Информатика и ИКТ - ЕГЭ Практикум и диагностика - Учебное пособие для общеобразовательных организаций
Массивы - Алгоритмы
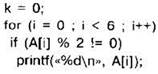
Задание 4.9.1. Ниже на 4 языках записан фрагмент программы. В программе обрабатывается массив А из 6 элементов, пронумерованных с нуля и имеющих значения: 2,4,7,5,8,6. То есть, А[0]=2, А[1]=4, и т.д. Укажите, что выведет на экран программа.
|
Бейсик |
Паскаль |
|
|
|
|
Си |
Алгоритмический язык |
|
|
|
Ответ: ________________.
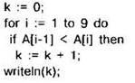
Задание 4.9.2. Ниже на 4 языках записан фрагмент программы. В программе обрабатывается массив А из 6 элементов, пронумерованных с нуля и имеющих значения: 2,4,7,5,8,6. То есть, А[0]=2, А[1]=4, и т.д. Укажите, что выведет на экран программа.
|
Бейсик |
Паскаль |
|
|
|
|
Си |
Алгоритмический язык |
|
|
|
Ответ: ________________.
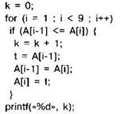
Задание 4.9.3. Ниже на 4 языках записан фрагмент программы. В программе обрабатывается массив А из 6 элементов, пронумерованных с нуля. Укажите, что выведет на экран программа.
|
Бейсик |
Паскаль |
|
|
|
|
Си |
Алгоритмический язык |
|
|
|
Ответ: ________________.
Задание 4.9.4. Ниже на 4 языках записан фрагмент программы. В программе обрабатывается массив А из 6 элементов, пронумерованных с нуля и имеющих значения: 2,4,7,5,3,-5. То есть, А[0]=2, А[1]=4, и т.д. Укажите, сколько чисел выведет на экран программа.
|
Бейсик |
Паскаль |
|
|
|
|
Си |
Алгоритмический язык |
|
|
|
Ответ: ________________.
Задание 4.9.5. Ниже на 4 языках записан фрагмент программы. В программе обрабатывается массив А из 10 элементов, пронумерованных с нуля и имеющих значения: 2,4,7,5,8,6,3,7,1,8. То есть, А[0]=2, А[1]=4, и т.д. Укажите, что выведет на экран программа.
|
Бейсик |
Паскаль |
|
|
|
|
Си |
Алгоритмический язык |
|
|
|
Ответ: ________________.
Задание 4.9.6. Ниже на 4 языках записан фрагмент программы. В программе обрабатывается массив А из 10 элементов, пронумерованных с нуля и имеющих значения: 4,4,7,5,8,6,3,7,1,8. То есть, А[0]=2, А[1]=4, и т.д. Укажите, что выведет на экран программа.
|
Бейсик |
Паскаль |
|
|
|
|
Си |
Алгоритмический язык |
|
|
|
Ответ: ________________.
Задание 4.9.7. Ниже на 4 языках записан фрагмент программы. В программе обрабатывается массив А из 10 элементов, пронумерованных с нуля и имеющих значения: 4,4,7,5,8,6,3,9,1,8. То есть, А[0]=2, А[1]=4, и т.д. Укажите, что выведет на экран программа.
|
Бейсик |
Паскаль |
|
|
|
|
Си |
Алгоритмический язык |
|
|
|
Ответ: ________________.
Задание 4.9.8. Ниже на 4 языках записан фрагмент программы. В программе обрабатывается массив А из 10 элементов, пронумерованных с нуля и имеющих значения: 4,4,7,5,8,6,3,9,1,8. То есть, А[0]=2, А[1]=4, и т.д. Укажите, что выведет на экран программа.
|
Бейсик |
Паскаль |
|
|
|
|
Си |
Алгоритмический язык |
|
|
|
Ответ: ________________.
Задание 4.9.9. Ниже на 4 языках записан фрагмент программы. В программе обрабатывается массив А из 10 элементов, пронумерованных с нуля и имеющих значения: 4,4,7,2,8,6,9,3,1,8. То есть, А[0]=2, А[1]=4, и т. д. Укажите, что выведет на экран программа.
|
Бейсик |
Паскаль |
|
|
|
|
Си |
Алгоритмический язык |
|
|
|
Ответ: ________________.
Задание 4.9.10. Ниже на 4 языках записан фрагмент программы. В программе обрабатывается массив А из 10 элементов, пронумерованных с нуля и имеющих значения: 4,5,7,6,8,6,4,7,1,8. То есть, А[0]=2, А[1]=4, и т. д. Укажите, что выведет на экран программа.
|
Бейсик |
Паскаль |
|
|
|
|
Си |
Алгоритмический язык |
|
|
|
Ответ: ________________.
Задание 4.9.11. Напишите программу, в которой:
• Описать одномерный целочисленный массив из N элементов (N — константа, например, 10);
• Заполнить элементы массива последовательностью чисел: 2, 5, 8, 11, ...
• Вывести результирующий массив на экран.
|
Пример вывода (при N = 10) |
|
2 5 8 11 14 17 20 23 26 29 |
Задание 4.9.12. Напишите программу, в которой:
• Описать одномерный целочисленный массив из N элементов (N — константа, например, 10);
• Ввести элементы массива с клавиатуры;
• Вывести на экран среднее арифметическое всех нечётных элементов целочисленного массива (с точностью 2 знака после запятой).
• Если в массиве нет нечётных элементов, вывести “NO”.
|
Пример ввода |
Пример вывода |
|
-10 3 15 11 3 -11 3 -14 3 9 |
4.50 |
|
10 2 14 10 2 -12 4 -14 2 8 |
NO |
Задание 4.9.13. Напишите программу, в которой:
• Описать одномерный целочисленный массив из N элементов (N — константа, например, 10);
• Ввести элементы массива с клавиатуры;
• Проверить, что в массиве все элементы положительны (вывести на экран “YES” или “NO”, соответственно).
|
Пример ввода |
Пример вывода |
|
1 2 3 4 5 6 7 8 9 10 |
YES |
|
7 3 7 3 4 -3 8 3 8 2 |
NO |
|
-4 -4 -2 -6 -3 -5 -3 -9 -1 -5 |
NO |
Задание 4.9.14. Напишите программу, в которой:
• Описать одномерный целочисленный массив из N элементов (N — константа, например, 10);
• Ввести элементы массива с клавиатуры;
• Проверить, что в массиве все элементы равны друг другу (вывести на экран “YES” или “NO”, соответственно).
|
Пример ввода |
Пример вывода |
|
2 2 2 2 2 2 2 2 2 2 |
YES |
|
2 2 2 2 2 13 2 2 2 2 |
NO |
|
2 2 3 2 2 2 2 16 2 2 |
NO |
Задание 4.9.15. Напишите программу, в которой:
• Описать одномерный целочисленный массив из N элементов (N — константа, например, 10);
• Ввести элементы массива с клавиатуры;
• Ввести с клавиатуры целое число X;
• Проверить, что в массиве все есть элемент, который равен X (вывести на экран “YES” или “NO” соответственно).
|
Пример ввода |
Пример вывода |
|
15 2 3 4 5 6 3 8 3 10 3 |
YES |
|
15 2 3 4 5 6 7 8 9 10 12 |
NO |







































