Информатика - 20 тренировочных вариантов экзаменационных работ для подготовки к единому государственному экзамену - 2018 год
ВАРИАНТ 2
Часть 1
Ответами к заданиям 1—23 являются число, последовательность букв или цифр, которые следует записать в БЛАНК ОТВЕТОВ № 1 справа от номера соответствующего задания, начиная с первой клеточки, без пробелов, запятых и других дополнительных символов. Каждый символ пишите в отдельной клеточке в соответствии с приведёнными в бланке образцами.
1. Сколько единиц в двоичной записи числа 508?
Ответ: ________________________________ .
2. Дан фрагмент таблицы истинности выражения F, зависящего от трёх аргументов X, Y, Z:

Перечислите в порядке возрастания без запятых и пробелов номера логических выражений, которые соответствуют F:

Ответ: ________________________________ .
3. В таблице приведена стоимость перевозок между соседними железнодорожными станциями. Перечислите в порядке возрастания, без пробелов и запятых, номера схем, соответствующих таблице.


Ответ: ________________________________ .
4. Дан фрагмент базы данных, содержащий информацию о родственных отношениях. Определите на основании приведённых данных ГО дедушки Марченко Е.Е.
|
Таблица 1 |
Таблица 2 |
||||
|
ID |
Фамилия И.О. |
Пол |
ID_Родителя |
ID_Ребёнка |
|
|
1453 |
Дени К.Д. |
Ж |
5363 |
4218 |
|
|
2185 |
Ирта О.Б. |
Ж |
2185 |
4218 |
|
|
2605 |
Гано И.Е. |
Ж |
7148 |
5363 |
|
|
3474 |
Ивенко Д.Я. |
М |
1453 |
5363 |
|
|
4218 |
Бабенко А.Е. |
М |
3474 |
1453 |
|
|
5363 |
Марченко Е.Е. |
М |
7814 |
1453 |
|
|
5771 |
Арне А.А. |
М |
7148 |
2605 |
|
|
7148 |
Камо Е.А. |
М |
1453 |
2605 |
|
|
7814 |
Исава Г. А. |
Ж |
2605 |
8208 |
|
|
8208 |
Сорт А.К. |
Ж |
5771 |
7814 |
|
|
... |
... |
... |
|||
Ответ: ________________________________ .
5. Через канал связи передаётся сообщение, состоящее только из символов А, Б, В и Г. Эти символы кодируются неравномерным (по длине) кодом:
А-101, Б-01, В-11, Г-100. Исходное сообщение: АВАБАГ. Закодируйте сообщение приведённым кодом. Полученную последовательность переведите в шестнадцатеричный вид. В ответе запишите последовательность шестнадцатеричных цифр без запятых.
Ответ: ________________________________ .
6. У исполнителя Удвоитель две команды, которым присвоены номера:
1. умножь на 2,
2. прибавь 3.
Первая из них удваивает число на экране, вторая — увеличивает его на 3.
Запишите порядок команд в программе преобразования числа 4 в число 47, содержащей не более 5 команд, указывая лишь номера команд. (Например, 21211 — это программа
прибавь 3
умножь на 2
прибавь 3
умножь на 2
умножь на 2,
которая преобразует число 1 в 44.)
(Если таких программ более одной, то запишите любую из них.)
Ответ: ________________________________ .
7. Дан фрагмент электронной таблицы:
|
А |
В |
С |
D |
|
|
1 |
3 |
5 |
||
|
2 |
=А1/3 |
=(А1+С1+1)/3 |
=С1 - 2 |
=(В1+С2)/6 |
Какое число должно быть записано в ячейке В1, чтобы построенная после выполнения вычислений диаграмма по значениям диапазона ячеек A2:D2 соответствовала рисунку?

Ответ: _______________________________ .
8. Определите, что будет напечатано в результате выполнения следующего фрагмента программы:
|
Бейсик |
Паскаль |
|
|
|
|
Си |
Алгоритмический язык |
|
|
|
Ответ: _______________________________ .
9. Для передачи файла объёмом 512 Кбайт используется канал связи с пропускной способностью 2 Мбит/с. За какое минимальное время (в секундах) может быть передан файл? В ответе запишите только целое число, единицу измерения писать не нужно.
Ответ:_______________________________ .
10. Все 4-буквенные слова, составленные из букв А, Е, И, О, записаны в алфавитном порядке. Вот начало списка:
1. АААА
2. АААЕ
3. АААИ
4. АААО
5. ААЕА
Запишите слово, стоящее на 248-м месте от начала списка.
Ответ: ________________________________ .
11. Алгоритм вычисления значения функции F(n), где n — натуральное число, задан следующими соотношениями:
F(n) = F(n - 1)*n, при n > 1
F(1) = 2
Чему равно значение функции F(5)?
(В ответе запишите только натуральное число.)
Ответ: ________________________________ .
12. На месте преступления были обнаружены четыре обрывка бумаги. Следствие установило, что на них записаны фрагменты одного IP-адреса. Криминалисты обозначили эти фрагменты буквами А, В, С и D. Восстановите IР-адрес.
В ответе укажите последовательность букв, обозначающих фрагменты, в порядке, соответствующем IP-адресу.
|
|
|
|
|
|
А |
В |
С |
D |
Ответ: ________________________________ .
13. Метеорологическая станция ведёт наблюдение за влажностью воздуха. Результатом одного измерения является целое число от 1 до 100 процентов, которое записывается при помощи минимально возможного количества бит. Станция сделала 200 измерений. Определите информационный объём в битах результатов наблюдений.
Ответ: ________________________________ .
14. Система команд исполнителя РОБОТ, “живущего” в прямоугольном лабиринте на клетчатой плоскости:
|
вверх |
вниз |
влево |
вправо |
При выполнении этих команд РОБОТ перемещается на одну клетку соответственно: вверх ↑, вниз ↓, влево ←, вправо →.
Четыре команды проверяют истинность условия отсутствия стены у той клетки, где находится РОБОТ:
|
сверху свободно |
снизу свободно |
слева свободно |
справа свободно |
Цикл
![]()
выполняется, пока условие истинно, иначе происходит переход на следующую строку.
Если РОБОТ начнёт движение в сторону стены, то он разрушится и программа прервётся. Сколько клеток лабиринта соответствуют требованию, что выполнив предложенную программу, РОБОТ уцелеет и остановится в той же клетке, с которой он начал движение?


Ответ: ________________________________ .
15. На карту нанесены 4 города (А, В, С и D).
Известно, что:
между городами А и С — три дороги,
между городами С и В — две дороги,
между городами А и В — две дороги,
между городами С и D — две дороги,
между городами В и D — четыре дороги.
По каждой из этих дорог можно ехать в обе стороны. Сколькими различными способами можно проехать из А в D, посещая каждый город не более одного раза?
Ответ: _______________________________ .
16. В системе счисления с некоторым основанием десятичное число 52 записывается в виде 202. Укажите это основание.
Ответ: _______________________________ .
17. В таблице приведены запросы к поисковому серверу. Расположите номера запросов в порядке убывания количества страниц, которые найдёт поисковый сервер по каждому запросу. В ответе перечислите цифры без пробелов и знаков препинания.
Для обозначения логической операции “ИЛИ” в запросе используется символ |, а для логической операции “И” — &.
|
№ |
Запрос |
|
1 |
яблоки|сливы |
|
2 |
сливы | (сливы & груши) |
|
3 |
яблоки | груши | сливы |
|
4 |
(яблоки | груши) & сливы |
Ответ: _______________________________ .
18. Какие из приведённых названий животных удовлетворяют логическому условию:
(первая буква гласная → вторая буква гласная) Λ
Λ (последняя буква согласная → предпоследняя буква согласная)
1) СТРАУС
2) АНТИЛОПА
3) ЖИРАФ
4) ДОДО
5) ТИГР
В ответе перечислите номера названий животных в порядке возрастания без пробелов и знаков препинания.
Ответ: ________________________________ .
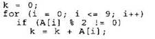
19. В программе используется целочисленный массив А с индексами от 0 до 9. Значения элементов массива равны 4; 7; 6; 4; 2; 3; 5; 10; 7; 8 соответственно, т.е. А[0] = 4; А[1] = 7 и т.д.
Определите значение переменной k после выполнения следующего фрагмента программы, записанной ниже на разных языках программирования.
|
Бейсик |
Паскаль |
|
|
|
|
Си |
Алгоритмический язык |
|
|
|
Ответ: ________________________________ .
20. Ниже на 4-х языках записан алгоритм. Получив на вход число х, этот алгоритм печатает два числа L и М. Укажите наименьшее из таких чисел х, при вводе которых алгоритм печатает сначала 3, а потом 7.
|
Бейсик |
Паскаль |
|
|
|
|
Си |
Алгоритмический язык |
|
|
|
Ответ: ________________________________ .
21. Определите, какое число будет напечатано в результате выполнения следующего алгоритма (для Вашего удобства алгоритм представлен на четырёх языках):
|
Бейсик |
Паскаль |
|
|
|
|
Си |
Алгоритмический язык |
|
|
|
Ответ: ________________________________ .
22. У исполнителя Кузнечик две команды:
1. вычти 4,
2. вычти 5.
Первая из них уменьшает число на экране на 4, вторая — уменьшает его на 5 (отрицательные числа допускаются).
Программа для Кузнечика — это последовательность команд. Сколько различных чисел можно получить из числа 6 с помощью программы, которая содержит ровно 8 команд?
Ответ: ________________________________ .
23. Сколько существует различных наборов значений логических переменных x1, х2, ... х9, х10, которые удовлетворяют всем перечисленным ниже условиям?

В ответе не нужно перечислять все различные наборы значений x1, х2, ... х9, х10, при которых выполнена данная система равенств. В качестве ответа вам нужно указать количество таких наборов.
Ответ: ________________________________ .
Не забудьте перенести все ответы в бланк ответов № 1 в соответствии с инструкцией по выполнению работы.
Часть 2
Для записи ответов на задания этой части (24-27) используйте БЛАНК ОТВЕТОВ № 2. Запишите сначала номер задания (24, 25 и т. д.), а затем полное решение. Ответы записывайте чётко и разборчиво.
24. Требовалось написать программу, которая вводит с клавиатуры координаты точки на плоскости (х, у — действительные числа) и определяет принадлежность точки заштрихованной области. Программист торопился и написал программу неправильно.

|
Паскаль |
Бейсик |
|
|
|
|
Си |
Алгоритмический язык |
|
|
|
Последовательно выполните следующее:
1. Приведите пример таких чисел х, у при которых программа работает неправильно.
2. Укажите, как нужно доработать программу, чтобы не было случаев её неправильной работы. (Это можно сделать несколькими способами, поэтому можно указать любой способ доработки исходной программы).
25. Дан вещественный массив из 50 элементов. Элементы массива могут принимать произвольные значения. Опишите на русском языке или на одном из языков программирования алгоритм, который находит и выводит наименьший номер отрицательного элемента массива или сообщение, что такого элемента нет.
Исходные данные объявлены так, как показано ниже. Запрещается использовать переменные, не описанные ниже, но разрешается не использовать часть из них.
|
Паскаль |
Бейсик |
|
|
|
|
СИ |
Алгоритмический язык |
|
|
|
|
Русский (естественный) язык |
|
|
Объявляем массив А из 50 элементов. Объявляем целочисленные переменные I, J. В цикле от 1 до 50 вводим элементы массива А с 1-го по 50-й. ... |
|
В качестве ответа вам необходимо привести фрагмент программы (или описание алгоритма на естественном языке), который должен находиться на месте многоточия. Вы можете записать решение также на другом языке программирования (укажите название и используемую версию языка программирования, например Borland Pascal 7.0) или в виде блок-схемы. В этом случае вы должны использовать те же самые исходные данные и переменные, какие были предложены в условии (например, в образце, записанном на естественном языке).
26. Два игрока, Петя и Ваня, играют в следующую игру. Перед ними лежат две кучки камней, в первой из которых 4, а во второй — 3 камня. У каждого игрока неограниченно много камней. Игроки ходят по очереди, первый ход делает Петя. Ход состоит в том, что игрок или утраивает число камней в какой-то кучке, или добавляет 2 камня в какую-то кучку. Игра завершается в тот момент, когда количество камней в одной из кучек становится не менее 19. Если в момент завершения игры общее число камней в двух кучках не менее 33, то выиграл Ваня, в противном случае — Петя. Кто выигрывает при безошибочной игре обоих игроков? Каким должен быть первый ход выигрывающего игрока? Ответ обоснуйте.
27. После единых выпускных экзаменов по информатике в район пришла информация о том, какой ученик какой школы сколько баллов набрал.
Районный методист решила выяснить номер школы, ученики которой набрали наибольший средний балл, с точностью до целых.
Программа должна вывести на экран номер такой школы и её средний балл.
Если наибольший средний балл набрало больше одной школы — вывести количество таких школ.
Напишите эффективную, в том числе и по используемой памяти, программу (укажите используемую версию языка программирования, например, Borland Pascal 7.0), которая должна вывести на экран требуемую информацию. Известно, что информатику сдавало больше 5-ти учеников района. Также известно, что в районе школы с некоторыми номерами не существуют.
На вход программе сначала подаётся число учеников, сдававших экзамен. В каждой из следующих N строк находится информация об учениках в формате:
<Фамилия> <Имя> <Номер школы> <Количество баллов>,
где <Фамилия> — строка, состоящая не более, чем из 30 символов без пробелов, <Имя> — строка, состоящая не более, чем из 20 символов без пробелов, <Номер школы> — целое число в диапазоне от 1 до 99, <Количество баллов> — целое число диапазоне от 1 до 100. Эти данные записаны через пробел, причём ровно один между каждой парой (то есть, всего по три пробела в каждой строке).
Пример входной строки:
Иванов Иван 50 87
Пример выходных данных:
50 74
Другой вариант выходных данных:
7























