Информатика и ИКТ - ЕГЭ Практикум и диагностика - Учебное пособие для общеобразовательных организаций
Важные алгоритмы. Поиск максимума - Алгоритмы
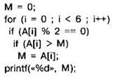
Задание 4.10.1. Ниже на 4 языках записан фрагмент программы. В программе обрабатывается массив А из 6-ти элементов, пронумерованных с нуля и имеющих значения: 2,4,7,6,8,5. То есть, А[0]=2, А[1]=4, и т.д. Укажите, что выведет на экран программа.
|
Бейсик |
Паскаль |
|
|
|
|
Си |
Алгоритмический язык |
|
|
|
Ответ: ________________.
Задание 4.10.2. Ниже на 4-х языках записана программа. На вход программе подается 6 чисел: 5 4 7 3 2 6. Укажите, что выведет на экран программа.
|
Бейсик |
Паскаль |
|
|
|
|
Си |
Алгоритмический язык |
|
|
|
Ответ: ________________.
Задание 4.10.3. Ниже на 4 языках записан фрагмент программы. В программе обрабатывается массив А из 6 натуральных чисел. Элементы массива нумеруются с нуля и имеют значения: 2,4,7,6,9,5. То есть А[0]=2, А[1]=4 и т. д. Укажите, что выведет на экран программа.
|
Бейсик |
Паскаль |
|
|
|
|
Си |
Алгоритмический язык |
|
|
|
Ответ: ________________.
Задание 4.10.4. Ниже на 4 языках записана программа, обрабатывающая последовательность натуральных чисел, каждое из которых не превышает 100. На вход программе подаётся 6 чисел: 8 4 9 3 7 5. Укажите, что выведет на экран программа.
|
Бейсик |
Паскаль |
|
|
|
|
Си |
Алгоритмический язык |
|
|
|
Ответ: ________________.
Задание 4.10.5. В программе используется целочисленный массив А с индексами от 0 до 9. Известно, что элементы массива могут принимать значения от 10 до 99.
Ниже на 4 языках записан фрагмент программы. Какое наибольшее значение может иметь переменная X, чтобы программа корректно выполнила свою работу для любых возможных значений элементов массива?
|
Бейсик |
Паскаль |
|
|
|
|
Си |
Алгоритмический язык |
|
|
|
Ответ: ________________.
Задание 4.10.6. В программе используется целочисленный массив А с индексами от 0 до 9. Известно, что элементы массива могут принимать значения от 100 до 999.
Ниже на 4 языках записан фрагмент программы. Какое наибольшее значение может иметь переменная X, чтобы программа корректно выполнила свою работу для любых возможных значений элементов массива?
|
Бейсик |
Паскаль |
|
|
|
|
Си |
Алгоритмический язык |
|
|
|
Ответ: ________________.
Задание 4.10.7. Ниже на 4 языках записана программа. На вход программе подаётся 10 целых чисел. Известно, что значения этих чисел могут быть от 100 до 500. Укажите наибольшее значение, которое может вывести на экран программа.
|
Бейсик |
Паскаль |
|
|
|
|
Си |
Алгоритмический язык |
|
|
|
Ответ: ________________.
Задание 4.10.8. Ниже на 4 языках записан фрагмент программы. В программе обрабатывается массив А из 10 натуральных чисел. Элементы массива нумеруются с нуля и могут принимать значения от 100 до 999. Укажите наибольшее значение, которое может вывести на экран программа.
|
Бейсик |
Паскаль |
|
|
|
|
Си |
Алгоритмический язык |
|
|
|
Ответ: ________________.
Задание 4.10.9. Ниже на 4 языках записана программа, обрабатывающая последовательность натуральных чисел, каждое из которых не превышает 100. На вход программе подаётся 10 чисел. Укажите, какое самое маленькое значение может вывести на экран программа.
|
Бейсик |
Паскаль |
|
|
|
|
Си |
Алгоритмический язык |
|
|
|
Ответ: ________________.
Задание 4.10.10. С клавиатуры вводится натуральное число n. После этого вводится еще n двузначных натуральных чисел. Напишите программу, которая выводит на экран число, у которого сумма цифр максимальна. Если таких чисел будет несколько, вывести первое по счёту число.
|
Пример ввода |
Пример вывода |
|
4 |
67 |
|
23 67 35 38 |
|
|
5 |
38 |
|
23 38 61 35 38 |
Задание 4.10.11. Напишите программу, которая:
• описывает одномерный целочисленный массив из N элементов (N — константа. Например, 10);
• вводит значения элементов этого массива с клавиатуры;
• выводит на экран количество максимальных элементов массива (количество элементов, имеющих такое же значение, как и наибольший элемент массива).
Программа должна осуществлять поиск за однократный проход по массиву.
|
Пример ввода |
Пример вывода |
|
2 4 2 4 2 4 2 4 3 4 |
5 |
|
5 1 5 5 1 4 5 1 5 1 |
5 |
|
9 1 2 3 4 5 1 2 3 4 |
1 |
Задание 4.10.12. Напишите программу, которая:
• описывает одномерный целочисленный массив из N элементов (N — константа. Например, 10);
• вводит значения элементов этого массива с клавиатуры;
• выводит на экран значение второго по величине элемента (самого большого значения, которое осталось бы в массиве, если бы из него были вычеркнуты все максимальные элементы);
• если такого значения нет, вывести “NO”.
Программа должна осуществлять поиск за однократный проход по массиву.
|
Пример ввода |
Пример вывода |
|
2 4 2 4 2 4 2 4 3 4 |
3 |
|
5 1 5 5 1 4 5 1 5 1 |
4 |
|
9 1 2 3 4 5 1 2 3 4 |
5 |
|
4 4 4 4 4 4 4 4 4 4 |
NO |



































