Информатика ОГЭ - Комплекс материалов для подготовки учащихся
Вариант 6 - ПРИМЕРНЫЕ ВАРИАНТЫ ОГЭ
Часть 1
При выполнении заданий 1-6 в поле ответа запишите одну цифру, которая соответствует номеру правильного ответа.
1. Информационное сообщение объёмом 0,5 Кбайта содержит 256 символов. Каким количеством бит кодируется каждый символ этого сообщения?
1) 32
2) 16
3) 8
4) 4
Ответ: ![]()
2. Для какого из указанных значений числа X истинно выражение:
(X > 4) И (X < 7) И (X < 6)?
1) 5
2) 6
3) 3
4) 4
Ответ: ![]()
3. В таблице приведена стоимость перевозок между пятью железнодорожными станциями, обозначенными буквами А, В, С, D и Е. Укажите схему, соответствующую таблице.

Ответ: ![]()
4. Пользователь работал с файлом C:\www\img\weather\sun.bmp.
Сначала он поднялся на один уровень вверх, затем поднялся ещё на один уровень вверх, создал каталог docs и переместил туда файл sun.bmp.
Каким стало полное имя файла после перемещения.
1) C:\www\img\docs\sun.bmp
2) C:\docs\sun.bmp
3) C:\www\img\weather\docs\sim.bmp
4) C:\www\docs\sun.bmp
Ответ: ![]()
5. Дан фрагмент электронной таблицы, в первой строке которой записаны числа, а во второй - формулы:
|
А |
В |
С |
D |
|
|
1 |
4 |
2 |
3 |
1 |
|
2 |
=А1-В1 |
=C1-D1 |
=В1-1 |
Какая из перечисленных ниже формул должна быть записана в ячейке D2, чтобы построенная после выполнения вычислений круговая диаграмма по значениям диапазона ячеек A2:D2 соответствовала рисунку:

1) =А1-2
2) =А1-1
3) =C1+D1
4) =B1-D1
Ответ: ![]()
6. Исполнитель Чертёжник перемещается на координатной плоскости, оставляя след в виде линии. Чертёжник может выполнять команду
Сместиться на (a, b) (где а, b - целые числа), перемещающую Чертёжника из точки с координатами (х, у) в точку с координатами (х + а, у + b). Если числа a, b положительные, значение соответствующей координаты увеличивается, если отрицательные - уменьшается. Например, если Чертёжник находится в точке с координатами (1, 1), то команда Сместиться на (-2, 4) переместит Чертёжника в точку (-1, 5).
Запись Повтори k раз
Команда1 Команда2 Команда3
конец
означает, что последовательность команд Команда1 Команда2 Команда3 повторится k раз.
Чертёжнику был дан для исполнения следующий алгоритм:
Повтори 3 раз
Сместиться на (-2, -3) Сместиться на (3, 4) конец
Сместиться на (-4, -2)
Какую команду надо выполнить Чертёжнику, чтобы вернуться в исходную точку, из которой он начал движение?
1) Сместиться на (1, -1)
2) Сместиться на (-3,-1)
3) Сместиться на (-3, -3)
4) Сместиться на (-1, 1)
Ответ: ![]()
Ответом к заданиям 7—18 является число или последовательность символов (букв или цифр), которые следует записать в поле ответа в тексте работы.
7. От разведчика была получена следующая шифрованная радиограмма, переданная с использованием азбуки Морзе:
![]()
При передаче радиограммы было потеряно разбиение на буквы, но известно, что в радиограмме использовались только следующие буквы:
![]()
Расшифруйте радиограмму.
Запишите в ответе расшифрованную радиограмму.
Ответ: ______________________.
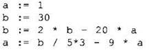
8. В программе “:=” обозначает оператор присваивания, знаки “+”, “-”, “*” и “/” - операции сложения, вычитания, умножения и деления. Правила выполнения операций и порядок действий соответствует правилам арифметики.
Определите значение переменной а после выполнения данного алгоритма:

В ответе укажите одно целое число - значение переменной а.
Ответ: ______________________.
9. Определите, что будет напечатано в результате работы следующей программы. Текст программы приведён на трёх языках программирования.
|
Алгоритмический язык |
Бейсик |
Паскаль |
|
|
|
|
Ответ: ______________________.
10. В таблице Dat хранятся данные о количестве учеников в классах (Dat[1] - количество учеников в первом классе, Dat[2] - во втором и т. д.). Определите, какое число будет напечатано в результате работы следующей программы. Текст программы приведён на трёх языках программирования.
|
Алгоритмический язык |
|
|
|
|
|
Бейсик |
Паскаль |
|
|
|
Ответ: ______________________.
11. На рисунке - схема дорог, связывающих города А, Б, В, Г, Д, Е, Ж 3, И, К и Л. По каждой дороге можно двигаться только в одном направлении, указанном стрелкой. Сколько существует различных путей из города А в город Л?

Ответ: ______________________.
12. Ниже в табличной форме представлен фрагмент базы данных.
|
Питательные вещества |
Белки |
Жиры |
Углеводы |
Минеральные соли |
|
Продукты |
||||
|
Мясо |
180 |
20 |
0 |
9 |
|
Рыба |
190 |
3 |
0 |
10 |
|
Молоко |
30 |
40 |
50 |
7 |
|
Масло |
10 |
865 |
6 |
12 |
|
Сыр |
260 |
310 |
20 |
60 |
|
Крупа |
130 |
30 |
650 |
20 |
|
Картофель |
4 |
2 |
200 |
10 |
Сколько записей в данном фрагменте таблицы удовлетворяют условию
((Белки < 100) ИЛИ (Углеводы < 100)) И (Минеральные соли > 10)?
В ответе укажите одно число - искомое количество записей.
Ответ: ______________________.
13. Переведите число 201 из десятичной системы счисления в двоичную систему счисления.
В ответе укажите двоичное число. Основание системы счисления указывать не нужно.
Ответ: ______________________.
14. У исполнителя Вычислитель две команды, которым присвоены номера:
1. умножь на 3
2. прибавь 1
Первая из них увеличивает число на экране в 3 раза, вторая увеличивает его на 1.
Составьте алгоритм получения из числа 2 числа 25, содержащий не более 5 команд. В ответе запишите только номера команд.
(Например, 11221 - это алгоритм:
умножь на 3
умножь на 3
прибавь 1
прибавь 1
умножь на 3,
который преобразует число 1 в 33)
Если таких алгоритмов более одного, то запишите любой из них.
Ответ: ______________________.
15. Файл размером 9 Кбайт передаётся через некоторое соединение со скоростью 1024 бит в секунду. Определите на сколько секунд быстрее можно передать этот же файл через другое соединение со скоростью 1536 бит в секунду.
В ответе укажите одно число - количество секунд.
Ответ: ______________________.
16. Автомат получает на вход пятизначное десятичное число. По полученному числу строится новое десятичное число по следующим правилам.
1. Вычисляются два числа - сумма первых трёх цифр и сумма последних трёх цифр.
2. Полученные два числа записываются друг за другом в порядке невозрастания (без разделителей).
Пример. Исходное число: 15177. Поразрядные суммы: 7 ,15. Результат: 157.
Определите, сколько из приведённых ниже чисел могут получиться в результате работы автомата.
2020 267 2618 2630 3026 1826 726 115
В ответе запишите только количество чисел.
Ответ: ______________________.
17. Доступ к файлу matem.html, находящемуся на сервере exam.ru, осуществляется по протоколу http. В таблице фрагменты адреса файла закодированы буквами от А до Ж. Запишите последовательность этих букв, кодирующую адрес указанного файла в сети Интернет.
A) .ru
Б) .html
B) ://
Г) exam
Д) matem
Е) http
Ж) /
Ответ:
18. В таблице приведены запросы к поисковому серверу. Расположите обозначения запросов в порядке возрастания количества страниц, которые найдёт поисковый сервер по каждому запросу. По всем запросам было найдено разное количество страниц.
Для обозначения логической операции “ИЛИ” в запросе используется символ “|”, а для логической операции “И” - “&”.
A) Сокольники | (Царицыно & Кусково)
Б) Сокольники | Царицыно | Кусково
B) Царицыно & Кусково
Г) Сокольники & Царицыно & Кусково
Ответ:
Часть 2
Задания этой части (19-20) выполняются на компьютере. Результатом исполнения задания является отдельный файл (для одного задания — один файл). Формат файла, его имя и каталог для сохранения Вам сообщат организаторы экзамена.
19. В электронную таблицу занесли данные о калорийности продуктов. Ниже приведены первые пять строк таблицы.
|
A |
B |
C |
D |
E |
|
|
1 |
Продукт |
Жиры, г |
Белки, г |
Углеводы, г |
Калорийность, Ккал |
|
2 |
Арахис |
45,2 |
26,3 |
9,9 |
552 |
|
3 |
Арахис жареный |
52 |
26 |
13,4 |
626 |
|
4 |
Горох отварной |
0,8 |
10,5 |
20,4 |
130 |
|
5 |
Горошек зелёный |
0,2 |
5 |
8,3 |
55 |
В столбце А записан продукт; в столбце В - содержание в нём жиров; в столбце С - содержание белков; в столбце D - содержание углеводов и в столбце Е - калорийность этого продукта.
Всего в электронную таблицу были занесены данные по 1000 продуктам.
Выполните задание
Откройте на диске файл task19_6.xlsx с данной электронной таблицей (на экзамене расположение файла Вам сообщат организаторы экзамена). На основании данных, содержащихся в этой таблице, ответьте на два вопроса.
1. Сколько продуктов в таблице содержат меньше 50 г углеводов и меньше 50 г белков? Запишите число этих продуктов в ячейку Н2 таблицы.
2. Какова средняя калорийность продуктов с содержанием жиров менее 1 г? Ответ на этот вопрос запишите в ячейку Н3 таблицы с точностью не менее двух знаков после запятой.
Полученную таблицу необходимо сохранить под именем, указанным организаторами экзамена.
20.1. Исполнитель Робот умеет перемещаться по лабиринту, начерченному на плоскости, разбитой на клетки. Между соседними (по сторонам) клетками может стоять стена, через которую Робот пройти не может.
У Робота есть девять команд. Четыре команды - это команды-приказы:
вверх вниз влево вправо
При выполнении любой из этих команд Робот перемещается на одну клетку соответственно вверх ↑, вниз ↓, влево ←, вправо →. Если Робот получит команду передвижения сквозь стену, то он разрушится.
Также у Робота есть команда закрасить, при которой закрашивается клетка, в которой Робот находится в настоящий момент.
Ещё четыре команды - это команды проверки условий. Эти команды проверяют, свободен ли путь для Робота в каждом из четырёх возможных направлений:
сверху свободно снизу свободно слева свободно справа свободно
Эти команды можно использовать вместе с условием “если”, имеющим следующий вид:
если условие то
последовательность команд
все
Здесь условие - одна из команд проверки условия.
Последовательность команд - это одна или несколько любых команд-приказов.
Например, для передвижения на одну клетку вправо, если справа нет стенки и закрашивания
клетки, можно использовать такой алгоритм:
если справа свободно то
вправо
закрасить
все
В одном условии можно использовать несколько команд проверки условий, применяя логические связки и, или, не, например:
если (справа свободно) и (не снизу свободно) то
вправо
все
Для повторения последовательности команд можно использовать цикл “пока”, имеющий
следующий вид:
нц пока условие
последовательность команд
кц
Например, для движения вправо, пока это возможно, можно использовать следующий алгоритм:
нц пока справа свободно
вправо
кц
Выполните задание.
На бесконечном поле имеются две вертикальные стены и одна горизонтальная, соединяющая нижний конец левой и верхний конец правой вертикальных стен. Длины стен неизвестны. Робот находится в клетке, расположенной справа от верхнего края левой вертикальной стены, рядом со стеной.
На рисунке указан один из возможных способов расположения стен и Робота (Робот обозначен буквой “Р”).

Напишите для Робота алгоритм, закрашивающий все клетки, примыкающие к вертикальным стенам слева. Робот должен закрасить только клетки, удовлетворяющие данному условию. Например, для приведённого выше рисунка Робот должен закрасить следующие клетки (см. рисунок).

Конечное расположение Робота может быть произвольным. Алгоритм должен решать задачу для произвольного размера поля и любого допустимого расположения стен внутри прямоугольного поля. При исполнении алгоритма Робот не должен разрушиться, выполнение алгоритма должно завершиться.
Алгоритм может быть выполнен в среде формального исполнителя или записан в текстовом редакторе.
Сохраните алгоритм в текстовом файле. Название файла и каталог для сохранения Вам сообщат организаторы экзамена.
20.2. Напишите программу, которая в последовательности натуральных чисел определяет минимальное число, кратное 3. Программа получает на вход количество чисел в последовательности, а затем сами числа. В последовательности всегда имеется число, кратное 3. Количество чисел не превышает 1000. Введённые числа не превышают 30 000.
Программа должна вывести одно число - минимальное число, кратное 3.
Пример работы программы:
|
Входные данные |
Выходные данные |
|
3 |
12 |
|
21 |
|
|
12 |
|
|
31 |





