Информатика и ИКТ - ЕГЭ Практикум и диагностика - Учебное пособие для общеобразовательных организаций
Важные алгоритмы. Выделение цифр, чисел - Алгоритмы
Задание 4.11.1. Ниже на 4 языках записана программа. На вход программе подаётся число 24867. Укажите, что выведет на экран программа.
|
Бейсик |
Паскаль |
|
|
|
|
Си |
Алгоритмический язык |
|
|
|
Ответ: ________________.
Задание 4.11.2. Ниже на 4-х языках записана программа. На вход программе подаётся число 24867. Укажите, что выведет на экран программа.
|
Бейсик |
Паскаль |
|
|
|
|
Си |
Алгоритмический язык |
|
|
|
Ответ: ________________.
Задание 4.11.3. Ниже на 4 языках записана программа. На вход программе подаётся число 32587. Укажите, что выведет на экран программа.
|
Бейсик |
Паскаль |
|
|
|
|
Си |
Алгоритмический язык |
|
|
|
Ответ: ________________.
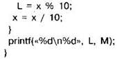
Задание 4.11.4. Ниже на 4 языках записан алгоритм. Получив на вход число х, этот алгоритм печатает два числа: L и М. Укажите наименьшее из таких чисел х, при вводе которых алгоритм печатает сначала 8, а потом 13.
|
Бейсик |
Паскаль |
|
|
|
|
Си |
Алгоритмический язык |
|
|
|
Ответ: ________________.
Задание 4.11.5. Ниже на 4 языках записан алгоритм. Получив на вход число х, этот алгоритм печатает два числа: L и М. Укажите наибольшее из таких чисел х, при вводе которых алгоритм печатает сначала 3, а потом 11.
|
Бейсик |
Паскаль |
|
|
|
|
Си |
Алгоритмический язык |
|
|
|
Ответ: ________________.
Задание 4.11.6. Ниже на 4 языках записан алгоритм. Получив на вход число х, этот алгоритм печатает два числа L и М. Укажите наименьшее из таких чисел х, при вводе которых алгоритм печатает сначала 3, а потом 6.
|
Бейсик |
Паскаль |
|
|
|
|
Си |
Алгоритмический язык |
|
|
|
Ответ: ________________.
Задание 4.11.7. Ниже на 4 языках записан алгоритм. Получив на вход число х, этот алгоритм печатает два числа L и М. Укажите наибольшее из таких чисел х, при вводе которых алгоритм печатает сначала 3, а потом 4.
|
Бейсик |
Паскаль |
|
|
|
|
Си |
Алгоритмический язык |
|
|
|
Ответ: ________________.
Задание 4.11.8. Ниже на 4 языках записан алгоритм. Получив на вход число х, этот алгоритм печатает два числа: L и М. Укажите наименьшее из таких чисел х, при вводе которых алгоритм печатает сначала 0, а потом 24.
|
Бейсик |
Паскаль |
|
|
|
|
Си |
Алгоритмический язык |
|
|
|
Ответ: ________________.
Задание 4.11.9. Ниже на 4 языках записан алгоритм. Получив на вход число х, этот алгоритм печатает число М. Укажите наибольшее число х, при вводе которого алгоритм печатает 6.
|
Бейсик |
Паскаль |
|
|
|
|
Си |
Алгоритмический язык |
|
|
|
Ответ: ________________.
Задание 4.11.10. Ниже на 4 языках записан алгоритм. Получив на вход число х, этот алгоритм печатает два числа L и М. Укажите наименьшее число х, при вводе которого алгоритм печатает сначала 2, а потом 6.
|
Бейсик |
Паскаль |
|
|
|
|
Си |
Алгоритмический язык |
|
|
|
Ответ: ________________.
Задание 4.11.11. Ниже на 4 языках записан алгоритм. Получив на вход число х, этот алгоритм печатает два числа L и М, Укажите наименьшее число х, при вводе которого алгоритм печатает сначала 5, а потом 8.
|
Бейсик |
Паскаль |
|
|
|
|
Си |
Алгоритмический язык |
|
|
|
Ответ: ________________.
Задание 4.11.12. Ниже на 4 языках записан алгоритм. Получив на вход число х, этот алгоритм печатает два числа L и М. Укажите наибольшее число х, при вводе которого алгоритм печатает сначала 4, а потом 7.
|
Бейсик |
Паскаль |
|
|
|
|
Си |
Алгоритмический язык |
|
|
|
Ответ: ________________.























































