Информатика ОГЭ - Комплекс материалов для подготовки учащихся
Вариант 5 - ПРИМЕРНЫЕ ВАРИАНТЫ ОГЭ
Часть 1
При выполнении заданий 1-6 в поле ответа запишите одну цифру, которая соответствует номеру правильного ответа.
1. В одном из вариантов кодировки Unicode каждый символ кодируется двумя байтами. Определите количество символов в сообщении, если информационный объём сообщения в этой кодировке равен 480 бит.
1) 60
2) 40
3) 30
4) 240
Ответ: ![]()
2. Для какого из приведённых чисел истинно высказывание:
НЕ(Первая цифра чётная) И НЕ(Сумма цифр чётная)?
1) 638
2) 442
3) 357
4) 123
Ответ: ![]()
3. Между населёнными пунктами А, В, С, D, Е построены дороги, протяжённость которых приведена в таблице.

Определите длину кратчайшего пути между пунктами А и D (при условии, что передвигаться можно только по построенным дорогам).
1) 6
2) 7
3) 8
4) 9
Ответ: ![]()
4. В некотором каталоге хранился файл ypoк1.doc. После того, как в этом каталоге создали новый подкаталог и переместили файл ypoк1.doc в созданный подкаталог, полное имя файла стало С:\информатика\графика\рисунки\урок1.dос. Каким было полное имя данного файла до перемещения?
1) С:\информатика\рисунки\урок1.doc
2) С:\информатика\урок1.doc
3) С:\информатика\графика\рисунки\часть1\урок1.doc
4) С:\информатика\графика\урок1.doc
Ответ: ![]()
5. Дан фрагмент электронной таблицы.
|
А |
В |
с |
D |
Е |
F |
G |
|
|
1 |
12 |
4 |
3 |
||||
|
2 |
=А1+С1 |
=А1-С1 |
=C1*2 |
=А1/Е1 |
=С1 |
=C1/2 |
=С1-Е1 |
После выполнения вычислений по некоторым ячейкам диапазона A2:G2 была построена диаграмма. Укажите адреса этих ячеек.

1) А2; В2; С2; D2
2) А2; D2; Е2; F2
3) А2; D2; Е2; G2
4) В2; Е2; F2; G2
Ответ: ![]()
6. Исполнитель Черепашка перемещается на экране компьютера, оставляя след в виде линии. В каждый конкретный момент известно положение исполнителя и направление его движения. У исполнителя существует две команды:
Вперёд n (где n - целое число), вызывающая передвижение Черепашки на n шагов в направлении движения;
Направо m (где m - целое число), вызывающая изменение направления движения на m градусов по часовой стрелке.
Запись Повтори k [Команда1 Команда2 Команда3] означает, что последовательность команд в скобках повторится k раз.
Черепашке был дан для исполнения следующий алгоритм:
Повтори 7 [Вперёд 70 Направо 120]
Какая фигура появится на экране?
1) правильный семиугольник
2) правильный шестиугольник
3) правильный треугольник
4) незамкнутая ломаная линия
Ответ: ![]()
Ответом к заданиям 7-18 является число или последовательность символов (букв или цифр), которые следует записать в поле ответа в тексте работы,
7. Валя шифрует русские слова (последовательности букв), записывая вместо каждой буквы её код.
|
А |
Д |
K |
H |
О |
С |
|
01 |
100 |
101 |
10 |
111 |
000 |
Некоторые цепочки можно расшифровать не одним способом. Например, 00010101 может означать не только СКА, но и СНК.
Даны три кодовые цепочки:
10111101
1010110
10111000
Найдите среди них ту, которая имеет только одну расшифровку, и запишите в ответе расшифрованное слово.
Ответ: ________________________.
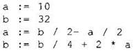
8. В программе “:=” обозначает оператор присваивания, знаки “+”, “-”, “*” и “/” - операции сложения, вычитания, умножения и деления. Правила выполнения операций и порядок действий соответствует правилам арифметики.
Определите значение переменной b после выполнения данного алгоритма:

В ответе укажите одно целое число - значение переменной b.
Ответ: ________________________.
9. Определите, что будет напечатано в результате работы следующей программы. Текст программы приведён на трёх языках программирования.
|
Алгоритмический язык |
Бейсик |
Паскаль |
|
|
|
|
Ответ: ________________________.
10. В таблице Dat хранятся данные о количестве сделанных учениками заданий (Dat[1] заданий сделал первый ученик, Dat[2] - второй и т. д.). Определите, какое число будет напечатано в результате работы следующей программы. Текст программы приведён на трёх языках программирования.
|
Алгоритмический язык |
|
|
|
|
|
Бейсик |
Паскаль |
|
|
|
Ответ: ________________________.
11. На рисунке - схема дорог, связывающих города А, Б, В, Г, Д, Е, К. По каждой дороге можно двигаться только в одном направлении, указанном стрелкой. Сколько существует различных путей из города А в город К?

Ответ: ________________________.
12. Ниже в табличной форме представлен фрагмент базы данных о реках мира.
|
Название реки |
Часть света |
Протяжённость (км) |
Площадь бассейна (тыс. км2) |
|
Лена |
Азия |
4320 |
2418 |
|
Волга |
Европа |
3690 |
1380 |
|
Индигирка |
Азия |
1790 |
360 |
|
Терек |
Европа |
626 |
44 |
|
Нева |
Европа |
74 |
282 |
|
Нигер |
Африка |
4160 |
2092 |
|
Инд |
Азия |
3180 |
980 |
|
Луара |
Европа |
1020 |
115 |
Сколько записей в данном фрагменте удовлетворяют условию
(Часть света = “Азия”) ИЛИ (Протяжённость(км) > 4000)?
В ответе укажите одно число - искомое количество записей.
Ответ: ________________________.
13. Переведите число 199 из десятичной системы счисления в двоичную систему счисления. В ответе укажите двоичное число. Основание системы счисления указывать не нужно.
Ответ: ________________________.
14. У исполнителя Квадратор две команды, которым присвоены номера:
1. возведи в квадрат
2. прибавь 2
Первая из них возводит число на экране во вторую степень, вторая увеличивает его на 2. Составьте алгоритм получения из числа 4 числа 68, содержащий не более 5 команд. В ответе запишите только номера команд.
(Например, 12221 - это алгоритм:
возведи в квадрат
прибавь 2
прибавь 2
прибавь 2
возведи в квадрат,
который преобразует число 3 в 225)
Если таких алгоритмов более одного, то запишите любой из них.
Ответ: ________________________.
15. Файл размером 9 Кбайт передаётся через некоторое соединение со скоростью 1536 бит в секунду. Определите размер файла (в байтах), который можно передать за то же время через другое соединение со скоростью 512 бит в секунду.
В ответе укажите одно число - размер файла в байтах. Единицы измерения писать не нужно.
Ответ: ________________________.
16. Автомат получает на вход пятизначное десятичное число. По полученному числу строится новое десятичное число по следующим правилам.
1. Вычисляются два числа - сумма первой, третьей и пятой цифр и сумма второй и четвертой цифр заданного числа.
2. Полученные два числа записываются друг за другом в порядке невозрастания (без разделителей).
Пример. Исходное число: 15177. Поразрядные суммы: 9, 12. Результат: 129.
Определите, сколько из приведённых ниже чисел могут получиться в результате работы автомата.
10 1528 116 1519 2019 1920 1915 316 2815
В ответе запишите только количество чисел.
Ответ: ________________________.
17. Доступ к файлу game.doc, находящемуся на сервере doc.ru, осуществляется по протоколу http. Фрагменты адреса файла закодированы буквами от А до Ж. Запишите последовательность этих букв, кодирующую адрес указанного файла в сети Интернет.
A) //
Б) /
B) http:
Г) m
Д) doc.
Е) game
Ж) .doc
Ответ:
18. В таблице приведены запросы к поисковому серверу. Расположите обозначения запросов в порядке возрастания количества страниц, которые найдёт поисковый сервер по каждому запросу. По всем запросам было найдено разное количество страниц.
Для обозначения логической операции “ИЛИ” в запросе используется символ “|”, а для логической операции “И” - “&”.
A) Хоккей & Волейбол
Б) Футбол & Хоккей & Волейбол
B) Футбол | Хоккей | Волейбол
Г) Футбол | (Хоккей & Волейбол)
Ответ:
Часть 2
Задания этой части (19-20) выполняются на компьютере. Результатом исполнения задания является отдельный файл (для одного задания - один файл). Формат файла, его имя и каталог для сохранения Вам сообщат организаторы экзамена.
19. В электронную таблицу занесли данные о сдаче выпускных экзаменов учащимися одного из городов:
|
A |
B |
C |
D |
E |
|
|
1 |
Фамилия |
Имя |
Дата экзамена |
Предмет |
Оценка |
|
2 |
Смирнова |
Екатерина |
10 июня |
География |
5 |
|
3 |
Громова |
Светлана |
10 июня |
История |
4 |
|
4 |
Кустарев |
Алексей |
10 июня |
Информатика |
5 |
|
5 |
Аршинник |
Дмитрий |
10 июня |
Геометрия |
4 |
В столбце А записана фамилия учащегося, в столбце В - имя учащегося, в столбце С записана дата сдачи экзамена (от “10 июня” до “15 июня”), в столбце D записано название предмета, по которому сдавался экзамен, в столбце Е записана оценка по пятибалльной шкале. Всего в электронную таблицу были занесены результаты сдачи 370 экзаменов в хронологическом порядке.
Выполните задание.
Откройте на диске файл task19_5.xlsx с данной электронной таблицей (на экзамене расположение файла Вам сообщат организаторы экзамена). На основании данных, содержащихся в этой таблице, ответьте на два вопроса.
1. Какой средний балл у учащихся, сдававших экзамен 15 июня? Ответ на этот вопрос запишите в ячейку Н2 таблицы.
2. Какой средний балл у учащихся, сдававших экзамен по истории (в любой день)? Ответ на этот вопрос запишите в ячейку Н3 таблицы.
Ответы должны быть вычислены с точностью не менее двух знаков после запятой. Полученную таблицу необходимо сохранить под именей, указанным организаторами экзамена.
20.1. Исполнитель Робот умеет перемещаться по лабиринту, начерченному на плоскости, разбитой на клетки. Между соседними (по сторонам) клетками может стоять стена, через которую Робот пройти не может.
У Робота есть девять команд. Четыре команды - это команды-приказы:
вверх вниз влево вправо
При выполнении любой из этих команд Робот перемещается на одну клетку соответственно вверх ↑, вниз ↓, влево ←, вправо →. Если Робот получит команду передвижения сквозь стену, то он разрушится.
Также у Робота есть команда закрасить, при которой закрашивается клетка, в которой Робот находится в настоящий момент.
Ещё четыре команды - это команды проверки условий. Эти команды проверяют, свободен ли путь для Робота в каждом из четырёх возможных направлений:
сверху свободно снизу свободно слева свободно справа свободно
Эти команды можно использовать вместе с условием “если”, имеющим следующий вид:
если условие то
последовательность команд
все
Здесь условие - одна из команд проверки условия.
Последовательность команд - это одна или несколько любых команд-приказов.
Например, для передвижения на одну клетку вправо, если справа нет стенки и закрашивания
клетки, можно использовать такой алгоритм:
если справа свободно то
вправо
закрасить
все
В одном условии можно использовать несколько команд проверки условий, применяя логические связки и, или, не, например:
если (справа свободно) и (не снизу свободно) то
вправо
все
Для повторения последовательности команд можно использовать цикл “пока”, имеющий
следующий вид:
нц пока условие
последовательность команд
кц
Например, для движения вправо, пока это возможно, можно использовать следующий алгоритм:
нц пока справа свободно
вправо
кц
Выполните задание.
На бесконечном поле имеется лестница. Сначала лестница спускается вниз справа налево, затем спускается вниз слева направо. Высота каждой ступени - одна клетка, ширина - две клетки. Робот находится справа от верхней ступени лестницы.
Количество ступенек, ведущих влево, и количество ступенек, ведущих вправо, неизвестно.
На рисунке указан один из возможных способов расположения лестницы и Робота (Робот обозначен буквой “Р”).

Напишите для Робота алгоритм, закрашивающий все клетки, расположенные непосредственно над ступенями лестницы, спускающейся слева направо. Требуется закрасить только клетки, удовлетворяющие данному условию. Например, для приведённого выше рисунка Робот должен закрасить следующие клетки (см. рисунок):

Конечное расположение Робота может быть произвольным. Алгоритм должен решать задачу для произвольного размера поля и любого допустимого расположения стен внутри прямоугольного поля. При исполнении алгоритма Робот не должен разрушиться, выполнение алгоритма должно завершиться.
Алгоритм может быть выполнен в среде формального исполнителя или записан в текстовом редакторе.
Сохраните алгоритм в текстовом файле. Название файла и каталог для сохранения Вам сообщат организаторы экзамена.
20.2. Напишите программу, которая в последовательности натуральных чисел находит среднее арифметическое двузначных чисел или сообщает, что таких чисел нет (выводит “N0”). Программа получает на вход натуральные числа, количество введённых чисел неизвестно, последовательность чисел заканчивается числом 0 (0 - признак окончания ввода, не входит в последовательность).
Количество чисел не превышает 100. Введенные числа не превышают 300.
Программа должна вывести среднее арифметическое двузначных чисел или вывести “NO”, если таких чисел нет. Значение выводить с точностью до десятых.
Пример работы программы:
|
Входные данные |
Выходные данные |
|
10 |
29.5 |
|
120 |
|
|
49 |
|
|
0 |
|
|
111 |
NO |
|
1 |
|
|
0 |





