Информатика и ИКТ - ЕГЭ Практикум и диагностика - Учебное пособие для общеобразовательных организаций
Важные алгоритмы. Алгоритм Евклида - Алгоритмы
Задание 4.12.1. Ниже на 4 языках записана программа. На вход программе подаётся два числа: 24 и 28. Укажите, что выведет на экран программа.
|
Бейсик |
Паскаль |
|
|
|
|
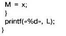
Си |
Алгоритмический язык |
|
|
|
Ответ: ________________.
Задание 4.12.2. Ниже на 4 языках записана программа. На вход программе подаётся два числа: 30 и 18. Укажите, что выведет на экран программа.
|
Бейсик |
Паскаль |
|
|
|
|
Си |
Алгоритмический язык |
|
|
|
Ответ: ________________.
Задание 4.12.3. Ниже на 4 языках записана программа. На вход программе подаётся два числа: 28 и 70. Укажите, что выведет на экран программа.
|
Бейсик |
Паскаль |
|
|
|
|
Си |
Алгоритмический язык |
|
|
|
Ответ: ________________.
Задание 4.12.4. Ниже на 4-х языках записан алгоритм. Получив на вход число х, этот алгоритм печатает число М. Известно, что х>20. Укажите наименьшее из таких чисел х (больших 20), при вводе которых алгоритм печатает 12.
|
Бейсик |
Паскаль |
|
|
|
|
Си |
Алгоритмический язык |
|
|
|
Ответ: ________________.
Задание 4.12.5. Ниже на 4 языках записан алгоритм. Получив на вход число х, этот алгоритм печатает число М. Известно, что х>30. Укажите наименьшее из таких чисел х (больших 30), при вводе которых алгоритм печатает 6.
|
Бейсик |
Паскаль |
|
|
|
|
Си |
Алгоритмический язык |
|
|
|
Ответ: ________________.
Задание 4.12.6. Ниже на 4 языках записан алгоритм. Получив на вход число х, этот алгоритм печатает число М. Известно, что х>50. Укажите наименьшее из таких чисел х (больших 50), при вводе которых алгоритм печатает 7.
|
Бейсик |
Паскаль |
|
|
|
|
Си |
Алгоритмический язык |
|
|
|
Ответ: ________________.
Задание 4.12.7. Ниже на 4 языках записан алгоритм. Получив на вход число х, этот алгоритм печатает число М. Известно, что х>40. Укажите наименьшее из таких чисел х (больших 40), при вводе которых алгоритм печатает 7.
|
Бейсик |
Паскаль |
|
|
|
|
Си |
Алгоритмический язык |
|
|
|
Ответ: ________________.
Задание 4.12.8. Ниже на 4 языках записан алгоритм. Получив на вход число х, этот алгоритм печатает число М. Известно, что х>30. Укажите наименьшее из таких чисел х (больших 30), при вводе которых алгоритм печатает 9.
|
Бейсик |
Паскаль |
|
|
|
|
Си |
Алгоритмический язык |
|
|
|
Ответ: ________________.
Задание 4.12.9. Ниже на 4 языках записан алгоритм. Получив на вход число х, этот алгоритм печатает число М. Известно, что х>40. Укажите наименьшее из таких чисел х (больших 40), при вводе которых алгоритм печатает 10.
|
Бейсик |
Паскаль |
|
|
|
|
Си |
Алгоритмический язык |
|
|
|
Ответ: ________________.
Задание 4.12.10. Ниже на 4 языках записан алгоритм. Получив на вход число х, этот алгоритм печатает число М. Известно, что х>60. Укажите наименьшее из таких чисел х (больших 60), при вводе которых алгоритм печатает 15.
|
Бейсик |
Паскаль |
|
|
|
|
Си |
Алгоритмический язык |
|
|
|
Ответ: ________________.
Задание 4.12.11. Ниже на 4 языках записан алгоритм. Получив на вход число х, этот алгоритм печатает число М. Известно, что х>1. Укажите наименьшее из таких чисел х (больших 1), при вводе которых алгоритм печатает 1.
|
Бейсик |
Паскаль |
|
|
|
|
Си |
Алгоритмический язык |
|
|
|
Ответ: ________________.























































