая не более, чем из 20 символов без пробелов, <Номер школы> — целое число в диапазоне от 1 до 99, <Количество баллов> — целое число диапазоне от 1 до 100. Эти данные записаны через пробел, причём ровно один между каждой парой (то есть, всего по три пробела в каждой строке).
Пример входной строки:
Иванов Иван 50 87
Пример выходных данных:
Круглов Василий
Тарасова Дарья
Другой вариант выходных данных:
7
Третий вариант выходных данных:
Гусарский Илья























