Информатика - 20 тренировочных вариантов экзаменационных работ для подготовки к единому государственному экзамену - 2018 год
ВАРИАНТ 4
Часть 1
Ответами к заданиям 1—23 являются число, последовательность букв или цифр, которые следует записать в БЛАНК ОТВЕТОВ № 1 справа от номера соответствующего задания, начиная с первой клеточки, без пробелов, запятых и других дополнительных символов. Каждый символ пишите в отдельной клеточке в соответствии с приведёнными в бланке образцами.
1. Дано а = 9В16, b = 2358. Укажите число с, записанное в двоичной системе счисления, которое отвечает условию а < с < b? Основание системы счисления указывать не нужно. Например, если ответ должен быть 11002, в ответе нужно записать 1100.
Ответ: __________________________ .
2. Дан фрагмент таблицы истинности выражения F, зависящего от трех аргументов X, Y, Z:

Перечислите в порядке возрастания без запятых и пробелов номера логических выражений, которые соответствуют F:

Ответ: __________________________ .
3. В таблице приведена стоимость перевозок между соседними железнодорожными станциями. Перечислите в порядке возрастания, без пробелов и запятых, номера таблиц, соответствующих схеме.


Ответ: __________________________ .
4. Дан фрагмент базы данных, содержащий информацию о родственных отношениях. Определите на основании приведённых данных ГО внука Дени К.Д.
|
Таблица 1 |
Таблица 2 |
||||
|
ID |
Фамилия И.О. |
Пол |
ID_Родителя |
ID_Ребёнка |
|
|
1453 |
Дени К.Д. |
Ж |
5363 |
4218 |
|
|
2185 |
Ирта О.Б. |
Ж |
2185 |
4218 |
|
|
2605 |
Гано И.Е. |
Ж |
7148 |
5363 |
|
|
3474 |
Ивенко Д.Я. |
М |
1453 |
5363 |
|
|
4218 |
Бабенко А.Е. |
М |
3474 |
1453 |
|
|
5363 |
Марченко Е.Е. |
М |
7814 |
1453 |
|
|
5771 |
Арне А.А. |
М |
7148 |
2605 |
|
|
7148 |
Камо Е.А. |
М |
1453 |
2605 |
|
|
7814 |
Исава Г.А. |
Ж |
2605 |
8208 |
|
|
8208 |
Сорт А.К. |
Ж |
5771 |
7814 |
|
|
... |
... |
... |
|||
Ответ: __________________________ .
5. Для 5 букв латинского алфавита заданы их двоичные коды (для некоторых букв из двух бит, для некоторых из трёх). Эти коды представлены в таблице:
|
А |
В |
С |
D |
Е |
|
110 |
100 |
011 |
010 |
01 |
Определите, какой набор букв закодирован двоичной строкой 01110010011001.
В ответе запишите последовательность букв без запятых.
Ответ: __________________________ .
6. У исполнителя Утроитель две команды, которым присвоены номера:
1. умножь на 3,
2. прибавь 2.
Первая из них утраивает число на экране, вторая — увеличивает его на 2.
Запишите порядок команд в программе преобразования числа 3 в число 65, содержащей не более 5 команд, указывая лишь номера команд. (Например, 21211 — это программа
прибавь 2
умножь на 3
прибавь 2
умножь на 3
умножь на 3, которая преобразует число 1 в 66.)
(Если таких программ более одной, то запишите любую из них.)
Ответ: __________________________ .
7. При работе с электронной таблицей в ячейку Е5 записана формула: =$С3 -В$3. Какой вид приобретет формула, после того как ячейку Е5 скопируют в ячейку D3?
Ответ: _______________________________ .
8. Определите, что будет напечатано в результате выполнения следующего фрагмента программы:
|
Бейсик |
Паскаль |
|
|
|
|
Си |
Алгоритмический язык |
|
|
|
Ответ: _______________________________ .
9. Какой максимальный объём файла (в Мбайт), который может быть передан по каналу связи с пропускной способностью 16 Мбит/с за 4 минуты. В ответе запишите только целое число, единицу измерения писать не нужно.
Ответ: _______________________________ .
10. Вася и Петя передают друг другу сообщения, используя синий и красный фонарики. Эти они делают, включая фонарики последовательно на одинаково короткое время в некоторой комбинации. Количество вспышек в одном сообщении — 6 или 7. Сколько различных сообщений могут передавать мальчики?
Ответ: _______________________________ .
11. Алгоритм вычисления значения функции F(n), где n — натуральное число, задан следующими соотношениями:
F(n) = F(n - 1) + n, при n > 1
F(1) = 1
Чему равно значение функции F(7)?
(В ответе запишите только натуральное число.)
Ответ: _______________________________ .
12. Доступ к файлу ftp.txt, находящемуся на сервере www.com, осуществляется по протоколу http. В таблице фрагменты адреса файла закодированы буквами от А до G. Запишите последовательность этих букв, кодирующую адрес указанного файла.
|
А |
В |
С |
D |
Е |
F |
G |
|
ftp |
.txt |
/ |
:// |
www |
.com |
http |
Ответ: _______________________________ .
13. Для беспристрастного оценивания контрольной работы по математике работы всех учащихся решили зашифровать. Каждому из 200 учащихся присвоили уникальный код, который в автоматизированной системе учёта сданных работ хранится как минимально возможное и одинаково целое количество бит. На контрольную работу пришли только 120 учащихся. Определите количество информации (в байтах), которое получила автоматизированная система после фиксирования последовательности сдачи всех 120 работ.
Ответ: ________________________________ .
14. Система команд исполнителя РОБОТ, “живущего” в прямоугольном лабиринте на клетчатой плоскости:
|
вверх |
вниз |
влево |
вправо |
При выполнении этих команд РОБОТ перемещается на одну клетку соответственно: вверх ↑, вниз ↓, влево ←, вправо →.
Четыре команды проверяют истинность условия отсутствия стены у той клетки, где находится РОБОТ:
|
сверху свободно |
снизу свободно |
слева свободно |
справа свободно |
Цикл
![]()
Выполняется, пока условие истинно, иначе происходит переход на следующую строку. Сколько клеток приведённого лабиринта соответствует требованию, что, выполнив предложенную ниже программу, РОБОТ остановится в той же клетке, с которой он начал движение?


Ответ: ________________________________ .
15. На рисунке — схема дорог, связывающих города А, Б, В, Г, Д, Е, Ж, И, К. По каждой дороге можно двигаться только в одном направлении, указанном стрелкой. Сколько существует различных путей из города А в город К?

Ответ: ________________________________ .
16. Укажите через запятую в порядке возрастания все основания систем счисления, в которых запись числа 29 оканчивается на 5.
Ответ: ________________________________ .
17. В языке запросов к поисковому серверу для обозначения логической операции “ИЛИ” используется символ |, а для логической операции “И” — &. В таблице приведено количество страниц, которое находит поисковая система по каждому запросу.
|
Запрос |
Количество найденных страниц |
|
Арбузы |
9400 |
|
Дыни |
4700 |
|
Арбузы | Дыни |
11900 |
Какое количество страниц будет найдено по запросу: Арбузы & Дыни?
Считается, что все запросы выполнялись практически одновременно, так что набор страниц, содержащих все искомые слова, не изменялся за время выполнения запросов.
Ответ: _______________________________ .
18. Для какого целого числа X истинно высказывание: ![]()
Ответ: ________________________________ .
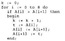
19. В программе используется целочисленный массив А с индексами от 0 до 9. Значения элементов массива равны 4; 5; 4; 7; 6; 3; 9; 11; 7; 8 соответственно, т.е. А[0] = 4; А[1] = 5 и т.д.
Определите значение переменной k после выполнения следующего фрагмента программы, записанной ниже на разных языках программирования.
|
Бейсик |
Паскаль |
|
|
|
|
Си |
Алгоритмический язык |
|
|
|
Ответ: ________________________________ .
20. Ниже на четырёх языках записан алгоритм. Получив на вход число х, этот алгоритм печатает число М. Укажите наименьшее число х, при вводе которого алгоритм печатает 255.
|
Бейсик |
Паскаль |
|
|
|
|
Си |
Алгоритмический язык |
|
|
|
Ответ: ________________________________ .
21. Ниже на четырёх языках представлен алгоритм. Напишите в ответе наименьшее значение входной переменной k, при котором программа выдает тот же ответ, что и при входном значении k= 22.
|
Бейсик |
Паскаль |
|
|
|
|
Си |
Алгоритмический язык |
|
|
|
Ответ: _______________________________ .
22. У исполнителя Кузнечик две команды:
1. прибавь 4,
2. вычти 2.
Первая из них увеличивает число на экране на 4, вторая — уменьшает его на 2 (отрицательные числа допускаются).
Программа для Кузнечика — это последовательность команд. Сколько различных чисел можно получить из числа 0 с помощью программы, которая содержит не более 8 команд?
Ответ: _______________________________ .
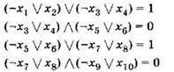
23. Сколько существует различных наборов значений логических переменных x1, х2, ... х9, x10, которые удовлетворяют всем перечисленным ниже условиям?

В ответе не нужно перечислять все различные наборы значений x1, х2, ... х9, x10, при которых выполнена данная система равенств. В качестве ответа вам нужно указать количество таких наборов.
Ответ: _______________________________ .
Не забудьте перенести все ответы в бланк ответов № 1 в соответствии с инструкцией по выполнению работы.
Часть 2
Для записи ответов на задания этой части (24—27) используйте БЛАНК ОТВЕТОВ № 2. Запишите сначала номер задания (24, 25 и т. д.), а затем полное решение. Ответы записывайте чётко и разборчиво.
24. Требовалось написать программу, при выполнении которой с клавиатуры считываются координаты точки на плоскости (x, у — действительные числа) и определяется принадлежность этой точки заданной закрашенной области (включая границы). Программист торопился и написал программу неправильно.

|
Паскаль |
Бейсик |
|
|
|
|
Си |
Алгоритмический язык |
|
|
|
Последовательно выполните следующее.
1. Перерисуйте и заполните таблицу, которая показывает, как работает программа при аргументах, принадлежащих различным областям (А, В, С, D, Е, F, G, Н и I).
Точки, лежащие на границах областей, отдельно не рассматривать.

|
Область |
Условие 1 (y>=abs(x)-1) |
Условие 2 (y<=0) |
Условие 3 (у<=-х*х) |
Программа выведет |
Область обрабатывается верно |
|
А |
|||||
|
В |
|||||
|
С |
|||||
|
D |
|||||
|
Е |
|||||
|
F |
|||||
|
G |
|||||
|
Н |
|||||
|
I |
В столбцах условий укажите “да”, если условие выполнится, “нет” если условие не выполнится, “—” (прочерк), если условие не будет проверяться, “не изв.”, если программа ведёт себя по-разному для разных значений, принадлежащих данной области. В столбце “Программа выведет” укажите, что программа выведет на экран. Если программа ничего не выводит, напишите “—” (прочерк). Если для разных значений, принадлежащих области, будут выведены разные тексты, напишите “не изв”. В последнем столбце укажите “да” или “нет”.
2. Укажите, как нужно доработать программу, чтобы не было случаев её неправильной работы. (Это можно сделать несколькими способами, достаточно указать любой способ доработки исходной программы.)
25. Дан целочисленный массив из 30 элементов. Элементы массива могут принимать произвольные значения. С клавиатуры вводится целое число X. Опишите на русском языке или на одном из языков программирования алгоритм, который находит и выводит наименьший номер элемента массива, равного X, или сообщение, что такого элемента нет.
Исходные данные объявлены так, как показано ниже. Запрещается использовать переменные, не описанные ниже, но разрешается не использовать часть из них.
|
Паскаль |
Бейсик |
|
|
|
|
СИ |
Алгоритмический язык |
|
|
|
|
Русский (естественный) язык |
|
|
Объявляем массив А из 30 элементов. Объявляем целочисленные переменные I, J. В цикле от 1 до 30 вводим элементы массива А с 1-го по 30-й. Вводит переменную X. ... |
|
В качестве ответа вам необходимо привести фрагмент программы (или описание алгоритма на естественном языке), который должен находиться на месте многоточия. Вы можете записать решение также на другом языке программирования (укажите название и используемую версию языка программирования, например, Borland Pascal 7.0) или в виде блок-схемы. В этом случае вы должны использовать те же самые исходные данные и переменные, какие были предложены в условии (например, в образце, записанном на естественном языке).
26. Два игрока, Петя и Ваня, играют в следующую игру. Перед игроками лежит куча камней. Игроки ходят по очереди, первый ход делает Петя. За один ход игрок может добавить в кучу 1 камень или удвоить количество камней в куче. Например, имея кучу из 8 камней, за один ход можно получить кучу из 9 или 16 камней. У каждого игрока, чтобы делать ходы, есть неограниченное количество камней. Игра завершается в тот момент, когда количество камней в куче становится не менее 26. Победителем считается игрок, сделавший последний ход, то есть первым получивший кучу, в которой будет 26 или больше камней.
В начальный момент в куче было S камней, 1 ≤ S ≤ 25.
Говорят, что игрок имеет выигрышную стратегию, если он может выиграть при любых ходах противника. Описать стратегию игрока — значит описать, какой ход он должен сделать в любой ситуации, которая ему может встретиться при различной игре противника.
Выполните следующие задания. Во всех случаях обосновывайте свой ответ.
1. а) При каких значениях числа S Петя может выиграть первым ходом? Укажите все такие значения.
б) Укажите такое значение S, при котором Петя не может выиграть за один ход, но при любом ходе Пети Ваня может выиграть своим первым ходом. Опишите выигрышную стратегию Вани.
2. Укажите два значения S, при которых у Пети есть выигрышная стратегия, причём Петя не может выиграть за один ход, но может выиграть своим вторым ходом независимо от того, как будет ходить Ваня. Для указанных значений S опишите выигрышную стратегию Пети.
3. Укажите такое значение S, при котором у Вани есть выигрышная стратегия, позволяющая ему выиграть первым или вторым ходом при любой игре Пети, но при этом у Вани нет стратегии, которая позволит ему гарантированно выиграть первым ходом. Для указанного значения S опишите выигрышную стратегию Вани. Постройте дерево всех партий, возможных при этой выигрышной стратегии Вани (в виде рисунка или таблицы). На рёбрах дерева указывайте, кто делает ход, в узлах — количество камней в куче.
27. После единых выпускных экзаменов по информатике в район пришла информация о том, какой ученик какой школы сколько баллов набрал.
Районный методист решила выяснить фамилии учеников, которые набрали наибольший балл, по каждой школе в отдельности, но только если из школы информатику сдавало не меньше трёх человек. Если в школе информатику сдавало меньше трёх человек, информацию по этой школе выводить не нужно.
Программа должна вывести на экран информацию в виде:
<Номер школы> <Фамилия ученика> в отдельной строке для каждой школы.
Напишите эффективную, в том числе и по используемой памяти, программу (укажите используемую версию языка программирования, например, Borland Pascal 7.0), которая должна вывести на экран требуемую информацию. Известно, что информатику сдавало больше 5-ти учеников района. Также известно, что в районе школы с некоторыми номерами не существуют.
На вход программе сначала подается число учеников, сдававших экзамен. В каждой из следующих N строк находится информация об учениках в формате:
<Фамилия> <Имя> <Номер школы> <Количество баллов>,
где <Фамилия> — строка, состоящая не более, чем из 30 символов без пробелов, <Имя> — строка, состоящая не более, чем из 20 символов без пробелов, <Номер школы> — целое число в диапазоне от 1 до 99, <Количество баллов> — целое число диапазоне от 0 до 100. Эти данные записаны через пробел, причём ровно один между каждой парой (то есть, всего по три пробела в каждой строке).
Пример входной строки:
Иванов Иван 50 87
Пример выходных данных:
5 Иванов
50 Петров
74 Сидоров























