Информатика - 20 тренировочных вариантов экзаменационных работ для подготовки к единому государственному экзамену - 2018 год
ВАРИАНТ 3
Часть 1
Ответами к заданиям 1—23 являются число, последовательность букв или цифр, которые следует записать в БЛАНК ОТВЕТОВ № 1 справа от номера соответствующего задания, начиная с первой клеточки, без пробелов, запятых и других дополнительных символов. Каждый символ пишите в отдельной клеточке в соответствии с приведёнными в бланке образцами.
1. Дано А = 3258, В = D716. Укажите число С, записанное в двоичной системе счисления, которое отвечает условию А < С < В. Основание системы счисления указывать не нужно. (Например, если ответ должен быть 11002, в ответе нужно записать 1100.)
Ответ: __________________________ .
2. Дан фрагмент таблицы истинности выражения F, зависящего от трёх аргументов X, Y, Z:

Перечислите в порядке возрастания без запятых и пробелов номера логических выражений, которые соответствуют F:

Ответ: __________________________ .
3. В таблице приведена стоимость перевозок между соседними железнодорожными станциями. Перечислите в порядке возрастания, без пробелов и запятых, номера таблиц, соответствующих схеме.


Ответ: __________________________ .
4. Для групповых операций с файлами используются маски имён файлов. Маска представляет собой последовательность букв, цифр и прочих допустимых в именах файлов символов, в которой также могут встречаться следующие символы.
Символ “?” (вопросительный знак) означает ровно один произвольный символ.
Символ “*” (звёздочка) означает любую последовательность символов произвольной длины, в том числе “*” может задавать и пустую последовательность.
В каталоге находятся шесть файлов:

Ниже представлено восемь масок. Сколько из них таких, которым соответствует ровно три файла из данного каталога?
![]()
Ответ: __________________________ .
5. Для 5 букв латинского алфавита заданы их двоичные коды. Эти коды представлены в таблице:
|
А |
В |
С |
D |
Е |
|
00 |
100 |
110 |
01 |
101 |
Определите, какой набор букв закодирован двоичной последовательностью 110011000011010101. В ответе запишите последовательность букв без запятых.
Ответ: ________________________________ .
6. Автомат получает на вход два двузначных шестнадцатеричных числа. В этих числах все цифры не превосходят цифру 6 (если в числе есть цифра больше 6, автомат отказывается работать). По этим числам строится новое шестнадцатеричное число по следующим правилам.
1. Вычисляются два шестнадцатеричных числа — сумма старших разрядов полученных чисел и сумма младших разрядов этих чисел.
2. Полученные два шестнадцатеричных числа записываются друг за другом в порядке убывания (без разделителей).
Пример. Исходные числа: 25, 66. Поразрядные суммы: 8, В. Результат: В8.
Какие из предложенных чисел могут быть результатом работы автомата?
Перечислите в алфавитном порядке буквы, соответствующие этим числам, без пробелов и знаков препинания.
A) 127
B) С6
C) ВА
D) Е3
E) D1
Ответ: ________________________________ .
7. При работе с электронной таблицей в ячейку С3 записана формула: =$В3+С$2. Какой вид приобретёт формула, после того как ячейку С3 скопируют в ячейку D2?
Ответ: ________________________________ .
8. Определите, что будет напечатано в результате выполнения следующего фрагмента программы:
|
Бейсик |
Паскаль |
|
|
|
|
Си |
Алгоритмический язык |
|
|
|
Ответ: ________________________________ .
9. Какой объём на диске (в Мбайт) будет занимать неупакованное 16-цветное изображение, содержащее изображение размером 2048X1024 пикселей? В ответе запишите только целое число, единицу измерения писать не нужно.
Ответ: ________________________________ .
10. Петя и Вася передают друг другу сообщения, используя трёхцветный фонарик. На фонарике имеется три кнопки, соответствующие цвету, которым будет светить фонарик (красный, зелёный и синий). Две кнопки одновременно нажать нельзя. Для передачи сообщения мальчики последовательно нажимают одну из этих кнопок пять раз. Сколько различных сообщений могут передать мальчики?
Ответ: ________________________________ .
11. Алгоритм вычисления значения функции F(n), где n — натуральное число, задан следующими соотношениями:
F(n) = F(n - 1) + F(n - 2), при n > 2
F(1) = F(2) = 1
Чему равно значение функции F(8)?
(В ответе запишите только натуральное число.)
Ответ: ________________________________ .
12. Доступ к файлу www.com, находящемуся на сервере http.txt, осуществляется по протоколу ftp. В таблице фрагменты адреса файла закодированы буквами от А до G. Запишите последовательность этих букв, кодирующую адрес указанного файла.
|
А |
В |
С |
D |
Е |
F |
G |
|
:// |
www |
.txt |
http |
ftp |
.com |
/ |
Ответ: ________________________________ .
13. В велокроссе участвует 60 спортсменов. Автоматическое устройство кодирует номер каждого спортсмена минимально возможным и одинаково целым количеством бит. Финишировали 30 спортсменов. Определите информационный объём (в битах), отводимой памятью устройства для записи результатов всех финишировавших спортсменов.
Ответ: ________________________________ .
14. Система команд исполнителя РОБОТ, “живущего” в прямоугольном лабиринте на клетчатой плоскости:
|
вверх |
вниз |
влево |
вправо |
При выполнении этих команд РОБОТ перемещается на одну клетку соответственно: вверх ↑, вниз ↓, влево ←, вправо →.
Четыре команды проверяют истинность условия отсутствия стены у той клетки, где находится РОБОТ:
|
сверху свободно |
снизу свободно |
слева свободно |
справа свободно |
Цикл
![]()
Выполняется, пока условие истинно, иначе происходит переход на следующую строку. Сколько клеток приведённого лабиринта соответствует требованию, что, выполнив предложенную ниже программу, РОБОТ остановится в той же клетке, с которой он начал движение?


Ответ: _______________________________ .
15. На рисунке — схема дорог, связывающих города А, Б, В, Г, Д, Е, Ж, И, К. По каждой дороге можно двигаться только в одном направлении, указанном стрелкой. Сколько существует различных путей из города А в город К?

Ответ: _______________________________ .
16. Укажите через запятую в порядке возрастания все основания систем счисления, в которых запись числа 32 оканчивается на 4.
Ответ: _______________________________ .
17. В языке запросов к поисковому серверу для обозначения логической операции “ИЛИ” используется символ |, а для логической операции “И” — &. В таблице приведено количество страниц, которое находит поисковая система по каждому запросу.
|
Запрос |
Количество найденных страниц |
|
Яблоки |
7300 |
|
Яблоки | Сливы |
14800 |
|
Яблоки & Сливы |
1400 |
Какое количество страниц будет найдено по запросу: Сливы?
Считается, что все запросы выполнялись практически одновременно, так что набор страниц, содержащих все искомые слова, не изменялся за время выполнения запросов.
Ответ: _______________________________ .
18. Для какого целого числа X ложно высказывание: ![]()
Ответ: _______________________________ .
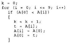
19. В программе используется целочисленный массив А с индексами от 0 до 9. Значения элементов массива равны 4; 5; 4; 7; 6; 3; 9; 11; 7; 8 соответственно, т.е. А[0] = 4; А[1] = 5 и т.д.
Определите значение переменной k после выполнения следующего фрагмента программы, записанной ниже на разных языках программирования.
|
Бейсик |
Паскаль |
|
|
|
|
Си |
Алгоритмический язык |
|
|
|
Ответ: _______________________________ .
20. Ниже на четырёх языках записан алгоритм. Получив на вход число х, этот алгоритм печатает число М. Укажите число х, при вводе которого алгоритм печатает 126.
|
Бейсик |
Паскаль |
|
|
|
|
Си |
Алгоритмический язык |
|
|
|
Ответ: _______________________________ .
21. Определите, при каком наименьшем значении b в результате выполнения следующего алгоритма будет напечатано число 100 (для Вашего удобства алгоритм представлен на четырёх языках):
|
Бейсик |
Паскаль |
|
|
|
|
Си |
Алгоритмический язык |
|
|
|
Ответ: _______________________________ .
22. У исполнителя Кузнечик две команды:
1. прибавь 6,
2. прибавь 3.
Первая из них увеличивает число на экране на 6, вторая — увеличивает его на 3. Программа для Кузнечика — это последовательность команд. Сколько различных чисел можно получить из числа О с помощью программы, которая содержит не более 8 команд?
Ответ: _______________________________ .
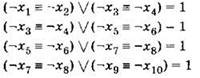
23. Сколько существует различных наборов значений логических переменных x1, х2, ... х9, x10, которые удовлетворяют всем перечисленным ниже условиям?

В ответе не нужно перечислять все различные наборы значений x1, х2, ... х9, x10, при которых выполнена данная система равенств. В качестве ответа вам нужно указать количество таких наборов.
Ответ: _______________________________ .
Не забудьте перенести все ответы в бланк ответов № 1 в соответствии с инструкцией по выполнению работы.
Часть 2
Для записи ответов на задания этой части (24—27) используйте БЛАНК ОТВЕТОВ № 2. Запишите сначала номер задания (24, 25 и т. д.), а затем полное решение. Ответы записывайте чётко и разборчиво.
24. Требовалось написать программу, которая вводит с клавиатуры координаты точки на плоскости (х, у — действительные числа) и определяет принадлежность точки заштрихованной области. Программист торопился и написал программу неправильно.

|
Паскаль |
Бейсик |
|
|
|
|
Си |
Алгоритмический язык |
|
|
|
Последовательно выполните следующее:
1. Приведите пример таких чисел х, у при которых программа работает неправильно.
2. Укажите, как нужно доработать программу, чтобы не было случаев её неправильной работы. (Это можно сделать несколькими способами, поэтому можно указать любой способ доработки исходной программы).
25. Дан вещественный массив из 40 элементов. Элементы массива могут принимать произвольные значения. Опишите на русском языке или на одном из языков программирования алгоритм, который находит и выводит минимальный положительный элемент массива или сообщение, что такого элемента нет.
Исходные данные объявлены так, как показано ниже. Запрещается использовать переменные, не описанные ниже, но разрешается не использовать часть из них.
|
Паскаль |
Бейсик |
|
|
|
|
СИ |
Алгоритмический язык |
|
|
|
|
Русский (естественный) язык |
|
|
Объявляем массив А из 40 элементов. Объявляем целочисленные переменные I, J, и вещественную переменную MIN. В цикле от 1 до 40 вводим элементы массива А с 1-го по 40-й. ... |
|
В качестве ответа вам необходимо привести фрагмент программы (или описание алгоритма на естественном языке), который должен находиться на месте многоточия. Вы можете записать решение также на другом языке программирования (укажите название и используемую версию языка программирования, например Borland Pascal 7.0) или в виде блок-схемы. В этом случае вы должны использовать те же самые исходные данные и переменные, какие были предложены в условии (например, в образце, записанном на естественном языке).
26. Два игрока играют в следующую игру. На координатной плоскости в точке (1,0) стоит фишка. Игроки ходят по очереди. Ход состоит в том, что игрок перемещает фишку из точки с координатами (x, у) в одну из трёх точек: в точку с координатами (х + 3, у), в точку (х, у + 3) или в точку (x + 3, у + 3). Выигрывает игрок, после хода которого, расстояние по прямой от фишки до точки с координатами (0, 0) не меньше 13 единиц. Кто выигрывает при безошибочной игре обоих игроков — игрок, делающий первый ход, или игрок, делающий второй ход? Какими должны быть ходы выигрывающего игрока? Ответ обоснуйте.
27. После единых выпускных экзаменов по информатике в район пришла информация о том, какой ученик какой школы сколько баллов набрал.
Районный методист решила выяснить номера школ, ученики которых набрали средний балл по школе, больший, чем районный средний балл (все средние баллы вычисляются с точностью до целых).
Программа должна вывести на экран номера таких школ, в любом порядке.
Если такая школа окажется только одна — вывести также средний балл по этой школе, с указанием, что это средний балл.
Напишите эффективную, в том числе и по используемой памяти, программу (укажите используемую версию языка программирования, например, Borland Pascal 7.0), которая должна вывести на экран требуемую информацию. Известно, что информатику сдавало больше 5-ти учеников района. Также известно, что в районе школы с некоторыми номерами не существуют.
На вход программе сначала подается число учеников, сдававших экзамен. В каждой из следующих N строк находится информация об учениках в формате:
<Фамилия> <Имя> <Номер школы> <Количество баллов>,
где <Фамилия> — строка, состоящая не более, чем из 30 символов без пробелов, <Имя> — строка, состоящая не более, чем из 20 символов без пробелов, <Номер школы> — целое число в диапазоне от 1 до 99, <Количество баллов> — целое число диапазоне от 1 до 100. Эти данные записаны через пробел, причём ровно один между каждой парой (то есть, всего по три пробела в каждой строке).
Пример входной строки:
Иванов Иван 50 87
Пример выходных данных:
5 50 74 87
Другой вариант выходных данных:
7
Средний балл = 74























